
新生命的降临总是令人充满期待与一丝忐忑,而宝宝的性别,往往是这份期待中最引人遐想的“终极盲盒”。你或许看到过这样的场景:产房外,准爸爸们坐立难安,心中默念“女儿,一定要是女儿!”;或是家人看着准妈妈“尖尖的肚子”和“嗜辣的口味”,笃定地预测“这胎准是个小子!”......当护士抱着新生儿宣告性别的瞬间,有人欢呼雀跃,也有人略显失落。
长久以来,生物学教科书告诉我们:生男生女,主要取决于父亲精子携带的性染色体——携带X染色体生女孩,携带Y染色体生男孩。并且,这个过程被视为一场纯粹的“抛硬币”:每一次受孕,生男孩或女孩的概率理论上都是50%,独立且随机。
然而,现实生活却常常抛出“难题”: 为什么有些家庭仿佛被施了“魔法”,清一色都是“建设银行”(男孩)或“姐妹联盟”(女孩)?而另一些家庭却能轻松“儿女双全”?你是否也认为,这种家族内部的“性别扎堆”现象,主要是孩子爸爸的原因?
一、真相果真如此吗?
最新发表在顶级期刊《Science Advances》上的一项重磅研究颠覆了我们的认知!研究人员分析了58,007名美国女性跨越近60年(1956-2015)的庞大生育数据(涵盖146,064次单胎活产),得出一个震撼结论:婴儿出生时的性别在家庭内部的分布,远非一场简单的“抛硬币”游戏所能解释!其模式更符合复杂的“β-二项分布”——这意味着,每个家庭(或每对夫妇)可能天生就带着一枚“特制硬币”,拥有自己独特的生男生女概率!更关键的是,研究首次锁定了影响这枚“硬币重量”的关键因素:母亲首次生育的年龄以及她体内特定的基因密码。
这项研究彻底改变了“生男生女只看爸爸”的传统认知,揭示了母亲在性别决定中扮演的关键角色。

二、宝宝的性别并非完全随机
本研究共纳入58007名女性,其中95.4%为白人。首次生育平均年龄25.5岁,人均生育2.5个孩子。家庭规模2-12个孩子不等,但仅0.5%的女性生育超过5个孩子,0.02%达10个孩子以上。各家庭规模的男女比稳定在1.05-1.09,总比例为1.08。
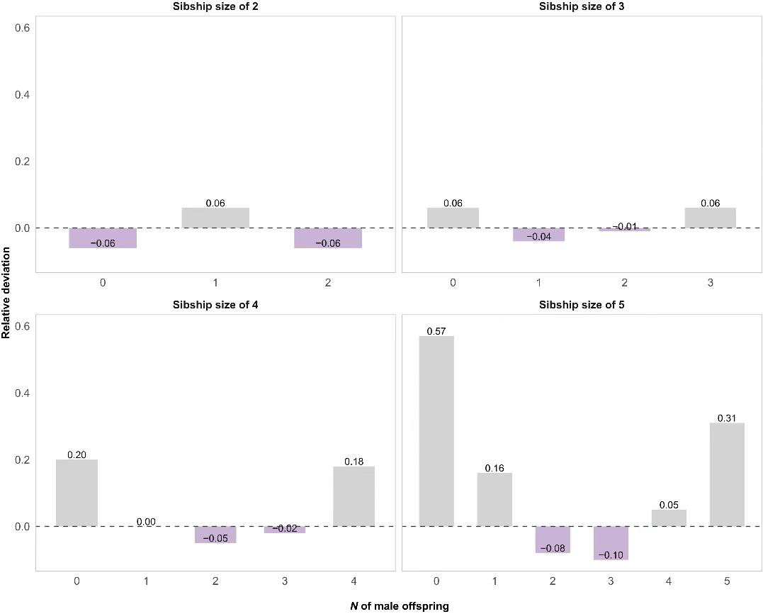
传统观念认为,每次生育都是独立事件,之前孩子的性别不影响下一次(概率恒定约50%)。但数据分析却揭示了一个不同寻常的模式:在2孩家庭中,男女均衡(如“男女”或“女男”)的组合最为常见;但当家庭规模扩大到3孩及以上时,全是男孩或全是女孩的情况比“男女双全”更常见。与基于出生性别比(男婴概率51.9%)的二项分布预期相比,2孩家庭的单性别组合低于预期,而3-5孩家庭则明显高于预期,且偏差程度随家庭规模扩大而增强。
对此,研究人员发现相较于传统二项分布,β-二项分布能更好地拟合实际数据,这意味着每个家庭可能存在独特的性别决定概率。简单来说:生育男孩/女孩的概率在整个人群中并非恒定,也并不是由父亲决定的,而是因母亲(或夫妇)而异。

图1:后代性别分布与兄弟姐妹规模二项式期望的相对偏差
为排除父母“凑齐男女”的生育偏好对结果的影响(即因偏好特定性别或追求儿女双全而决定是否继续生育),研究人员进行了多重敏感性分析:首先剔除明确存在“凑性别”行为的家庭(仅在获得男女双全后停止生育者),并统一剔除所有家庭的末次生育数据。此外还通过以下方式验证结果稳健性:1)排除有离婚或流产史的女性;2)采用美国总体出生性别比(男婴51.2%)替代研究样本比例(51.9%);3)仅分析已完成生育的绝经女性。
所有敏感性分析均重复出与主分析一致的结论——单性别聚集现象显著偏离二项分布预期,证实每个家庭可能存在独特的性别决定概率。
三、妈妈初产年龄和基因才是关键
对此,研究人员分析了生育性别可能存在的影响因素,他们发现,当统一按2孩家庭分析时,子女性别分布完全符合二项分布预期。但深入分析显示,母亲首次生育年龄是影响单性别生育的关键因素,数据显示,28岁以后首次生育的妈妈,生育单一性别后代的概率比23岁前生育的妈妈高出13%,而种族、发色、血型身高和18岁时的BMI与此均无显著关联。
令人惊讶的是,研究人员通过全基因组分析锁定了两个关键基因位点:NSUN6基因的rs58090855位点与“全女家庭”显著相关,而TSHZ1基因附近的rs1506275位点则与“全男家庭”相关。
看来生男生女这事儿,不仅与妈妈的年龄相关,还与父母的“性别倾向基因开关”有关。不过各位准爸妈们别太较真,毕竟娃的性别就像盲盒,健康可爱才是关键~。

图2:全基因组分析结果
既然都提到生育性别的影响因素了,那么,如何知道下一胎是男是女呢?
研究给出了有趣的数据:基于β-二项分布模型预测,下一胎性别与前几胎性别相同的条件概率随子女数量的增加而增加。
简单来说就是:在已有3个同性别孩子的家庭中,再生同性别孩子的概率会显著升高——已有3个男孩的家庭再生男孩的概率达61%,3个女孩的家庭再生女孩的概率为58%。这一趋势随家庭规模扩大而增强。实际观测数据也呈现相似规律。

图3:在只有一种性别后代的家庭中,下一次出生的性别的条件概率
没想到吧,娃儿的性别可与抛硬币(每次概率约为50%)大相径庭!
小结
所以,下次再听到有人说“生男生女全看爸爸,你可以笑着告诉他:妈妈在这一过程中也扮演着重要角色!这项研究不仅颠覆了传统认知,也提醒我们——生命的奥秘远比想象中复杂。
这枚性别硬币的重量,原来一直掌握在基因与时间的无形之手中~
参考文献:
Wang S, Rosner BA, Huang H, et al. Is sex at birth a biological coin toss? Insights from a longitudinal and GWAS analysis. Sci Adv. 2025;11(29):eadu7402. doi:10.1126/sciadv.adu7402
文章来源:生物谷
原文链接: https://mp.weixin.qq.com/s/d-rcyBedLNw_My8o4iY0WQ
想要解锁更多疾病领域信息吗?查询摩熵医药(原药融云)数据库(vip.pharnexcloud.com/?zmt-mhwz)掌握药物基本信息、市场竞争格局、销售情况与各维度分析、药企研发进展、临床试验情况、申报审批情况、各国上市情况、最新市场动态、市场规模与前景等,以及帮助企业抉择可否投入时提供数据参考!注册立享15天免费试用!








川公网安备51019002008863号
本网站未发布麻醉药品、精神药品、医疗用毒性药品、放射性药品、戒毒药品和医疗机构制剂的产品信息
收藏
登录后参与评论
暂无评论