
如今,当我们走过超市的冰柜或是饮料区时,目光扫过货架,总会被上面各式各样的饮料包装吸引,从塑料瓶、易拉罐,到纸盒、金属瓶、玻璃瓶,可以说是五花八门、应有尽有。在挑选时,相信很多人和小编一样会下意识觉得,玻璃瓶装饮料更加安全、干净,毕竟玻璃材质稳定、不易渗出化学物质,并且,价格也往往更高。
然而,法国国家食品安全局(ANSES)刚刚在《食品成分与分析杂志》发表的一项研究,却把玻璃这层“高级感”滤镜摔得稀碎:这篇文献首次系统评估了市售水、可乐、茶饮料、柠檬水、啤酒和葡萄酒中的微塑料含量,数据显示,玻璃瓶装饮料的微塑料(MPs)污染居然远高于塑料瓶,平均每升饮料含有的微塑料颗粒比塑料瓶或金属罐包装的饮料高出了5至50倍!这究竟是怎么回事儿?让我们一起接着看下去!

一、研究背景与目的
众所周知,微塑料可谓是无处不在,从我们呼吸的空气,到食用的食物,甚至在人体内部,都能发现它们的踪迹。目前,已有多项研究表明,人体摄入微塑料会引发一系列健康隐患,包括肝功能损伤、葡萄糖代谢紊乱、男性精子质量下降等等。因此,法国食品安全局的研究团队此次就想要深入研究微塑料的传播途径和潜在影响,他们将目光投向了市场上销售的各类饮料,试图调查不同类型饮料中的微塑料含量,并探究不同包装容器对其产生的影响。
二、实验对象以及流程
研究团队于2023年6月从当地零售商处采购了样本,覆盖六大类常见饮品,包括:
● 瓶装水:7个品牌(5种矿泉水,2种泉水),涵盖静水、气泡水,包装包括塑料瓶、玻璃瓶和利乐砖(纸盒),容量0.5-1.5升。
● 柠檬风味水:2个品牌(1款矿泉气泡水/玻璃瓶,1款泉水静水/塑料瓶)。
● 可乐:3个品牌,涵盖含甜味剂和不含甜味剂版本,包装为塑料瓶、玻璃瓶、金属罐,容量0.33-1.75升。
● 冰茶:3个品牌,包装为塑料瓶、玻璃瓶、金属罐。
● 柠檬汽水:3个品牌,包装为塑料瓶、玻璃瓶、金属罐。
● 啤酒:2个品牌,涵盖金啤、琥珀啤、果味啤酒、无醇啤酒、无醇果味啤酒,包装为小玻璃瓶(0.25L)、大玻璃瓶(0.75L)、金属罐。
● 葡萄酒:红、白、桃红、起泡白葡萄酒,包装为塑料瓶(小/大)、玻璃瓶、利乐砖(0.25L)、盒中袋(3L)。
对于每个选定的品牌和包装组合,研究人员都分析了同一生产批次的6个样本,以提高结果的可靠性和批次代表性。接着,为了精准捕获微塑料,避免实验过程引入污染,团队采取了近乎苛刻的质控措施,包含超净环境(所有操作在ISO 5级超净工作台内进行)、器材“焚身”去除有机物(玻璃器皿和滤膜使用前在450°C马弗炉中煅烧6小时)、溶液“洗澡”(反复过滤至少8次,直至无颗粒检出)、设置多重对照——空气对照监测环境本底,阴性对照(仅含过滤水)评估容器和操作污染,阳性对照则用于计算微塑料的回收率(平均约85.5%),确保方法的可靠性。
对于饮料中微塑料的识别步骤则分为关键的两部分:1. 利用高倍体视显微镜对滤膜上的颗粒进行计数、测量尺寸(30-500微米)和初步分类(碎片/纤维)。2. 对丰度高且特征一致的颗粒,使用显微红外光谱(μFT-IR)进行“验明正身”,确认其是否为塑料以及具体的聚合物类型(如聚酯、聚乙烯等)。
此外,针对玻璃瓶污染严重的现象,研究还设计了专项实验:使用清洁的玻璃瓶装入过滤水,分别用未处理、仅吹扫、以及吹扫+清洗(水/乙醇/水)后的新瓶盖进行封装,随后分析瓶内水中与瓶盖漆同色的微塑料数量,验证瓶盖涂层剥落作为污染源的假说。
三、玻璃瓶意外“翻车”!
经过上述严谨的实验分析,研究得出了第一轮结果——所有被检测的饮料类别均检出了微塑料,但平均污染水平差异巨大!具体而言:瓶装水为2.9±0.7 MPs/L(均值±标准误);可乐为31.4±16.0 MPs/L;冰茶为28.5±13.1 MPs/L;柠檬汽水为45.2±21.4 MPs/L;啤酒为82.9±13.9 MPs/L(最高);葡萄酒为8.2±3.3 MPs/L。由此看来,啤酒是个“重灾区”,微塑料平均含量远超其他饮料。

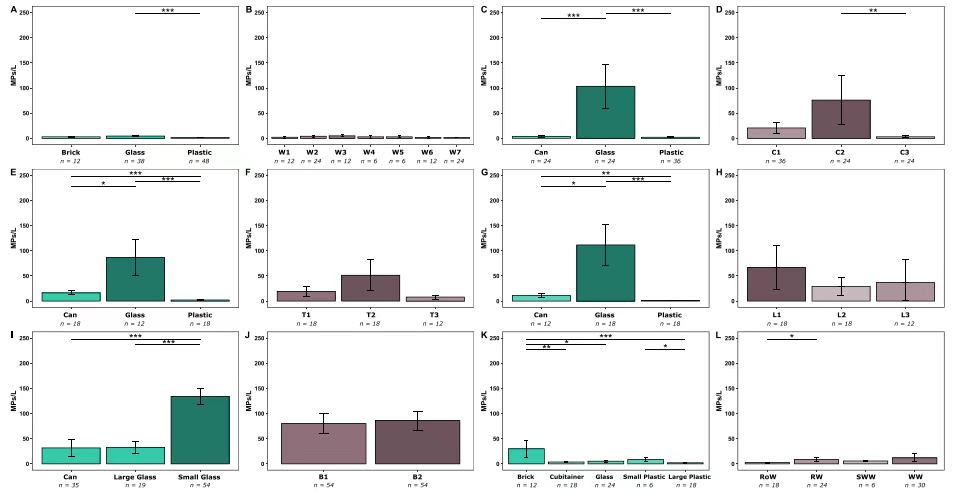
图:不同饮料中聚合物团聚体引起的平均污染水平(MPs/L)的差异。n 表示分析的样本数量。NI 表示未检测到,Cubi 表示 Cubitainer。
接着,研究团队聚焦于各类饮料的包装材质,他们发现:包装材质才是污染关键因素,无论是水、可乐、冰茶、柠檬汽水还是啤酒,玻璃瓶装的微塑料含量都显著高于塑料瓶和金属罐(p值 < 0.001)!
例如,可乐的微塑料含量:玻璃瓶 (103.4±44.1 MPs/L) vs.塑料瓶 (2.1±0.7 MPs/L) vs.易拉罐 (3.4±2.1 MPs/L)。冰茶的微塑料含量:玻璃瓶 (86.3±35.3 MPs/L) vs.塑料瓶 (2.2±1.0 MPs/L) vs.易拉罐 (16.3±3.9 MPs/L)。柠檬汽水的微塑料含量:玻璃瓶 (111.6±41.1 MPs/L) vs.塑料瓶 (1.5±0.7 MPs/L) vs.易拉罐 (10.9±4.6 MPs/L)。瓶装水的微塑料含量:玻璃瓶 (4.5±1.2 MPs/L) >塑料瓶 (1.6±1.7 MPs/L),利乐砖水 (~3.0 MPs/L) 介于两者之间但无显著差异。

图:水(A和B)、可乐(C和D)、茶(E和F)、柠檬水(G和H)、啤酒(I和J)和葡萄酒(K和L)的微塑料污染水平(MPs/L)
不过,这也一个例外,那就是葡萄酒——玻璃瓶装葡萄酒污染 (5.3±2.0 MPs/L) 低于利乐砖包装 (30.0±16.9 MPs/L),且显著低于小塑料瓶 (8.7±3.8 MPs/L)。
四、玻璃瓶的瓶盖涂层是元凶?!
这让研究人员有些困惑:若说玻璃葡萄酒瓶与其他饮料玻璃瓶有何不同,最大的差异莫过于葡萄酒瓶使用的是软木塞而非金属瓶盖。
那么,玻璃瓶中反常的微塑料含量,会不会是小小的瓶盖在作祟呢?
带着这一疑问,研究者紧接着检测了微塑料的聚合物组成。结果发现,在玻璃瓶装饮料(特别是茶、柠檬汽水、可乐、啤酒)中,聚酯类(包含 PET 和醇酸树脂漆)聚合物占比极高 —— 例如茶为 26.3 MPs/L,柠檬汽水为 28.5 MPs/L,可乐为 33.2 MPs/L,啤酒更是高达 95.9 MPs/L。此外,聚烯烃类(如 PE、PP)在所有包装中均有存在,且在玻璃瓶中含量同样较高。更关键的是,红外光谱分析确认,从玻璃瓶饮料中分离出的微塑料颗粒,其颜色和聚合物组成与金属瓶盖外层的油漆涂层完全一致(主要成分为聚酯类或醇酸树脂)。这一发现直指:瓶盖涂层极可能就是污染源!
为进一步验证,研究人员对玻璃瓶的瓶盖展开了详细观察。他们发现,即便全新的瓶盖,其外表面仍存在划痕,内表面则吸附着与瓶盖漆同色的碎片(如下图所示)。随后的模拟封装实验结果进一步证实:瓶盖外层的聚酯类油漆涂层在生产、运输、储存过程中发生的磨损和剥落,正是玻璃瓶装饮料微塑料污染的主要来源!

图:新瓶盖外表面裂纹的观察(A)及新瓶盖内表面黄色颗粒的观察(B&C)
小结
综上,这项研究颠覆了我们的传统认知——原来玻璃瓶装饮料的微塑料污染水平显著高于塑料瓶和易拉罐,成为了“重灾区”,而造成这一原因的罪魁祸首就是玻璃瓶盖(金属旋盖)外层的聚酯类油漆涂层,其会在生产、储运过程中磨损和剥落,成为玻璃瓶饮料中微塑料的主要来源。
由此看来,更有质感的玻璃瓶≠更安全,咱们对配有金属旋盖的玻璃瓶还是得防上一手,例如拧开瓶盖后,用干净纸巾擦拭瓶口螺纹和瓶盖内侧、避免对着瓶口直接饮用等等,减少病从口入的风险!
参考文献:
Microplastic contaminations in a set of beverages sold in France
https://doi.org/10.1016/j.jfca.2025.107719
文章来源:生物谷
原文链接: https://mp.weixin.qq.com/s/TGrSA1xPzRMP5xoqXN7tjQ
想要解锁更多疾病领域信息吗?查询摩熵医药(原药融云)数据库(vip.pharnexcloud.com/?zmt-mhwz)掌握药物基本信息、市场竞争格局、销售情况与各维度分析、药企研发进展、临床试验情况、申报审批情况、各国上市情况、最新市场动态、市场规模与前景等,以及帮助企业抉择可否投入时提供数据参考!注册立享15天免费试用!








川公网安备51019002008863号
本网站未发布麻醉药品、精神药品、医疗用毒性药品、放射性药品、戒毒药品和医疗机构制剂的产品信息
收藏
登录后参与评论
暂无评论