
如今,随着大众越来越追求健康,“控糖”已成为生活中的热点词汇,它不光是糖尿病人的关注重点,也成了普通人挂在嘴边的健康日常。
不过,大部分人似乎更容易戒断的是诸如糖果、巧克力、蛋糕、饼干等“显而易见”的糖,毕竟有些甜食确实过了年纪就不爱吃了。但我们真正的“糖敌人”,其实是那些潜伏在日常饮食中的 “隐形糖”——它们不动声色,却悄悄影响着我们的健康。
那么,糖真的是统一的“健康反派”吗?科学告诉我们,事情没那么简单——糖与健康的关系,远不是非黑即白,关键不在于“吃不吃糖”,而在于它“从哪来、怎么吃”!
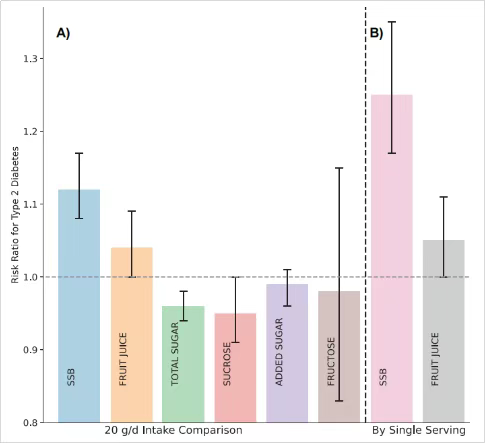
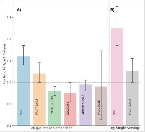
这一观点,在近期发表于营养学期刊《Advances in Nutrition》上的一项研究中得到了有力支持。该论文系统评估了不同糖类与2型糖尿病(T2D)之间的关系,其研究结果挑战了“所有膳食糖都会增加糖尿病风险”的普遍认知。数据显示:每多喝一份含糖饮料(SSBs),T2D风险上升25%;每多一份果汁,风险上升5%。 然而,在同等摄入量下,总糖和蔗糖(如来自水果、谷物等天然食物)反而与T2D风险呈负相关!

一、一些背景知识
目前,2型糖尿病(T2D)公共健康负担已成为全球卫生的关键议题,如何通过饮食干预降低发病风险,早已成为各国公共卫生领域的必答题。而在所有饮食因素中,“膳食糖”始终是争议的焦点:有人说“所有糖都该戒”,有人觉得“天然糖更安全”,更有人纠结“果汁和含糖饮料到底哪个更伤血糖”,这些模糊的认知,让不少人在控糖路上走了弯路。
此前的研究大多将目光锁定在含糖饮料(SSBs)上,但对于日常饮食中更常见的总糖、蔗糖、果糖,却很少有人深入探究“吃多少会有风险”、“多吃一点会怎样”的剂量反应关系;就连大家常当作健康选择的果汁,也从未与 SSBs 进行过系统的风险对比,而本研究就旨在填补这些空白。
二、实验设计
于是,研究人员系统检索了MEDLINE、Embase、CINAHL、Web of Science、Cochrane五大数据库,初始检索到10,384篇研究,纳入标准为:①是前瞻性队列研究,随访时间≥2年;②研究对象为18岁以上健康成人(无基础糖尿病);③评估膳食糖(总糖、添加糖、蔗糖、果糖)或糖来源(SSBs、果汁)的摄入量;④报告了T2D发病风险的相对指标。接着,通过筛选和应用纳入标准,最终纳入29个队列研究,涉及欧洲(13个)、美国(11个)、亚洲(6个)、澳大利亚(4个)、拉丁美洲(3个),总样本量超80万。
糖摄入量标准方面,含糖饮料(SSBs)以可口可乐为标准,每12盎司(含39g糖)为1份;果汁以一杯为标准,每8盎司(含23.3g糖)为1份;统一以“每日20g”为总糖、蔗糖、添加糖、果糖的剂量参考点。
三、对人体最有害的糖竟然是它们
首先,要在所有膳食糖中找出对T2D风险影响最“凶猛”的类型,含糖饮料(SSB)一定是“头号选手”。研究人员纳入17项研究,分析含糖饮料与2型糖尿病发病风险之间的剂量反应关系,结果令人警惕——每天每增加一份含糖饮料,患上2型糖尿病的风险就会显著增加25%!且值得注意的是,与其他膳食糖类别相比,每天摄入20克来自含糖饮料的糖与2型糖尿病风险的最大增幅相关!这为“控糖先控饮”提供了强有力的科学依据。
提到 “健康饮品”,很多人会第一时间想到果汁,毕竟它源自水果,还能补充维生素,似乎比含糖饮料(SSB)更值得信赖。但当研究人员汇总分析了 14 项针对性研究后,他们发现:每天每多喝 1 份果汁,患上 2 型糖尿病的风险就会显著升高 5% !

图:每日20克糖摄入对2型糖尿病风险的不同效应
相比之下,蔗糖和总糖的摄入与2型糖尿病呈负相关,表明存在保护性关系。具体来说,针对总糖的分析纳入 4 个研究队列,结果显示每日摄入增加 20g 总糖,2 型糖尿病风险降低 4%(低质量证据);针对蔗糖的分析纳入 7 个队列,每日摄入增加 20g 蔗糖,2 型糖尿病风险降低 5%(中等质量证据)。然而,添加糖和果糖未显示与2型糖尿病风险有明确关联。
那么,其可能的内在机制是什么呢?
研究人员指出,液体糖(如含糖饮料、果汁)之所以会增加2型糖尿病(T2D)风险,核心机制在于其会刺激肝脏启动从头脂肪生成(DNL),同时削弱身体对胰岛素的敏感性。
而看似天然的果汁,为何会推高糖尿病风险?
究其原因,果汁尽管保留了水果中的部分营养素,但榨汁过程中损失了至关重要的膳食纤维,失去了延缓糖分吸收、平稳血糖的 “缓冲力”。这一发现也再次印证:液体形式的膳食糖,无论来自含糖饮料还是果汁,都与 2 型糖尿病风险呈显著正相关,控糖路上,“喝进去的糖” 从来都不能掉以轻心!

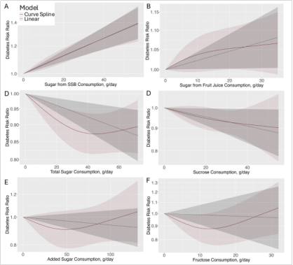
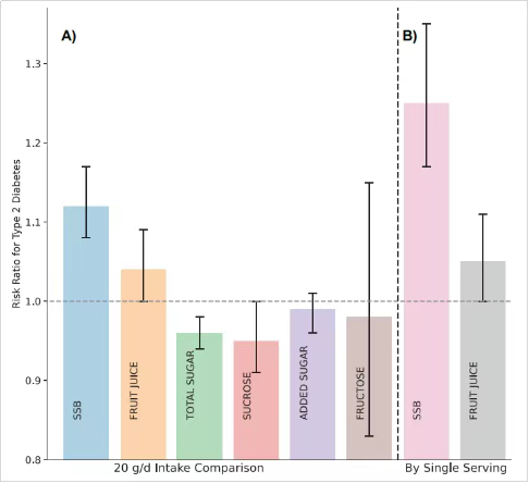
图:2型糖尿病发病风险与各类糖摄入的剂量反应关系
研究人员进一步阐释,总糖对葡萄糖代谢的积极作用,实则源于天然糖来源中两类关键物质的协同效应:一是微量营养素与具有生物活性的多酚,二是这类天然食物普遍具备的低升糖指数特性。值得注意的是,常存在于全谷物麦片、酸奶等营养密集型食物中的蔗糖,还可能通过提升这类健康食物的摄入量,间接为降低疾病风险提供助力。
小结
这项研究告诉我们:糖不是非黑即白的健康恶人。它的“身份”和“出场方式”决定了它对身体的影响。液态糖(如饮料、果汁)由于吸收快、缺乏膳食纤维,更容易导致代谢紊乱;而固态食物中的糖(如水果、酸奶、全麦食品)因伴随纤维、蛋白质、脂肪等,对血糖的影响更温和,甚至可能因整体饮食结构更健康而表现出“保护效应”。
如此看来,这吃糖的智慧还是不少的,你学会了吗~
参考文献:Della Corte KA, Bosler T, McClure C, et al. Dietary Sugar Intake and Incident Type 2 Diabetes Risk: A Systematic Review and Dose-Response Meta-Analysis of Prospective Cohort Studies. Adv Nutr. 2025 May;16(5):100413.
文章来源:生物谷
原文链接: https://mp.weixin.qq.com/s/ykB-d2T7GJotuM2Kpa1kVw








川公网安备51019002008863号
本网站未发布麻醉药品、精神药品、医疗用毒性药品、放射性药品、戒毒药品和医疗机构制剂的产品信息
收藏
登录后参与评论
暂无评论