对于溶出曲线法规的要求相信大家都很熟悉,工作中也经常计算相似因子。在实际工作中我观察到虽然大家很熟悉法规,但因为对法规理解的不同,在实操过程中还是有一些不同的处理方式,表现在计算结果上就会得到不同的数值,甚至是完全相反的结论。
溶出曲线相似性的比较,多采用非模型依赖法中的相似因子(f2)法。该法溶出曲线相似性的比较是将受试样品的平均溶出量与参比样品的平均溶出量进行比较。具体的要求,各ICH成员国的规定基本是相同的。具体如下:
平均溶出量应为12片(粒)的均值。
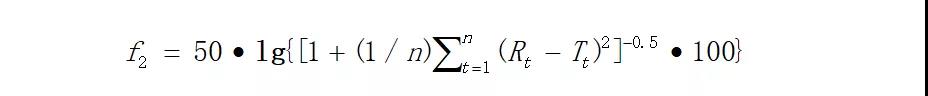
计算公式:

Rt为t时间参比样品平均溶出量;
Tt为t时间受试样品平均溶出量;
n为取样时间点的个数。
相似因子(f2)法最适合采用3-4个或更多取样点且应满足下列条件:
1.应在完全相同的条件下对受试样品和参比样品的溶出曲线进行测定。
2.两条溶出曲线的取样点应相同。时间点的选取应尽可能以溶出量等分为原则,并兼顾整数时间点,且溶出量超过85%的时间点不超过1个。
3.第1个时间点溶出结果的相对标准偏差不得过20%,自第2个时间点至最后时间点溶出结果的相对标准偏差不得过10%。
实际计算过程如何选点对结果影响很大,具体表现如下:
溶出量超过85%的时间点的选择
法规规定“两条溶出曲线的取样点应相同。时间点的选取应尽可能以溶出量等分为原则,并兼顾整数时间点,且溶出量超过85%的时间点不超过1个。”
案例1

从案例1可以看出时间点选择的不同,得到完全相反的结果。究竟如何理解这个“溶出量超过85%的时间点不超过1个”呢?是参比和自研都要达到85%以上,还是其中一条达到85%以上就截止呢?
结合对法规的理解和实际申报的情况,个人倾向于选择其中一条溶出曲线溶出达到85%选点即截止。选择理由:1.法规中“溶出量超过85%的时间点不超过1个”,如果两条曲线都要达
到85%以上,即案例1中选择四个时间点,则参比溶出超过85%的时间点有两个,违背了法规的规定;2.选择更多的时间点往往将参比和自研溶出的差异给拉小了,即f2增大了,如案例1本来不匹配的也变大匹配了。
以溶出量等分原则选点
法规规定“两条溶出曲线的取样点应相同。时间点的选取应尽可能以溶出量等分为原则,并兼顾整数时间点,且溶出量超过85%的时间点不超过1个。”
案例2

从案例2来看,两种不同的选点方式得出的结论也是完全不同的。究竟哪种正确呢?
实际计算时习惯上很少刻意去挑选时间点,通常都会直接选择5/10/15/20四个时间点。这样做一般也很少被挑毛病,这种计算方式简单直接,不需要再进行溶出量等分等进一步的处理。通常情况下我觉得这样选点问题也不大,毕竟溶出曲线相似性是一方面,后面还要做BE,BE才是关键。但对于一些重要的溶出曲线比较就很关键了,比如对于上市后处方变更的比较、多规格产品小规格采用豁免BE申请时,这时候我们就需要认真研究如何选点了。最好是做到不管哪种选点方式,相似因子都能匹配。个人觉得按照法规的正确理解应该要采用溶出量等分原则选点。
小结:在进行仿制药口服固体研发时,溶出曲线相似性比较是我们时刻要关注的。但在计算相似性的过程中因为对法规理解的不同,往往得到不同结果。至今尚未看到因为相似因子计算方式的问题而被发补过,但这不代表我们的计算方式没有问题。以上是对于相似因子计算的几点个人理解,供同行参考、交流。







川公网安备51019002008863号
本网站未发布麻醉药品、精神药品、医疗用毒性药品、放射性药品、戒毒药品和医疗机构制剂的产品信息
收藏
登录后参与评论
暂无评论