
如化合物存在酮式烯醇式互变现象,在进行HPLC方法开发时则很可能出现同一化合物有两个响应接近的峰,或者是一个主峰伴随一个较大的未知峰,特别是后一种情况,如果把酮式烯醇式互变产生的未知峰当成杂质峰,却无论如何也精制不掉,造成错误的判断,甚至严重影响研究进度。由于酮式烯醇式互变现象在药物合成及其他研究环节属于较为常见的情况,故有必要对此进行说明和探讨。
一、概念解析
醛、酮分子中由于羰基的影响,α-H变得活泼,具有酸性,所以带有α-H的醛、酮具有互变异构的性质。在溶液中有α-H的醛、酮是以酮式和烯醇式互变平衡而存在的。如下图所示:

有两类结构式在药物领域非常常见:
1)β-二羰基化合物,如乙酰丙酮及其衍生物,由于其具有活泼的α-H,经常出现在药物合成的起始物料和中间体中。
2)苯酚衍生物或类似结构,如头孢羟氨苄,也属于极为常见的情况。
二、互变异构体的差异
以乙酰丙酮为例,酮式状态为独立的两个碳氧双键,而烯醇式状态则形成共轭双键。烯醇式的最大吸收波长相对酮式向长波长移动,且吸光度增加。酮式状态没有亲水基团,极性非常小,而烯醇式状态有羟基,极性较大。
上述内容说明酮式与烯醇式在物理性质和化学性质都可能存在差异,在HPLC上的表现就是烯醇式在反相色谱中保留较弱,出峰较早,且光谱图、响应值均有可能不同于酮式。
三、影响因素
1.溶剂极性
以乙酰乙酸乙酯为例,实验测得,在不同极性溶剂中乙酰乙酸乙酯的烯醇式含量有所差异[1]。表1 中列出18 ℃时,在不同极性溶剂的稀溶液中乙酰乙酸乙酯的烯醇式异构体的含量。

数据表明,溶剂介质的极性越强,其烯醇式含量越少。为什么有如此现象呢?乙酰乙酸乙酯分子重排后,形成的烯醇式结构存在分子内氢键,构成环状结构,稳定性增加,因此在非极性溶剂中烯醇式结构的含量较大;而在极性介质中特别是含活泼氢的极性介质中,其活泼氢与酮式结构的羰基氧易于形成分子间氢键 ,比亚甲基上的氢竞争羰基氧形成氢键的能力强, 导致分子内氢键形成能力较小,从而使亚甲基上的氢重排能力 减弱,因而,互变平衡有利于向酮式方向移动,使其烯醇式结构明显减少。
2.pH
由于烯醇式羟基上氢具有酸性,在高pH值下互变平衡向烯醇式偏移,因此酮式烯醇式互变异构随着pH的升高,烯醇式比例增加。
3.时间
以对羟基苯丙酮酸为例,其水溶液在室温(约20℃)放置9小时以上,其互变异构逐渐趋于平衡,此时水溶液中烯醇式的比例为17% [2]。
4.温度
随着温度的升高, 烯醇含量降低。这是因为温度的升高, 分子的振动加剧, 烯醇形成分子内氢键的能力减弱[3]。
5.取代基
因α-H具有酸性,故醛、酮具有互变异构的性质,由此可推导出以下结论:1)一般情况下,如α-H附近有吸电子基团,α-H酸性增强,则互变平衡状态烯醇式比例增加;2)一般情况下,如α-H附近有给电子基团,α-H酸性减弱,则互变平衡状态烯醇式比例减少。下图中数据可以看出丙酮中烯醇式/酮式的比值为2.5ppm,乙酰丙酮该值为3.6,苯酚则绝大部分为烯醇式结构。

如α位附近取代基体积较大,具有立体障碍则不利于形成六元环的烯醇式结构。
四、HPLC方法开发
1.初步评估
根据以上信息,在进行酮式烯醇式互变异构化合物的HPLC方法开发时,首先应根据化合物结构式初步评估在预定色谱条件下的酮式烯醇式互变的趋势。例如某个中间体为三氟乙酰丙酮衍生物,根据上文论述的规律,应能初步判断在反相色谱条件下,互变异构主要以烯醇式为主。为了获得单一的烯醇式峰,可以尝试加大流动性缓冲液pH,促进烯醇式的羟基电离,使互变向烯醇式移动,如选择pH7.0磷酸盐缓冲液。
如评估认为是酮式为主,可以尝试增大流动性极性,即减少有机相初始比例,使互变向酮式方向移动。也可以升高柱温,以获得单一色谱峰。
2.注意事项
由于互变异构可能需要时间,某些情况下可能需要研究供试品处理方法,如稀释剂与供试品溶液的放置时间。
如果供试品在稀释剂和流动性中的酮式与烯醇式比例相差太大,可能会造成溶剂效应,表现出色谱行为异常。
如果供试品固体状态和溶液状态酮式与烯醇式比例相差较大,且互变平衡较慢,可能供试品溶液需要研究互变平衡的时间。
五、案例分析
1. β-二羰基化合物
β-二羰基化合物由于常见于起始物料和中间体中,出于保密的需要,不便用具体的实例说明,请读者谅解。可以透露的是,一般该类化合物都具有极其活泼的α-H,互变平衡中主要以烯醇式为主……
2.苯酚衍生物
以头孢羟氨苄为例,2015年版中国药典中收载的头孢羟氨苄原料药有关物质检测方法流动相A为:流动相A 为0. 02mol/L磷酸二氢钾溶液(取磷酸二氢钾2. 72g,加水8 0 0m l使溶解,用lm o l / L 氢氧化钾溶液调节pH值至5. 0,用水稀释至1000ml,混匀)。
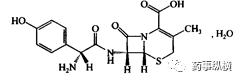
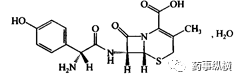
流动相A用磷酸盐缓冲液,pH值为5. 0,而不是常见的3.0(题外话:磷酸盐在pH5.0没有缓冲能力,满满的槽点)。本人虽然没有经历过头孢羟氨苄的研究工作,但也能推测,如果流动相A是pH3.0就会存在酮式异构体,在主峰后面出峰,所以需要提高流动相pH,使互变异构向烯醇式移动。头孢羟氨苄结构式见下图,酮式烯醇式互变异构发生在左边酚羟基上:

参考文献
乙酰乙酸乙酯酮式与烯醇式互变平衡体系中烯醇式结构含量的差异分析
二苯甲酰甲烷酮式-烯醇式互变异构的研究
α-羰基环十二酮的酮-烯醇互变异构中的构象效应
相关阅读:
《HPLC:“三板斧”在低限度杂质方法开发中的应用》
<END>







川公网安备51019002008863号
本网站未发布麻醉药品、精神药品、医疗用毒性药品、放射性药品、戒毒药品和医疗机构制剂的产品信息
收藏
登录后参与评论
暂无评论