表面活性剂即指由非极性的憎水基与极性的亲水基两部分所组成的可以以极低的浓度即可显著性的降低溶剂表面张力的物质。随着化工产业的发展,具有各种性能的表面活性剂相继问世,使其在制药工业中也逐渐广泛应用,例如在药物合成中可以作为相转移催化剂,在药物制剂中可以作为药剂辅料等,充分发挥其润湿、乳化、增溶等作用。其中,表面活性剂的增溶作用也常被用于BCSⅡ或Ⅳ类难溶性药物的体外溶出方法开发中,允许使用较低浓度的表面活性剂可以提高难溶性药物的溶解度以实现漏槽条件。
1.表面活性剂的增溶作用机理
当表面活性剂溶解在水溶液中达到一定浓度后,其非极性部分会相互吸引,从而使得分子可以自发形成有序的聚集体,使得憎水基团向内,亲水基团朝外,减少了憎水基团与水分子的接触,这种多分子聚集体称之为胶束(将形成胶束时的浓度称之为临界胶束浓度,缩写简称CMC)。浓度达到CMC值后,微溶性或者水不溶性物质会在胶束溶液中的溶解度显著性增加,形成透明胶体溶液,这种作用就称之为增溶作用。

2.表面活性剂的分类
表面活性剂按照分子结构中的亲水基团的带电性可以分为阳离子、阴离子、两性离子和非离子表面活性剂。
(1)阴离子表面活性剂:即溶于水后生成的亲水基团带负电。它是发展最早、品质最多、工业化最成熟的一类表面活性剂。它可以细化分为羧酸盐型/硫酸酯型/磺酸盐型/磷酸酯型阴离子表面活性剂。例如USP表中所列举的阴离子表面活性剂包括:十二烷基硫酸钠(CMC:0.18~0.23)、牛黄胆酸钠(CMC:0.2)、胆酸钠盐(CMC:0.16)、脱氧胆酸钠盐(CMC:0.12)等。
(2)阳离子表面活性剂:它与阴离子表面活性剂结构正好相反,其溶于水后亲水基一端是阳离子,疏水基与阴离子类似主要为不同碳原子的碳氢链。它的亲水基团离子中含有氮原子,根据氮原子在分子中的不同位置可以分类为胺盐、季铵盐和杂环型三类。USP中列举的阳离子表面活性剂种类包括有:十六烷基三甲基溴化铵(CMC:0.033~0.036)、苄索氯铵(CMC:0.18)等。
(3)两性离子表面活性剂:即分子结构中同时具有阴离子和阳离子的亲水基团,当呈正电性时,具有阳离子表面活性剂的作用,如具有很强的杀菌能力;当呈负电性的时候,具有阴离子表面活性剂的作用,例如具有良好的气泡、去污作用;在等电点附近则具有非离子表面活性剂的性质。两性离子表面活性剂包括有:卵磷脂、氨基酸型和甜菜碱型。USP中列举的两性离子表面活性剂包括:十二烷基二甲基氧化胺(CMC:0.023)。
(4)非离子表面活性剂:顾名思义之在水溶液中不是解离状态。其亲水亲油平衡值小,亲脂性强。稳定性好,化学上不解离,不易受电解质和pH值等影响,毒性低。它按照亲水基团的不同可以详细划分为:聚氧乙烯型、多元醇型等,USP中列举的非离子型表面活性剂有:吐温20(CMC:0.07-0.09)、吐温80(CMC:0.02-0.08)、辛酸癸酸聚乙二醇甘油酯(CMC:0.01)、聚氧乙烯蓖麻油EL(CMC:0.02)、Brij35聚氧乙烯月桂醇醚(CMC:0.013)、Triton X-100(聚乙二醇辛基苯基醚,CMC:0.023)。
3. 表面活性剂在溶出介质中的种类及浓度筛选思路
一般来讲,表面活性剂的种类和浓度选择原则是:在溶出介质中加入尽可能少的表面活性剂,以满足所需的漏槽条件和溶出方法的稳健性,同时,还要满足该溶出方法对产品关键质量属性的区分性。具体试验研究思路一般是:
1)首先要对API本身的属性进行充分了解,比如API的Pka值、不同pH条件下的溶解度差异,是否为pH依赖性、在不同pH条件下的稳定性等,了解这些性质对于后续溶出介质研究具有积极的指导意义,例如药物在不同pH值的缓冲液中稳定性有差异,那在筛选介质时就需要避开或者考虑用某些手段来避免药物的降解,以保证溶出检测的准确性,提前了解清楚,可以少走弯路,节约时间。
2)对表面活性剂和溶出介质的属性及相互作用等做详细了解,首先要提前对表面活性剂的纯度级别和来源做详细的对比研究和控制,因为不同级别和来源的表面活性剂可能会导致pH、溶解度、杂质含量等属性的可变性,不利于溶出方法的稳健性或者涉及到将来方法转移厂区的可转移性等,因此要固定表面活性剂的来源和级别;其次要了解表面活性剂和溶出介质的相容性问题,例如当含有SDS的磷酸盐缓冲液中钾盐浓度为0.5mol/L时,就会形成沉淀析出,针对这种情况,因此最好是避免使用钾盐,使用钠盐缓冲液就可以避免这种情况的发生。
3)在以上了解的基础上,就可以开始考察原料在不同介质中配制添加不同种类或浓度表面活性剂的溶解度,溶解度可以先用中国药典的摇瓶法进行简单的大范围初筛,然后选择一些适宜的浓度进行饱和溶解度测定,根据pH-溶解度曲线筛选确认满足漏槽条件的表活种类和浓度。溶出介质中表面活性剂的用量建议从小到大开始筛选,浓度研究可以从0.01%(W/V)作为起点,按照1、2、5级别逐渐增加,在普通口服固体制剂溶出曲线测定与比较指导原则中也建议表面活性剂的浓度推荐在0.01%~1.0%(W/V)范围内以此递增考察,必要时可以考虑超过上述浓度,此时有必要做出相应研究说明。
4)用初步筛选得到的加某种或某几种浓度表面活性剂的溶出介质考察片剂在其中的溶出行为,进行溶出曲线对比,以检测处方工艺中有意变化的过程中,该溶出方法的溶出区分力效果如何,例如刻意制备不同粒径原料/不同崩解剂/粘合剂用量的的处方、不同后制粒时间的处方、片剂不同硬度等处方,考察研究这些处方在该介质条件下的区分力效果如何。
5)找到了既可以满足漏槽条件,又具有一定区分力的表面活性剂种类及浓度后,需要对该溶出方法做验证,确保该溶出方法的稳健性、耐用性。表面活性剂的种类、厂家、批号、浓度等均属于耐用性研究范畴。
案例1:
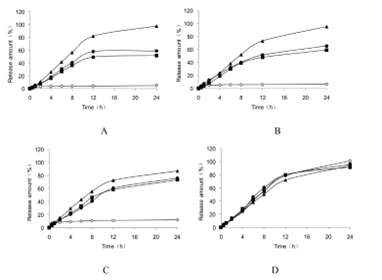
例如有文献先是研究了尼美舒利在四种不同PH介质中加入不同种类表面活性剂中的平衡溶解度和溶出曲线,结果显示在pH1.2盐酸溶液、pH6.8磷酸盐缓冲液和纯化水介质中,加入SDS、CTAB或吐温均可以提高其溶解度,其中CTAB的增溶效果最好,SDS和吐温的增溶效果相当,但都不及CTAB,可能是弱酸性尼美舒利在溶液中解离成阴离子型,更容易与CTAB作用,从而导致增溶效果最好。



案例2:
某难溶性药物,其溶解呈pH依赖性,经研究初步选择900ml 含有1%SLS的0.1M盐酸为溶出介质,对该介质的区分力效果进行研究,对影响质量的关键工艺参数:制粒机的转速和压片压力进行考察研究,研究结果表明该介质对关键生产工艺参数的变化比较敏感,可以区分不同工艺批次样品的质量差异。同时进一步验证了该溶出条件的耐用性,研究同样显示以下条件的微小变化(介质温度±2℃、转速±4r/min、SLS浓度±0.1%、介质是否脱气处理)对产品的测定结果影响较小,说明选用的该介质耐用性较好。

参考文献:
[1]USP:溶出度方法的开发与验证
[2]普通口服固体制剂溶出曲线测定与比较指导原则
[3]药剂学第五版——第四章:表面活性剂.[M]
[4]贺绍珑等,表面活性剂对尼美舒利缓释片体外释放的影响机制研究
[5]张宁,普通口服固体制剂溶出度实验研究中需关注的问题,新药申报与审评技术
相关阅读:
<END>








川公网安备51019002008863号
本网站未发布麻醉药品、精神药品、医疗用毒性药品、放射性药品、戒毒药品和医疗机构制剂的产品信息
收藏
登录后参与评论
暂无评论