一、水分控制的重要性
药品能够发挥药效和安全用药,离不开药品固有属性稳定性,稳定性的因素有很多,比如水分的控制;①保持药材适当的水分第一可以保持中药材的药效(如带挥发性叶类药材),②保持药品一定的水分,能够增加药品稳定(如水合物,增加晶格稳定);第二有利于储存。合理的水分在贮藏保管中可防止生虫、霉变,避免有效成份分解、酶解变质等。
水分存在方式:游离水、结合水。
二、水分测定相关工作内容
(1)药典产品检查水分确认产品相关信息
1.产品类别信息:化学原料药(API)、化学药制剂、化学辅料、中药材、中药制剂;
2.产品含量计算形式:A按干燥品计算、B按无水物计算、C按无水与无溶剂物计算;
3.信息列比表:
4.1烘干法:4.药学检测工作常用水分测定方法列比表:
4.1.1适用产品:中药材、提取物、制剂
4.1.2检测操作要点:①仪器:恒温干燥箱、电子天平、干燥器;②取样量2-5g;样品直径或长度不超过3mm;平铺称量瓶厚度不超过5mm;③100-105℃进行干燥5小时,放冷时间30分钟,再恒重干燥1小时处理至恒重;④恒重标准:≤5mg。
4.2甲苯法:
4.2.1适用产品:中药材、提取物
4.2.2检测操作要点:①仪器:甲苯法仪器装置(清洁干燥);②取样量2-5g置于500ml圆底烧瓶,加入200ml甲苯(除水/分子塞);③关键调节温度使2滴/分钟;④使用甲苯将器具壁上水合并。
4.3费休容量滴定法:
4.3.1适用产品:化学原料药(API)、化学液体辅料、化学药制剂
4.3.2检测操作要点:①仪器:水分测定仪、电子天平;②水分标定:称取纯化水10mg~30mg,平行标定3次,取3次标定值平均值为最终标定值F;3次水分标定值RSD%不得过1.0%;③控制滴定仪各个管路接口与空气接触;④样品测定:平行检测2次。
4.4费休库伦滴定法:
4.4.1适用产品:化学原料药(API)、化学液体辅料、化学药制剂
4.4.2检测操作要点:①仪器:库伦水分滴定仪、电子天平;②滴定杯先进行除水分(消耗电量);③样品测定:平行检测2次。
5.水分检测分析方法:费休氏-容量滴定法、费休氏-库伦滴定法、烘干法、减压干燥法、甲苯法、气相色谱法
6.几种不同水分测定方法原理:
6.1费休容量法:碘和二氧化硫在吡啶和无水甲醇中与水按1:1反应(容量滴定)。
6.2费休库伦法:检测电极检测到水时,阳极液里的碘离子(2I-)开始电解产生I2,与水定量反应,其中1mg水相当于10.72库伦电量(库伦滴定)。
6.3烘干法:利用干热将水分除去,恒重即为终点。
6.4减压干燥法:利用抽真空(抽气减压至2.67kPa(20mmHg))将表面水分隔离与内部水分形成浓度差,形成压差迅速干燥过程,适合水分很难除尽,且含挥发性成分。
6.5甲苯法:水分随甲苯馏出且水与甲苯不相溶。
7.减压干燥测水分:抽真空保持室温24小时;取样0.5-1g,铺样厚度不超过5mm;五氧化二磷干燥器内,无水氯化钙干燥器外。
8.方法操作与计算:
8.1费休卡氏法(容量法)
8.1.1操作:3份纯化水标定,3次水分标定值RSD%不得过1.0%;仪器设置平均标定F值,进行样品测定,平行测定2份。
8.1.2计算公式:

式中:W-水的重量(mg);
V-标定水所消耗卡尔费休试液的体积(ml)。
式中:M-样品的质量(g);
F-水分标定值(mg/ml);
V-滴定样品所消耗卡尔费休试液的体积(ml)。
8.2费休卡氏法(库伦法)
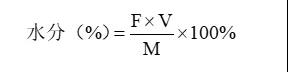
8.2.1操作:泵入适量阳极液置于水分滴定仪反应杯中,进行消耗系统中水分。消耗完毕,自动停止,等待样品测量状态(不需标定F值);进行样品测定,平行测定2份。
8.2.2计算公式:

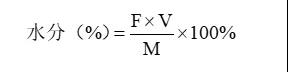
式中:M-样品的质量(mg);
E-消耗电量(AU);
10.72-滴定样品每1mg水所消耗库伦电量(AU/mg)。
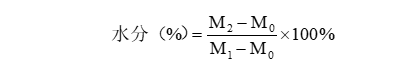
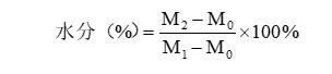
8.3烘干法
8.3.1操作:称量瓶处理一般和样品水分检测条件一致,使用温度为100-105℃进行干燥处理至恒重(恒重5mg);样品测定,称取样品,精密称定,在称量瓶中铺成≤5mm厚度,使用温度为100-105℃进行干燥5小时,再恒重干燥1小时处理至恒重(恒重5mg)。
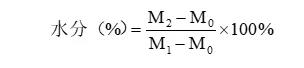
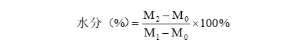
8.3.2计算公式:

式中:M0-空称量瓶的质量(g);
M1-供试品与空称量瓶的质量(g);
M2-供试品干燥后的质量(g)。
8.4减压干燥法
8.4.1操作:称量瓶处理一般和样品水分检测条件一致,使用温度为室温进行减压干燥处理24小时;样品测定,称取样品,精密称定重量,在称量瓶中铺成≤5mm厚度,室温减压进行干燥24小时,迅速称量干燥后样品。
8.4.2计算公式:同“烘干法”

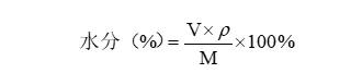
8.5甲苯法
8.5.1操作:将装置置于干燥箱中进行彻底除水分并置于干燥器中室温放冷,备用;称取样品,精密称定重量,加入圆底烧瓶A中,加入除水甲苯200ml,连接好装置,置于加热装置上;控制加热温度,使甲苯液滴2滴/分钟进入收集测量管B中,待水分体积标线不再增加,继续蒸馏5分钟。
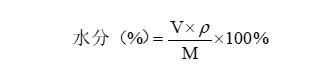
8.5.2计算公式:

式中:V-水分的统计(ml);
ρ-水的密度(g/cm3);
M-供试品的质量(g)。
三、常见药学工作水分测定方法对比

四、容量滴定法与库伦滴定法对比








川公网安备51019002008863号
本网站未发布麻醉药品、精神药品、医疗用毒性药品、放射性药品、戒毒药品和医疗机构制剂的产品信息
收藏
登录后参与评论
暂无评论