
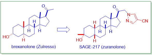
产后抑郁症是与分娩生产相关的一种独特的严重抑郁疾病,它通常在一部分孕晚期妇女或者在分娩四周内出现。产后抑郁症可能给妇女和她的家庭带来灾难性的后果,包括严重功能缺失,情绪压抑和/或失去对新生儿的兴趣。其它与抑郁相关的症状包括丧失食欲、无法入睡、无法集中注意力和自卑等症状。
2019年3月19日,全球首款产后抑郁证药物Zulresso®在美国问世,到如今已逾三个年头,但其经济效益未达到如期效果,导致该药物研发者Sage therapeutics近几年营收情况也远不及预期。该公司曾在2020年4月8日宣布重组,其中包括裁员340人,占当时公司员工总数的53%。

来自美国的Sage Therapeutics,Inc.(股票代码:SAGE)是一家生物制药公司,致力于开发和商业化新药物来治疗危及生命的、罕见的中枢神经系统紊乱的治疗方法,它目前针对大脑的疾病和紊乱有三个重点领域:抑郁症、神经病学和神经精神病学。该公司由史蒂文·马克·保罗和道格拉斯·柯维共同创立,总部设在马萨诸塞州剑桥,2011年9月13日公司由原来的Sterogen Biopharma正式更名为Sage Therapeutics,Inc.。Sage于2014年7月18上市纳斯达克(2022年9月23日每股$38.5,总市值$22.74亿)。
Sage Therapeutics公司基本信息
CNS7pz+95BzoeC52u6O59eL3YS9vqfWFEG8ECazFVW2wUKKoLWpRiB+GPHbhPO/s68dWmg9v2cn7Nw1RtpfurYZ4ePbPXncTBrJXT71R+hyPT+y8ifFkrnaX4zBQKDGY9Jpfil+58VY2eAX29fSxc0Ewuq3cwS/ccAtzzSZ3rGsFwX945z0YY+j3ilhK8UMDW3jHug28Y30/690CH9t2Pe++yNPOBwsl3r1hgE2F1gNVFPCJnTdyf/8mpho+oTHLrr8cpaDHcdlR7nzD5poLIYQQQgixFlJLFVe1PtdjX3cvT02NExjDf3z1RQYKRX5qaBeO1nQsCKrVEv+yLjGgDoxhPmhSsuxLmk+8zvX4+LbXp1f8EztvWva7rcUyP7dz96LPb+hon5/7vRs2tf39Y1su72FRllLZMHohhBBCCCGuRquv9QtxBep1PT68ZQcdyUOaZpoNfv7wM7zvm4/ypfOvMZUbGj5YLLHBK2Irxc5yxyX3EvtRyLdnJvinLzzLPV//S/5y7LXX9bcIIYQQQqeGhIoAACAASURBVAgh3pqkx1pc1Wyl+NDgdk5W5vjdU8cxyVDkr104z+HZKb5/wyA/vf0G3tnbz96udfzObW9nuFrh7r5+uhx31fsZqVf5T6df4gsjp3lpfhaA3zxxhPv6Bui5hO0IIYQQQgghrjyqVqtddNJjoXDlvTNWiIWqYcD/OP8av/LCs5ytV7PPtVL02C4f2rKNf7brVjZ6xYtsZbHAGD5/9lX+5YuHOFuvZq+ngvgJ2X98+zv50cFtF9mCeCsyxlCr1d7sZAghhHgTlEolCo88/GYn44p09oc+TJ+7+PWKQlxJ6vX6Za0nPdbimlCybH5s83be0buBf/XS8/zl+bNcaNSJjGGy6fMHp17isfHz/OqN+7hv/QC9rsfFZlbXw5Ajc9P8+kvf4ctjZwlyD+UqWTZ39vTxqRtu5b71A6tO48zsLI89/hiNZpPBgU287W378ZKb0ze/9Qwb+zeybWgItWDOd9oLv/DzlRhjXpdtLbedF44dIzIRe29Z/OqlpdZZycFnn6VULnPzTcvPH389aa2JLuMp5kIIIcS16KND1xNEl/6QUiGuFhJYi2vKULHM7916F48Nnufh4Vf4X+MjTCfzrF+an+Vj3/467924mY9tvY4HNgwueg1XYCIOz07xubOv8tnXTnHeb/VqOlpzR3cfH968gw9t3sYG99JGezR8n5Fz57j7rnfw6OOPsX3bNrZs2QLAuXPnOX9+lNdee409e/bQ0x0/DMz3fV44doxqrcZ1O3YwMNAK5E+fPs258+cYGBhg+7btQBzQnjx1ivEL41SrVe76nu+hVCwBUPd9XnzxRWbn5rht7166uuKHmYVhyAvHjlEsFpmammL/nXdmQfHM7CxHX3iBUrHIvttua/s9ExMThEsEpoePHGF2bpadO3ayKZfeg99+lq2bt3B+bJTb9t6afT4zM8Pho0c5duxY9m7nN5pSCtu2aTQaKy8shBBCCD55wx76PJn+Jq5d8vAycc2xleY9Gwb53b1v5/dve0fbe5cDY/iL86/xD77zTT7x/FMcnZvOvquFIb/18lE+/u0n+Xcnj7UF1b2Oxz+/4Tb+8+338HM7brzkoDrlNxocPfYCN91wI729vW3fFYsFTp46xalTJ1vpDQJeHT7NN55+imef+3bb8i+eOMFLL79MZ0frdVtRFHH02AvUqjW+8dTTvPZa6wFrY2NjPPrYYxx48gDfPPit7HOlFGNjY3zuv34e27bbepoPHznCufPnmZ6Zznq7L2Z2bo5HH/sqft3nsccfa/vu8See4Mxrr/HU00+3ff7EgQOMjo3ieS5cxuu6LpdlWdi2tD0KIYQQF/PRoev5zgMfYINXwFYSWohrl9QaxTWr1/V4cNMQH9g0xO+88gK/eeIw080GBhjz63z+7Ks8MjLM+wa2MOAV+cLIacYb7XMuNIof3LiZ/3DrXQwULm1+9lI6Ojr4iQ//+OIvFAxsHKBer9NoNrOPz4+OMjc3x6179jA3X1m02nU7r6Ovr6/tM600/f39dHZ24Od6ZIMgoKuzk6Gbb6Z//Ya2dcIoYnZuDr3g9WF+vY7nukxNTa9qeLeJIvxGg87OTl45dWrhT6RSrRAEQdvn1WqVzs4OwiC86LZfb0opHMdBa00QBDIsXAghrhGnq/PUH3zozU7GFWGi4RNEEX2eJ0G1uOZJYC2ueQr4J9fdzP0bBvidV47x+Pg5ziW90U0T8ci54UXrFLTF29et52e238iPDGy9pPdVL6dYLHLL7sXvlwbYuX0HfX19KKXo7Gz1QG9Yv56NG/oBxc4d29vWGdq6FddtH5KllGL79m309vZy26230tfbCroHNm5k586dzM7OMLR1a/Z5GIZ0dnby0E9+lFOvvsqte/dmAfSdd9zBgW88ycDAQFvQrZRicHCQyLQHo93d3Xzfvfcxcm6EH3zve9u+e8/99/PKyVNs39b+sLcfeM97ePyJJygWCgwODi53+N4Q6ZBw6bkWQohrhzxydPXkQWVCtMhTwYXIqYchj104z8NnXubLY2ephe29pFopbu1ax98eup73bdzKlmR+shBCCCGEEOLKd7lPBZfAWogFDDDbbPCNyTEePvMKB6cnqIUh15U7+dDgdt6/aStbCiX0JT7VWgghhBBCCPHWJoG1EEIIIYQQQgixBpcbWMtTBoQQQgghhBBCiDWQwFoIIYQQQgghhFgDCayFEEIIIYQQQog1kMBaCCGEEEIIIYRYAwmshRBCCCGEEEKINZDAWgghhBBCCCGEWAMJrIUQQgghhBBCiDWQwFoIIYQQQgghhFgDCayFEEIIIYQQQog1kMBaCCGEEEIIIYRYAwmshRBCCCGEEEKINZDAWgghhBBCCCGEWAMJrIUQQgghhBBCiDWQwFoIIYQQQgghhFgDCayFEEIIIYQQQog1kMBaCCGEEEIIIYRYAwmshRBCCCGEEEKINVgxsG42m9+NdAghhBBCCCGEEG+atcS+KwbW1Wr1sjcuhBBCCCGEEEJcCdYS+64YWDcaDQmuhRBCCCGEEEJctarVKo1G47LXt1daoFgsMjU1RaPRoFwu4zjOZe9MCCGEEEIIIYR4q2g2m1QqFSqVCt3d3Ze9HVWr1cxKC/m+T6VSwZgVFxVCCCGEEEIIIa4YSinK5TKe513+NlYTWAMYY/B9nzAMJcAWQgghhBBCCHFFU0phWRae56GUWtO2VhwKnt9poVBY086EEEIIIYQQQoirjbzHWgghhBBCCCGEWAMJrIUQQgghhBBCiDWQwFoIIYQQQgghhFgDCayFEEIIIYQQQog1kMBaCCGEEEIIIYRYAwmshRBCCCGEEEKINZDAWgghhBBCCCGEWINVv8f68QNP8/Qzz/LaufNEEWCWXs5glvsqs/Dl28aY3HcA8fdqpQ0lixoT7zO/3XSbmlxac9teOu1glEGhMMaglGpL25Xkomk3yTFoOxQKY6LcMtmGyA7rws0lx77tfJo4DyxcdqkXri+1XJZ2AGMWJjJbbzWvb0/XjpdXrc/SdKf5LPkiUgajDNoojFJElsX5mWlOnR6mwy7gaYuICK0UxsTbcGwXz/PQloXBEBHhOg6NRgPLtjGhSRNBGIY4jkMzbKItTRAZTBBia5u6CZgaHaE2cYGOjm46unoJNdiujeu6GAPNZkAURVi2BSiiMFr0i5XS8XlXyXGM4vOTzw/pZRApRTNoMHVhAlspetf1EkRRdthN/CNRQGQioiii0ahTKBTj/aTHT4FScRudMRBFEUq32uzSU2+MibdtAK0whEyNX8A2ig19GzC2IkzzbJJ2gChKs4nBGINWKi4cDGit265Vo9v3GYYRft2nUChkaYrCEK0tIgWRhlpljurkFH1dvRTLnQQmwhDF+STJO7Zlo5UmiiKaQYBRaf41aEujlCYyhiiK0Eon+SOKj71R8b6NQVnxuVAotNaEoUnKzAgFKMuiUq8xNn4eJ4SuUgfasqjXqtTqPt3r1hNEIRHxvqIowiiytKXnWmmNiVr5Q6XnPUryCOmygFFEUQRKEZnk3CmS7Ru01iiliFSINobq9AyBX6d73Tocr0hEfD2EYYiJDJFJzpOOf2N8PtSSBXp83CKa9TpdnZ10dnWDpTFRmJQlUXxeo/i8x+Uz8bWrFBEGIgM6vsh0FP/+QEXUaz71mTlKxSKljjIKi0hFGK3wHA/bdtJclZQ18XGs+VXOnHoJvxHS0TcQlxmWRRCGhFGIbTtYWsfXllZxWpMyJM6HIRqFNgYdRjR9n0q1Sj0KoFzE7eqk5BZwseP9mghjImxlxX9ismIvvbcZY9CAa9vYtpWUWRHjY+epNwNK3euz8k7p9FpvXfetayR37JP/H5morYzPyom0zFBJAUZalCmi5EJWSqGT9FlKYxmDikIa9SqVWpVQKdyuLmzbxUEnWaCVFqXjc2iy8ia/X9KCCGNa9yFtWfFnSXr8yiwKjS4UkjS2frfWKrvFhJGJr83st6jWPSy550fKYFkWjraze1kYhWAMFgo7MASBT6U6Q2Ai7HIZu9iB0Q6WtlAmTXucT3VyHHVSLmdZNS/5Iem1G5/3KD7GJs7fhghMRGN+Fiwbr6OrdV3lNxWZ9uOXbFsrBREoDCqpwBkTEtbrNKoVGhq8rh60U4jzkIrvjpFKj1R8DSribUVp/sKgUWAiojjh8TlNjmlkQrSysvtw6/zk0xxQm5+lUCqj7WLrmk+OjVZJnkvWd5SNBpr1CpXqXHw8yp1o10UZUFGSZzXxuYtzBxARH4FWPkt/S3xf0aQ1WI1Os15cL1JpbSE95ul5is+1haZemyeyNF6xjIoMJorQRmMrQ9hsUJ2fp6nA7unAdotYYVxGxJtr/T6V/E/nDlKYlOWW1vnLsZ3W8X6Tc5tmLoOJz71SmChCJfd0g8E0fSrz03iOS9BoUDNNVNc6Cus30Vkq04kiaoQEzZBG0KAZRbjFAq7rYiuNjgxBEFLz6xgT101cx8WxLMIool6vE2HQrovjOJCUhwqDY2lMM6Dh+5goIjARoYqPgk7yfaXRAM9h23U7GOxbjxtGWKFp9Qim1wtx3UIpQ3K60gWWOFCro1R2WyArBvNMK0enZVr8cVr2ttbPrZRsu1UWt+qp7ak1rcWz7bd/liY0vueS5mdtcX70HMMnT9CozNJVKuK5LiiNSe75abwUhhGWZaOT+2cQhriOjWXbhM2IRhhS6uiiUO6gEQZUqjWUMRS8Aq7nAVD3feq1KpayKBYLOJ5LMwyp1mpEzQDP8/A8F60sqrUazWYD27KyOlmj0aDh10FBsVjAthyaab4ACgUP27FpNgN8v45C43outh3Xs/1mA4BSqYRGEQRN/EYD17ZxHZsgCPArtbhIUGBMSLNSoTI5RY0Ghd4+PKeIY9nctGsnH/zh9/KTH/rAarPJkqxPfepTv7rSQp/57Bf4q68+wezcfC6jLJFhFa1gJa3g5XKjWrCWSpZWi/4H5IKhi4kwi/bTtv9FaVx+m1nBmf7rIssu3NdarHX9S95mUpC3MQvOg1IovWA76QlU7aXMomOPajv/F0vLwuXSZbObu04Dt1ayl1pnye2ouOKWVqBQoLValL60BmSUwkKhtEVTw/npaUbPjlK2PWxtxRUwrbLKkm3beAUPy7KTQs9gWZpGsxkH1elNkyQIdxyCIEBbmogQE0U4jkM1bFKdn6dy4QJl16PU0UWkLdAa27FRKIIgxAC2ZSWBRpQcv7iimAaYWQUtrUAosuAmrVwrrTEKmn6D6YkLuJZFd1c3EXHVIz1ccbZQSQAbV9bCMMSy7axyoZTOBe1JhSo5Ydn1rlrBtlIKo+PCb2ZyEse2WL++H6MVYZwN44pO1H7XSQMzS6uktSwJVpXJznMr0bk7j4Fms4nnuq0GEZUGjiFzs9PUKxV61/VSLJUJSSrFOvkNWqEtG6PidIVRmNzEkmxjWVn+ioyJb1wmTY/JGhwwoC3iyndyzEh/KybLf3Pzc4yNjuKi6Sp3QHKuojCkGQQ4hWKSlii7v2q1eOCRoTUcSZE2ahi0ZSf5hiyYyTW3EKn0hh7/Iw58ovj3hSHVmVmUge51fVieR2QUYdLoEoVRcv5Jguq4IqB1Gsy0N8KlgRQKoiCg4Hl4xdKC2kWaz+NKg0nyfP6YW9pCRWneVRBGzMxNU52v0FPuplQuEap4vYLjou34+CvLSvJElF0XCoiigJmpC4RBiFvqjCss+YYKBZZlQS4gT+9bVlJgmTTza4V2HFyvgKMtTN2nUanQDILknOu4QpxcxybJy0s1KSriirWlLSwV57vq/BxBEGAXSq0yOW3IoT1YS3NGGtgsVTcnOb5ZHiFfvivSBqTsXNC+TBhfFFiOh+MWUFFEszJH1GzEjWl2UrnLnT+VBtwq3n58SHPBS5qY3DFJyziAsOnHx8Zxc/eltODQYJK0JvkwXyto3e/i/KOVjk9r2Ap4tI7zSQSE2oBjY3kFNBZBvUbQqBJgiDQYHQfRKi0zSesTrd+iF0bWuXtaes9I2x/JBV4KiIImKI3rFlrlaa5xOy3303tC7qQmDWS6VcZqC9tyKToeKoqoV+bxowbGtjDays6uUiZrfEi3r7LvWmW+ajv2aZqTdbIyuZW27NgYCBqN+Pck91lQyW+Pj116/hRxo1lkFI7jUHAKEIU0ahUaYQBag7biFKaNcSYu69P7UnLAszIxPQmtuqROw9G2RiZyvy7/fXytGZrNJhA3tlvKRhHn9ZD4PuF5HspE1OfmUc0mnm1hLI1R8XnRyfWlSRpCkv+y/SR/p0GUaUsPuUAv938XLBfTcbCLRpkIP2jgeEU8r4RjFGFlHr82T0ODch0Krodr2bhaYylFGAY0goAIsG0brTWWFac/DEOaUUCoFdqysOz4fhMFIVEYoW0b23UwUUQUGiwrDuKCpPVcoVAmudYUOJaDCiMujI9Tafg4pRKuEwf1cf5L8plJjhnxfSfNe+m5Uyr5fIm66cL/0uXScii7tlT79oCs0Tn/eatutPjfi+q5WR00uT7T/SxMU7od4jpJvu6q0WjLIgAmKnO8+NIRRk+fxDURXR1lbNeNy/S0jpTkH4XCsa2k0S2+t7mOi9EWjUaIdjy6161H2y5V36fm13Ecl1KxiG3HAWu1WiUIQ4qFAqWODpTW+PUGtVoNS2vK5TKO4xCGIdVqBWMMrufiFj0iY6jX6wRBE69QpFAoAIp6vR7fe12XcrFEGAX4vk8QBHiuh+d5mHS5MGp9Fob4vo8xEZ7roIio1WoETT9pkDKkDYEmDAl8Hz/w0YW4kV0B4xNTPP7kNzl7bpT33HsPl2vFwPrxA0/z1499ve1mlL/lt7X+Zt8q2hbPrZUP3i5mpe/z8hWEpYK8tIBCrbzN7GLM3ThWE/i2NSAsuHhWs86lrPf6SWtOrT9b/+UDm/xyJrdw7jeYBdtY1d5VflOvm2Xz5BL/zn0Yf6o0dWM4NznJxOgFPGXHwQ0GK3du4qC6EPeeJMdHKZX1KEdRlF0HysQ31iAI0DqukBsFlm1RadaZn5mlOj6BxlBKWt6NnayLTsrB+EaV9ginvyNrQMhdc2mQHxfIuu2cGMBYinrdZ25qmqLt0tHRibE0YXZdqlYBT1rhi4OnMAyxLTtuTCCtVueOrG4do2zAQS5daWFanZml7BXoXrcOk1Rk0p6D1g0jVxEirpCmPSHx9hbs3rTKmCQ0iBsDmgGOHd9covhEEYUBtdk5VDOkt3MdrlskynWRpMfWsqxWUB2GWSVGQdbDoZN8ESUVubgiGfcCtm6UccXQ0q1AO4yiOIjS0AwDZmZmqEzNUHYLdBTLreOgNUGzSRiFOIVi69gmxyC7ZLXO5W6T5JNWxSqraCf5I98KbpLjorRqXfNJOaA1NPwa9co8nuXQ0dVF5DgEEa2AOukpUTpu/FE6PWetk7NUuZY2CEVhgOe5eIVClj6V6xUFIDJZI4JKz3+6HaUJiag36lRn5tFhSPe6LrxCCbTGciw8x0ZpnTSeKKwkeGjl9fj/h2HA7PQEQRDhFjviyq6Or21DnAadVOZItxAXHlmPaHYWlMIQN87Yto3nuDgownqder1KI/IJAaWtOGBO8k7aU6zyFTfAsnSr1wqoVOZphiG2VyJrsFHJvWRBmZDmmzSfkJz3VmUyPo7pYc1K0fz9M9doZXIVNIAw7hbLBRMaz3VxHQcVhDR9Pw5+SCrBWqXjNEgSnRzTfD4xSaOUlTXO6daPirNF0yeKQNlO9vvTvJyOkMkH//mgvGXBJ4ps9EVy8Sb5IC4nI5LAzvawIjB+PQ4O0xE1aaO0IhdEXrwKsmj0Vy4oUskInajZxCiD5Xi5xVS2ftaesKCOld0TiPNk3CgZj6KJbAvLcXFtB9NsEvg1IhNgtMa2bKI45IsrpKSNKqaVv9I4uBXitcqUrD4Vf7owSIlXVIRNH207aG0n5yd3vpLjZ3LXgVJJQ5q2cBwH27IJmw2azUa8X90qy1Quv6hcHlbJZ2lZl/7dPoIy3+CRjoJoNVmqNFhDEUYBJoqwbAeSHvA0UI+S9NuOQ8F1MI0GzUaNJiFNKw6wLXSyHtkxXJQvcvXY3KHPlms13LTOhsldU/nfH1/b0Gw0sFyPyLbRlo3rOLh+k2hullrQoKE1gWOhHQdHW9jaIjQRQRASBAFRUpeJG/zikXSNKCA0EdqycG0Hi7h3tBE0MSicZNRPEIaECmzXxXYcVBSPLEnTHAGWrfFCw/yFC0zOTtO0LbxCMR65k42cyFc0stO3oF5Om5Wq2fG5a/93WhdLP8s6K1T7aKDs3tp2TZu27eTTm54Xkz+huX8q0/5Bq1ywaJiIyfkZTg+f5MwrLxLVKnSWSriFAkpbbTFFel1ZlhXnk+T60JaF1hYhgHIodXbhFEs0mgH1RgOlFV7Bw02CZL9eJ2gG2I5DqVxGWZpmo4Hv1wEoeB6u6xJFcbAbhgGu61IoFlAGAr9Bs9HEtm0KhQJaxT3XzWaAbVlJD7fCbzbihmPLjoN+DEEzSLbn4LjxqLMgiK8917awtIrLgmRkhNZJvS/pkIrCkCgIMUGTRrOOVSjiOm5y746vnxdffoV1Pd3cevNNF88ky1hxKPhTzzzbFmOlJydX9CSFanLOzcLvc5m7LeO9TpRqL1gW3pxWI39FrCIYXljwLt7cpf/QtpvjG6g9/SarELYzi/9US3y+aONLr77S5t9I+UquotWav6hiFTeJ42M4OzHO1IVpPCyMVhgi7GRomFYK27ZwXDcLSrKWdUNWAY+HmMXbVToOQCzLzobcojQV32dm4gKNqTnKhTKBjjBOfJNNA3UTGbDjm2kURVnPQf4iS3/XosYDQ1IiJyGwghCozM1Sm5mjo1CiVCpmPcUqqUxC+ymKiLJ9tB2vdE/5e7XJVajSe11a4cNQr1Rp1mp0lEoUS2UiA0a1Tx9RCoiSXgHT2kfWnZ7e3LLhgovPZ2uYenysSSq7KOKAZr6KpyxKXT1g20TpFJCkAM4aJQyYKIp7K02an9LtxmmIW/9VMswo7dlJejh1vhJk4qAuTbeOK92+X2V6apLAb9JZKGI5dhLwxGcuigyBiYiS/Bey4EafVWxzlUXI9f7E36W9ya1zmZaXOs0hrXwXXw5goD43T9DwKRVLuMUSodJZLzVh1OrV0SpeR7WnIzsnpr2ykTZGxInKqoGo5Lin+Tgy+XRl4V6r0qzi66tenader1G0S5Q7ejB2vB8rOb9+0MS27LbKUivjZdFX9r1Jj0+6V9XKe+3hgsm2k16HaY8WJmkgigsHtOvg2Rau59Fs+NTqPo3aFMarQamM5RbaGvDS4f356z0eGByXR62eaZ2rp7Uyw8IeN70wsEh/Q3KdpfW99mPDonte1sufXWc6PX2kU4oipYiUQntFHMvFajTwGzWiagVfa6xiCWwXra104EnrP5UON07+nT9fmmRKQzqCoTWNKYn1W/kNnc18yoZetvW+kuW71o9tHWdMazgxSYOG0nHDShRFaNeLA4ewQaNeI6xWCX0fCh7GK2Lb7pLDSfP/vjiTlUk6zZsmIhsvkKuIK5KpEgvqKJjWfT7rXU4atIzKlRGui+c4uL6P79eJ6jP4BQ8KBRzl0rpGyHqC07/T7cb5p/0aTU5iLjjIBUHpeSUOyCwHFvyoLP3GRKRNplGS/+JRVhrtFijZLoFfp1H3Cfw6plDAdrx4nXyAnDvb6TSGLF3L1B/bGgSysikuq9KpSlpbmDCK7wkqyhqBdTJKyZiI0Ci07eJ02kQNn6Du4zdmoFjC9UpZI0ycJU2W7rQxPT88fFE1K/l9udOSP5K585GcKwUmiofJmyR/Rxi0dvFsB8f38Wcr1Ks+1XU9eF099DolPMuloHUcVCcNZkFoYTsOjmPjWRoVNGmEAbWojnFc3OzzgLDZpBmGOI6N5TmYICRoNrEsG6dUwPgK02gQmQid3N8sy8LWisb8PGdPvsL8zDQbBzaxodyJp+IrWbXl+bZTuqRLrWq3rllDK8uotu9ay7TyS2s/C4PvfFoXf5HPpyaXJU2yfQNMzc8yOjrC5MQYNOp0OQ6OXYSkw0el+Uir1ki6ZHcGsG2LyGhCA8py8IoFLNuh2WzSrNWwkpEWtm3RbAbU/RomMti2jVtwQcUNM82giSaeYmUl0wB83yeKImzbjjsojImD7GaIY9sUCg4GaDQaRFE8BafgOpjI0Gg240Yqy8ZzbQzEozZN/JljO/G0vGYThcK24vpWGDQJmw0UYKX3UBMPZwvDEMJkGowimcYV13lNZMDKF02KP//Sl/mJD77/EnJIy4qB9dmR0dyJzlUY0spTqxqd/3B186Npzzyr+TzedrJnZRbsJ73xpH/ni5WLJWLpwqqtUFohoM4H9AuD40U3ugXfLfX34orMJZYCy+y/fTutiwyV/mPhyst8nj84ZonPLnoCc99dbLlLkdvOxXqn873IhjQPGYy28TGcGRllZnoGV9tJPdrEc4mSvOW4Dtq20JZFGIVJr2q6bxMXEHY8H1NrHffkJYVGsxlgaU2kDJVGjcmxMZiv0V3uQHsezUY9qbwpjEmqfsnf6Rwr0jgkF2QsOg65f5skCIgUBCZkbnaG+nyN7o5uPM+Nh24qkkC2NZcsDQTjwIaskp5VZNOEmHyeSo9FrsKaHmciqnPzhH6Tzo5OnIKXDEUGTDokL5nPneuRz/+edH5tlieTSldWwaZ1HpRS8RzqoNUQYRRUKhXq8/N0FuLAPh6CHrX1gumk4myMIQyCrJU620tWuUr/ThOVHLWsDEwrkyYe8hsZQhUlwY3CWIrZ6ixzFyYhjCgX4iFWoUmGF6q4ld+ouE3BmHg6cdspTirbUfpF7prMArLkuJrkXBkTZgF2WmZm87NJ8oyGZsOnPjePjhQdHd1YrovRcX6IgngOdBSlPZ7p0LxcGZz+9lx6F5dD8cIqt6yKE5oNq9dmiSI9yTtGKxrNBv7sHFEQkzjtKwAAIABJREFU0lnuwPPKYCmUNnELexTRDJqY0GDpVuUiq2SnaU16etJTmg+oVXKcWn0j7XkziqL4GGQ1rNwyyXG1dDz6JCAEJx6GZ4cFGo06zYZPxa/HgXe5C6dQwKLV4JH23mc3X1rDZOPzmwSRuWp1ek9OA0RLxb316flJG4kWn494i2nwQm5raRpaAXWr5poG7emVYkh63wFlabRXoODYREFA068TzM0ROja6VMSyPZTRWEmK86MAjCGer5rVP1TWYGUALBsTNrPLMu71yZqKWsVSFoy3hgDHAXy6qzT/t5erkYni3tIo7l+3kqkhSuts+ofRLq5lo4KAhl+nUakS+g3CUgnL9eKhwUqhs/KAXLyb7k+38mSWdRRZAazi3k8TBXFjZzJseGHVoDU/PT2l6RFVrX1F6XnSYMXlTRgGRMbgeAU6XI/A96n7PoHfQHsFrEIhGWbdyiX8/9y9e6xt213f9xmPOed67cc599rXL2KDEQQVgtsSHJM2Edd/hMgofzRuiCxHrUgFkalUBKRRqSCSkZxUMQgqgUpU4UhGlkgKf7SJCFK4UVAb4oQqUNPiEDDXvu97zzn7udZ8jjH6x2+MMcdaZ+9zzr0kUdN5de7ee605xxyP3/iN3/f3VALMfIxfnpVS8WfU+uUwpUxC4UAxoxApFxmjIipLYuxxSPeG/WfjlhCvD021XGGrmnHoGdqWoR+wyxXK2hhnHblMKMKnQuI8RegOs0yXFYEUtJOOgEw8Gqs0UxBgLYp1UQQEN0lIiFYEjHhCAFQNS1NTDz3t5TVt3WPXa4wVa13yK/GqiAVPMxt/mDSGvNTCM0MkMJ33RJiVKSV9Eb0wgsOqGmsk74PzARrD0jbUw8DujTO2V1dMd5/ieH3C2tY0xoBxdONANzpG7xisobIS+qKHkdGNDH2PM46qrqmbGj86iYPte3RVSWiZ1kzTyDBNsk+skfw0PnEwBcZSaTlXt/cf8AeXV5y9/W2885l3cFovqJPXVHlYhPlM40CpcrhnStn7duNcoteDT2c2GNvYv2f+/vDtaSeFee3SxyHKqfkMVyJHGM11e80rL7/I+Ruv4ceBpTHUq1X0ktCZxtO6axTKqPlvLaGK4+TRdSV5c4xldBN916OUolksMEbjnKPdtTHsStMsG1AwjRNjDOGoa/Ea8c7R9R3eB6q6omkWeO8Yx1EUZ9awWC4IKjAOYzQ4GepGQieGoZf3GE3TLHAu5rTxkhenbmq89/RDj9YaazTeeca+kzOYIGoiJUr7EMTL0jmPRBFGPmq0hIKhIeaqUXZenoDni//692+hgcdfjwXWNwO6/UNY3fJ5+u0QQ91Gsjddt26EmxLhMAOmw37sPxwe3hk3PXLDi58E4Jab8t+mBfpRVu7bwfRt1x+in4XMdePnj3vuUZ8/TFL7V0lQj1m73HwCe1FQDkbTeceXXniR7eWOla1RhdY9xbfUdYW1BqJborVWtGAkoRKssQzDgK0q0ZQBaM0wjdioZbvudrzxxquofuSp41Nx8bYG7Ux2HzOF+6Achr4QQiKIQWVBcV9oiGMLRKWBYgqe8wcPCMPI06d30LbOsbMC2IqDJU9n0vDPFqHUv9k7ZI53TYKpE0lYBGutwDsuHtzHojk9uYOubQSKYY59S0tZCFtJDpyXct63GQyh975PwoICSfojshkhwO7BJWPXcuf4lGrRSDxxStwU58xoiUWaYvKZUFg5VJz7QMk/5nVIQEDWiBxnGxXG0rMQ54TA+fkDLh88YFMtqNZrlFbijh9ddUeXfQly8pnk3pqAQCiQdoiJxgR36JkWChARQoCY8IwUUxxCzkXgEWGs3+3YXl+yapasVkcoa2ICu4CbXJEoDbQRa70v3pGmIiRMgLr1LFF5ovZjiz0BoySGzKkoDAcRSifkkJy6nvOL+9RYTo5PsU2NC4G6Mlhr6YcB59yBIkrNcxaFah1j2dPSihDqZ0EthKgoSWA8JnULkqApAUwfQlbSJOtW4iEiFClsiNp177DRdT7UDX3f0g891+0bmOWS5dExdVWjgNpYBjfhRDQXd/QgtH54JWtv5hMheTfMoDsLbjcoiBP9GpPinWX8Ca570r6f6YoIADOoTe8L5N+9Vmhdoa24w6qhp+tauosLqBvsas1kDNpLIrRs7VHlKIu45UhXkbriTzXziKQ4iOOUfctDZ4rgIrW3T6SBGRAKnxCr/OSmzKNJbvXB45VGKUNlDHYa6duW4eyMsFzCaoWuGpQ2EdTmVxBIAt+8BrkPXkD4ofv74bEXINP3bLkslRxkfppoNXlEpf1njMX4AEoETbNcsapriUXc7dj1LdVmg6oqjDLRdRnx6gqzF8yh1JYVNCHxwujim4TciCCSq3/KYRHi90n5KnSVAHXyPUs0IK90KFQEfU1d07c7+stLWDYsluu4r2ePELF6R3re03YQFePJEyIUYTJpjdIZnaTxIDwS4VO6UMYG7wXsKuHvJhgZq/dYveK4qum6lt35OfVyRb1cgqmEJyV+nU+hyKPiO/P5rIpxIeBaJQWCnxUCoPAqJgDTBpTOSc18EAWcMhA0BGXQ1rIOgarr2L74Cg9Ortk+/RSrxZrjhWVdGUzf040TrpvorYO6EVddLK4bBLD1fQ6H0UbPsdrRs2ucJoJz+WxT2kBw2CzLynistuLuOwUevPIaF+eXvPu9X8W7Tu6ymkRWykr4dO6Egvunc6m4ngxUP/oq272pCaXm/uxbsmc+RfQSwydvnBD3hyJYQzcOvPKVF3n1xRfwY8/KVlSLxZ78EXKLHmNFQe+dR3mFtRVaGXHJ15rNnTsYU9OPouxUWtM0NVVVM00TXd/FULqKRb1Aa804jQzDCCFQN+IePgUnieqcw1YVm/USH2Oepym6fC8XaKXo+h7nHUYbFoulAPxxxLlerNZNQwg+WrIl4a/wBc84DAQkN1EAUdq4SRTPxQI453LoYnaFV8TsZUrmVaWcAWPON6OJe0WBd28dEz1xVnBZ99nl8kZrWXHfIRJ6FKkefvc4LPWHAoFvAug+yiXooc/fZFuPA7u3vuctgvabrd5vVs3xJq/HL+SjnyufDYe3HLj/PsFUzEd+kLigACjDtXN86ctfobvesVksCW4fxIYQWC4XGGNQCqaYwGuapugWqMFJEqVhHKmrGuedbFQjmlhTNwze0/ct9195ldp7Tk+fEouftdRNTTeOeRhJRMnuUMyuPAJqYoyvirFvySIgKaJnLZwRTv3gjfuoYeKpO3dAG1wSg3I8EwXDLzW7ccbyAV5oQePhkPvskuV3dvUdppHLs/sstOHpu08xKS3u31kQyNHQUYiO1tp4T+7bLKFnIBsyaEzPJBfm2cqOCUzDyMVFi+kdT9+5S6hsdMme11cpFZm1ZMZ00aVPXPliH7VoQbPCIc2VB6ULTXmyjClwhJz4DSUubaMbOb/3Bpfn59w5vUNdNZKNHRXdqALOTWR5MgEC2Du5Q2FR1Kaw0CFJ0kIU9IJXUYEhz6mcAC8JpxILl4TW9vqScbvlZH1Ms1kzBQiRnicnbvEzqE7ZBRGlQQYgc1iOUmrvgDsEMClWN1lREtXpFAOaAK4SV1yvRHDqrjq25xccbdZsjk6RfAReBDpr6YYuenqk9RK60jEBV6KrbLkiCulx8/kEqFWa9/2TLQuqEaxoLV4JSaGW2tQqJVRKllgFGqzWhBi3r7SiMYbFYsWi77lqt1x2LfVqJXkXmgVKGYzSkkk4eHEHN1qUR4VgERDANgWf8wCkNTLoWeEX+3iTMJkE2Uzn6YuoPCPMFjBR8OxnTp7XNxTKsRkITUphFwvWdcOyG2h3W7ruHnqzoqkX+GAJaHQQO7w20funAP4hRAVDopf4M/G2tGcJKXli0bsMyom4eLZmZ3ffFGOhYsIbyOEYKkSvDUNOuiVBM56AwTSaVVWz7gd2uyu6dos52mCbNbaqJXQECqAW/0jzmpI3xv3iEWvRnKgwqg9DmNcggijieeGDz8I2JFCd6AECqXpDjEP0KgueQWvhScpg9ZJNXdO1V+we3Eevl6zWxwRV4feUomkfCS/XWoB74kXJTd1HcO2Cj0mnZJzeuzh/AiCTYlArHcORZCRliEBJb4EiySZgbM3yyFL3HdvLK9p2x3Jzgq4XOInPkuzTBSDZ29uZhm/5rADh8m6T91PK0+G9y0mpXDosg8v8NgTNqANaWRbrDc0wsr2+Zte2NMfHVM0SmDPnJ8CegaKezy/FfIYrJVa5FMIEibfNISqZo6WzhELREESJi9Y4L54WzfqIarHg+uqC3fUFu7e/je2duzytlyzrGm0M4zgyjSPD1OIWFbWtsMsFxgnw6voWFxyLKsXgBtqulbElj5+oxAhILhtJoBAVG7Fah1jvFQttGXYtv/f//A7n73wH73/ve9koSx1DlIIK5aLGs7tgAzeA7Eddj7Nsl38mlqz17NmV6GcfXCuSskZHdzdv4gEUFEZbRgOvvfEaf/D7/5rx+pqjRcVitS54MFlR5uN+tqYiWWyNNVizYBodk3esjk9YHh1x3bfsdlsI0CwXVLFSRteKktcYw3q9mZOVta3ENzcNi7ohBFm/cRTD0eboiKAkU/jQCVBfrpYYY+n7nmEYUEqxXC7Q2khW777HaMN6ucYjgNpNkyjsjcrGqhA8lbWYqmK3k3dqNRsRVBC+47zDJ4NX9PzTqYJH2gtaiQJUa0bv45mY+Glcv4fKNzz59aaA9Vu6SmmPmzU5MN8zH+AHzxV/lvEGcgaGvS/SvYdMd68DtwC2N3OVRvN0Dqd9Mr/uEeqBG5j3re9KWug3wwWeoA9Z6EIdMIXbDxb54rZ2Dl/+qJ7NUHf/5Y96JjX7iHfd8nySMQJgAKc1V0PPC6+8xrDrWNdNZOJE0CcCgKmqnFHVRxDivUNHi87knCT0cI7KVrhpEqARtbK2sgyT43q34/z116iD4s7JHbzWaKuoG8mQ6J3DFsmKIAkPam8ejS5dPov/p20QghxEVizVF68/wDrP8Z07YARU+2It59dFkJYOuDSdAUk0NM00YSJ4nQ8mFWNaQj7s3dCzPb9kVa+4c3rKhJfkGAnU+JDBXrZyBnJZlywQqAhJEihLgr5KoDXeHMM8PRC0KCXGqWN3dcGyXnD09CnexkQW3mdQb2KyLY/HOY+bfH6/igJ4KmuVtM4lQZVZvkPw0VKRno8HpRLPgX7ccXn/Aa7teer0KVRVMUWAoLTG+cA0TcUYiYemKDK0Emt6IS2J8iUluYtKAOdnIKuMrEuyvmYhLP0L5Kyg7fYKNwwcndyhqho52/E4L/QZKPZGTqIVohChMhaJM/MQcLvVIhBiPzI/T0JgyHOQ1sBPnt32Et+O3D25K3F5cax1XeOCZ7vbkcgRyKBKqQiEimzjzvvZpTLOtVJzhtYQAja5Jsb+pRnNCfYSb45rmS2dEQymMmbJSwYVy6MZg4r8RKkA2tMoS9Us6NqWdttytevo1yuJSW4WKFNhVSznlQaVVjjz8nm+k9CWJrp0v80uiFH5kYSUvB/h4bOgUCoBc7b04r50JqcycMR9KuMPGCVxc70O6KVh3Syou47d7pq+HVCLBtU0VFo8EOLUzsnV1AwM8m4IIQO9bAAoLHVZ0XHgApxdfGOfkzdGUibmjOVAivNN7XvnhJdoI8DXWqboWTCpQL1asKotpt8xbHeMXUdYrlHNgspUYvWF7IEne3P/AFPMYF6l+ae4XxXVGEIhD8V9lcLvQ1ISxb21pzA52JfC80VZOeHRWrG0pzSLkXa7pevP0MsFumnQRqxHNie+0yh8AeRlPbL9VqVs8ECy+iYFZ+52yKtYgr7ZG2YGkul3RSAUfC8AA2AWS05tTdtu6a+vMXWPalZgLU6pHH6QaCR7IB1c6XOXM4yn8Un/fOQt2d06noVJiZu8E0IIuCnEJI9ErxfFEAJ20bC2hrHdMZyf4xc9YbOUpG6hSI6oVAQSswzgk2IlzQshK6D2rsRSY3+N1YyTm0cZ5877gNKgrQUPo59Q1nB0dMK027J7/Q26bcuDu2/jaLlmZS21VlitGPuRsRvprMMuaipjaRZL1DTSjwN+FFlnHAeZ+yCJ+RTkBJ/KWAhePKuCKJZ8Lhc5ZwFvTE0TApcvvsb/dX7Je77qq3j69A4rrbEhkAqZzXzvdjB9szFtvv9QNktzfZuMnRSU6VBMYHsG2UmXkGzMse0IxJ2CB9cPeOErX+bi/j0WWrPZrKNHZDx/oq5M1ktjkwwQwxHFHRuGyUuYx2aDD4Hzqyt8CFIerWlQSkkYyzACsFquqCrxstztdtHyXNE04l3XDT1jP6C1Zr1aoa2hHweGYYAAq+VS+OE00XdbUIrFYoG1lnEcYwZvWC6X6OjVOYwjWmsWyyXTIJnAe9/FpJ0Vzk10Vzu891RmVsQQ+byLyTHT+uwpnVJJUYgKNSW07abZu1EnxZKXXBlv8XpTwLoEM5lIDwDO7I5UPKeKz29BWqVr92wVT38f9iM9Mx+M+32Yfxay1f49t+DAR12PAqjzfMzM83HPvNnrZqvzw/276Z7bnpsP49ufe1grt2+xe7jRRwzioXuytFC+4M0rPG5b6IN7EoMNKM76jpdeeY1p27EyldSATIK3Umgj9fKSkOETFWfrR4yjMjoL5865CDwkPlZbQ+cdu6stV6/fZ2U1q9MNXmuMMZjIIMdpzFYTKASGdIADc33aJJwngeBACwtMGvq+4/rsnDpYjk5OwJpohUgMfX+HicbT7+2N5FKY14pZ05qtgAloxCRkzseskbsdR6s1y/WGiViKJwtP4o5DAsUk95x5/CluNy9vSPelrswAVqS1/X4PXcv27JIKw8nxKcpUAkpDyNnLU63lEIguzlHAUNGanuapmDOVBZZCsCVlqdW4BHg8eUwB6HY7Li/O0Q7W6yMp4+XFuoySbKijd9H9nLi+qlyiQrAUgS65T+YpyGXYYtx1WmGVfAmkZrIuhEetDdPQ0253GK1Yn5xiqlpKnsTaza5oS+uZLlPnMotQM5hO7yh5YQgh09ceX4lARyGuki44sQommgO8hqHraa93GAWnp6dU1RKnxG3ZGsPkHeM4JZF89n5A4q3ECubj4jH3K2tR5vkOIYv2WcmRQJzET6qY9XsGdinTat4uJSsLyWIXD3uts3LWGCUWPe8JymODYb2xLJqGvuvYbbf07ZZptWLYHLFcLGl0FS2MkszKB3GTL5UEBaHO81x2jjjGUMxDnBMflU9p7yXa03q2+KetWO7bEMI+ryo8AtLrQw4OFjA8GYVZLTmua4a+ExfCcYJ6ktj+nLgwYCOo8JnmBHxNYebLFIA5jzGu200Kap0BUdgD3EpFT4zUao7ZDHsAx7sRH3RMVKWyVDIFLx5JekNTNYxdR3d9je873HJJVS1yJmwdGdu8dGreE4kfqDQOiSXMSpw4yhloJe+I+QxPmd9LJSaEufxXbkZAsBVNBkGJl4oPAVsbjmxNP7R0fcc0DphmIWtElfsuJcdKd/R9Pj4n4UqKHfH2yIlywwycQvB7XiUz5ZL5TVYixraTEi4pHCdd0WxO0ONA3+7w20t03RCaGm1qWeMi8duhd82eh1Lxs+QjEGIM/cwnZjXJLI2m5xNAN0qhlcleJspa7OaIehzpupb+/AwWC2hWBGOp4lylcz+zrMRfOZRv4y7NfDj9GfIelz2p43wTwVo85yNgM9pGNx5NtTlmM3W0u5a2e4n+6Jj1yQmbxRJbWaw2MI2MbmJqe3ztqU0lPHqSDNKOOYROIYYIVUrSSuEdKHEJk1AaqySD+SgAKosQWrNaLHHdxPO/9yXuPX2Xd779GZ5er1iEwlBQHlvcDLAPWeUjRO4874fXzYaph9uej5yZ1rTWjM5xeX3Bq6++xPm911Fu4nixwFZSSi4p05PwLqFcKYGl7DdjpfzgMAVMVbE+OgKtaYeBH/pWy1/+Y+sbMNAi/isvAyzjv/Jq4r/HfVbHf4+7zx68+/CZdG1u+Xy+QoD/+f+85m/82iWEVOebWMoOQM3hcFMgOAc2SLZwP9K3O8aY4fytXP/GLdY3AeebwG/6PD1zG+C+6dpjrAefP75/7AlJ6vDzJ+rAPiC57T2P7MeTAO4bBvoo8Pwk70uazPjpXju3WaffipU8Nv/EfTsEefnZNAe3tfW4rt2wsN4YHmyv+cqLL+OHiUZbsURrhVEGiOUjakmq4aNbUTqQZlfBGeyKtdFjjHzngyRq6PzA+dkF7f1LjhcNzXJB0BpjpfyO957RScSovokJlwArkOOl0uCTQJ8eSO7H19dXbM/OpXTT8RFez3FYRJCRJigfyD7tyJCnPOPe1Ke0U0Wel3sVuZwBGrZX1/h+4Hi1ploucDq6dLtDMXceYJ7bvbX1swJAlYB6XlvZy/s0M4aJ9nqLbzuOVis8iqAsecjIga61znF0bnJZqJ5BYpyNslN7SowQa9wmoS9ZvhLIJgJmx+7qmt3VNbWpYvIOacdEhY2LNaDT8EKuga3yNKV5B5Vd+HNWaGbhDw737DwAAcQa5WV8IQS67ZahbVktljQrie3zAVyYJFYpToAA6kQzcS72ePv+RhML+cPg+vCevUkPSBxz2F9b7x27dse4bVlUC5abDTp6H1SVBaUY3RRd6A/Ok7R/oiDsnMvzBorsXVsKX3HunQ+ypx8andyfs3aXPLW4M/VEHfKwrF0IGbDJqW/wIbpWB4NWDUtrMa5m7Ab6tuO6bemWS1ZHR4xMZOEq9iOB/mLRixVK1naK/++vTVaMpKzyJYhgr9mEquejKreRl3P/jEnvSeBWIdYBJNu9qSoqY7FTI0nduh439OhqgV40TEoE+5xCK07jzBaS9bJw685TPodxlOuT941CQmkyUCHv6+TpEUrkV7StIQJsJ1bz5MUSk0GlhHXGVCzGgXHocFfXDFWHjgCbdPak+PW4D1RaozTXke6Cmd2iKdYi0UNegOIcyXNQLMhsVSueKRCIKLsMCoeLCg3TLFlXMQt3u2PoW+xihannccx4bp9ucv6HTB/yjuTqn4F2vGOvSkBJO3GRUqLJEL+XsnjScJq7Ka6VqmsWtoK+o+9b/DjimwndLAipSGOxD0or+Xx+HvAxIcnoTaHmMWf+yEwroeDTQXj4BGjtBWBrQwjRQ6iqJXN219G1PcMwYhYrdLOIIRBzPfm9/RdCPruks3v2/z1G5gpFjC/GG9Ov5NCDcn4llEih1ZqlXmDHjuHikut2S396SrM54qhaUGuN8oZpGiVzOEO0DPoYBjG3mchNFfwje0hF3q1iScWqWaAqLyUonYvx4TFMw1Ysguf63gP+4HrH1due5l1Pv52NtZjgHhIH9zi3KkQpHr5uYIG3Xg8bo+a2099pXrORRAkPPLu+4LXXXuHi3uuEoWNV19jFJirQi9Mtui+nvCppH2kbw8mAqqppmgVBGUbv8OOIMYa//MeqG0D1/38upeC/+o83/I1fuyw8OYrDgiByuDGoKUBwjGOH61qGvgXnpGzeW7z+0MD6Jkt0qS0l7H8Xb77584Nrn3fNAlyY2cjed4faoPJ15V+lmLRPXPNb1PzRLMCT+FVsoZTn9/kYiVMUMvi+XDXz2Zs3cciSJcUr5+8PmP9t1552tXiu6Pmtz+W+3vKOh63Wt3Edtb+WBwskWF/dMhE3tfuw0JxdRkPxTHwsaUUDiklrXrx/j5e//AKNMjR1g1LxUIzWDmsttpb61UlQES14iNYgsYw4J6BSwJlDmWilDhIru5sGzu7fp7vecnJ0RFXXeCRTsY4lCabJiTtoPGyiA6p44SXBk+RCp/YJJsyCOUrchrwKXJ2f0Z5fcrI+YrFZ4x5SmBy4cibEqQpAkoAQRKtc6RrKfH8+FEVIuLx/jveOk6MTqqaWeMd4zs9CdWoo0gbJ1TMJq6XL9/66quSmLoOOQsXMbyY3cH15iXKBk9NTjNZc79qcSCyDhOiWO8W6hml8Ks1BOkRVflUh3M19yTGNQWWSE92xYtKB3o1cnZ0RtiPL5RpTWwIqYiipBzq6SYBVCXAi80epaF2fhdDDnbDn3bAngM6/y3Ox1EQIYA1+GthdXoLzHK2PqDLglzjz4P1sdddqXr/Mu8J+X/N7ZzEu0W+ivcxHCr40A1GZ+5xUEAgqME0j7dkFzjuON8c01TJm/RbX7ykmwdGpVJyaXd5LUksOtMlV/yGPm7iw4nYf11UJqNKonOsAVFaCzRZ4tTfWeRsV9Es61+P8qBh5kg+cGKYQY6dn8K2kfqxtaKaFlOi57ri8vkIZUN7jVazxHCAER8opPAOYmU/4Yj2KWc98dGYX++tVEp166Pe0nolG581zCMoTvXoZaXR/DFmw9Fph6lrKkk2SnXrqOqapJ9Q1qmnQSlxj56RO5ZzPsbZZiErfp3WIY03rky2rRbbE0ruinC+U7Pc0n+S5m/krSCIo0FTaEIxB3KoDql6wqBoYR4ahpb+6wlct1WKDrhsUKdZytviS6UYuQ3JWKEshKrLir6D95CWhmfnb3M94xoWi9UAqcX2w9nFvaiP3K4VdrjFVxTj09NfXDLbHLjdUdSMu1gU/EHqctZuyt6RtbUxaEZRSmS4yTRVrltrMycVUUt7NBFmulZ9JQz7XCrVYsqxq/DjQdTvaoZdY4KpBR8WAL3J8ZHk2/V7srUQDgeQFFA7yRex7ghRkOF/ei+dNrFoga+YlvnmxYFVV2GGg317RDS31akNV1fN6xV6VMoOsaf5mX4YW0UEoVasYz+tBmRw6kA6cEM8foRsB4yqGTxFru69sxTT09K+/wdXVFeGpt7FebrDa4ifJCJ0VpoGZFpXKa5vmJQBumkS2MiZb57XRuGGgnyYWxkrlBOfpuy7nNRHXcUWtK9ww8vpLL3Nxfs673/Menjk6Ehuon+P1QyyzSSj51ixmZf+6fRb2Jq957ffl/SzUgDVctltefunLnL/xOmGn6Zh8AAAgAElEQVQcaKylWq1lDiIlpbUGondM4mEmls6CcfLYZkGzXIBSDKPDh1jiarmI8/5Wx/LvzyXnqkapuRRjSr4jHqkm5+CYup5huiIMA1W1wK6OsPVtFvPHX//mLNY3cov5eijuh9tX9jYL9/yq+VC8CfA92SaYhbkSTqvya/W4YUVxJXBzb5NMtS+TzHKouuW5/L3Kz5SHQ76l1KgW83CT5fk2y/Strw8zMzj87EmufSvVEz8WX5QaedLbw8OLFAUfp5JIrZm04uUH9/lXv/NFjnVNsyncThJPrix1I+UEcqiBkiRcdczqnQ70EEJ0bZowlWWcRknUYg3boefBvTcYti2nx8cYK3Fota0xVucEWcYYPJIde0565POBNYOTEnjKHIUYnwUKpyHguLz/gP7yirvHpzTLJQPFIZHpRGU3YaXKtdoHGfO+EGs2BQAnRMEuChHTNLG9f0GtFMd3nsJZMycIi036EGJscxRMwvz+JCih5lih3I8ssIulXRVzkMoxYWAcR3Znl9RGsz7eoKzBjRPieiiT4ELiG5LZPblOl7SWyFwsrvN4S2JRqJz1NSBuyt4XFiYNfT9w/+w+avScHh1JXWnIIGzyTgCsorCEkcco1ijJJrvnBpmxTvo8Dq5UdJXsNrlAowCDNjAMW3YXl1Tasj45ldh7BURlT2ojEL0kCLMAy+winOYpNR9isrCS3hJtJXfOrOSL7SYX5rQIaT4J0Lc7tufnLE3DyZ07UQBXmMqirWYYBiYf5zCLZ0hpkRTaEZIQF/dUEsLTvz0+MwvLyVorEzH3cAZU8xpkF+i0YdO8KKF7k7wfovB/yLNkL4TcpxQTrq2NCg6frf9VVdPUNV3fcn19weRGuvaSyiqCrsRlcy/DcXy3T+u3L+h5HzBzt/P6zXGw+6Jg8MUezOscf097N5FzIayWVwJEswVHRaFbXHjFiqfQdUVdWaxr6LuWcdsx9SN6vURXldiulSKQFFyyoKV1OvMYhBhKhULI65L2Vyl7qH3+qKJrcVzXEOakZplsigVNbU4hYJVBKSMSl3M5g/6islRjT9u1dP0ZZrFAr1YYU2Mxsi4kbyNy9nJJSpi8VhJ/igrKYjyzfFDsx0yBam/s5Th9scZ7LsZI5lwJfwpM3qNsQ6UrmmZF3+7oLs4Iy4bleo1XknU6zUnaHoc8KinoxMV1pjalVEw2mAOxbpV7UMX6xY/Trr3JjTxYgzVLlpUVl+ura2w1Uq/X+JTMMfMAFRU2MewmhpOEnKjRo4LOfCOtgVFq9ubaG2v6W+Y7jWeaXFTYqsyr4iKzMJa6rui6Hd2De6jVmrBa40yFCbHMUEG7896a6TPE/4jeaUpLGr3ZMh9ipnIrypUUOpVj4VWWlVAR+EZZqTGaejS02y3X7Zdpn7qDrZdYb6h8kFC7mKNGK5VzrMxJ70B5co6a9WZD27akiijpzK2bGj9JwilrLMvVinEYmaZR6jenmt9aykwN1zu++Nv/N2fvegfvfc+7ObIV1nnJe6IU1pW8UkWeXZy1xfLNSjae+ErTv4eBEi2aij44XnjxeV7+8pfQ/cCmrrHNAmJJqOBm6V+hpDwZSClOEMtqBNBKa45OTtFVRdv3jNOEtZblYonRJpY5G4DVkw/g3+MreWI6LXJAygMUQMLugsP1LePY09QNq80JdSN1wCXx71u7/tDA+tDlTvhEZNthZn6Ps04fXo8F10WbhwSbugIzqN2rbXfQ7/n3IIBsPoMf7lfx+ROPqgAXZf8euTn3QHUo+qLyjxsPF+aD50kA9Ju5nhRkv/n3Fkyt+JG/e8yjty1CrtUYFIOCV+7f49VXX2dpJFslZk6sAiqWGmiE8hRSO8+IFclUUqLAapMzdFZVxTgMWFsxTlLPD2Noh4E3XnsDv2u5e3qKrqRAXlVVmAjE3SSZQUMErYWCPZfhSL7Es8U6FAfALERK/Ejg4v59ustrnr77FKauGOKBnGTrFA8dQoiJ10IWAEvMnjRTKgpYoRBqUn98iHQZ6whfP7hgXTWcnp4yKp/Hld6X4pVToi/vg2SyznJDAjKzsKfi4QvJ+jNbG4NPwCDgLIxDx/WDc9bVgs3JMZNObm4S95iF7SjAhWSRTeOdJT5JgpaEwLgKIWr/TRK4VOqny/hMIx4Dk1YMXcv5vftYpdkcHWO0iXH4Iio7LzGhM4nPvEzlerZqpk3mPedD2vtigU6JzVKd09Q/7x2pnJiMRhKbdLsLthcPWK+OWK1P8EaJwqGw3gcUUjJzLvuWXdEK90CZvnhYpX5lepsF2jJGUp4VECWlvnRMzjRn03bB0V1u2V2ds1mtOFqf4I0lIOU3iMlTckKf5FKdktsEyUY8eYdSWuZdI/s3zAJmsgzNPEtlEJ7GRcItkZYzwEhmvWLMPggITwqA7JZKbv6huZlFr1jrNnkvaBVj2xXK2lh6yUkc5qJhZSWW8cHFA6btVsr8rY6olxuctmilsZGmPV6s/IXCJClbcubw/Q7mEIfstlrSgZ8BQUpQpmSh808BnnPLJS0kYJ2E9rT90v0ecQ9PpZCCsdTrI5pmYmhbuvMLTFNTrzaRGcyurEloz+tCOrPnPouwvO8xUf5dxi5nr5n0e1y/knbK2VORJ6e9453DxfhdHROc+RBiuT8wOtWN7hi7jrY/w65W6GYFtkKnkk+pRq2aKUZAQAmM537soYBCiSLuwyp/lqWfNN6DIzcpxryKvCnuh1wZwkfoEwzL9RFNVdHurmn7jmpzhGlWBUJJ7c/8LiVl1KrwncjKzLC3P0VJOruSC5/b/35P8arY41Npf6IULiBJD6uahbEsmiX99ord2QOqzRrbLGRcSqP9fluJJxRcQzisTqmy5H4XwXUGpen+QnYLIe3F1HcpaRi0QVuD0gLcJwBTs1xbllXH9uqStuuxx6f4usGgMUESM0mpLHLMd5axQvKACngvIDrVzE5EbCJ/917i70tZdT5f0pkYrdcG3BTQVcPmqGLR79i+8jrDooETyW9ijaXWtVQsieesRCQJr/MBwiSlk+qmQfihxBQH72LNYSGg5XrFFDx9Jwmm6sUCPYrspZRGOSfKWQ1VsKja8NpLr3B2ccEf+er38o7jU1YuYFyQfAmqlBfL/VMqcebt9KhrT28iLWSlhSJ66mjDpAKvP3iF3/+D36M7O+POcsNyvZFs7irKPD7EXAWyblqbbNQxxmCrimGc8ATWxyfUiwX9OLLbbtHGsl6tsdbgnGe33eKcw1b/9nNW/3/lUkplT1RhKZ5pHBi6jn57zbi7JviJxfqY1foEYxuxGCkVE4G+tesPN8OZuxc/81cRGCah9THEeNOzt32WQHv53UNA/BCjFdj5pjFk97z0cSgFgrKhh7Hc4UYqv9tnvnuv3B/lbf0re1XeEzHIbWD3YY31zffdBoJvsoA/qRX7YVfvh+95yA3zxuvQ1Xz+fN8Pn4NJD/lrHRQt8PK9+5y9cZ+lqXDaiKZVVNDRTVihtGHXthJfbXXM/u2xVSU1ZysrQoSXeOyu66iMnetvasXVbsfFG/egG3nqzl20FStlVVegYJpGEaasbL1pcmTkG4QJ36TQSYw+Z6yF6G4Mkx+5euM+067nqaffhqosYxJYkxCtknCp9gUEyAdlXqtC4x4IMldO4usEvHiCEbfAse/YXV6zWa7YbDZ0OCmnEkKRfCrxAp1WL69rAmMp0bVSyY0zWU3kmZQUKh1OSkvbk3J0ux399TWb1Zr15ijXJFRa6nXOQq8Sa1vKLjojJpJIDPFgDYd7QOfSDXtkGFQuf+K0YgyOq+sr2otrVlXDYrEUwBU9HQiiKc2qiqgoSP0QgX7mESF4lJ8z5mqtJVGam+P9EtjThTUr8wwd3UAVeNdzfXWN33Xc2dylWkmYgA+iZHCTgHBjreQVQATDMtFQ4lyHAmwWvAKxVMoMQMo+htzODNKSDB2iVOPcxPn5GaodeOrolGotAq5WYOoa75F6lmncWQhXcX5mpYw2NgNliIJ06miAoPazeGdWGz+TWtpJ4hLqc8Gj49EpIDO5t0ZPCJL3SQLpBZMq5imvX6SDWWiPwnYS/NN3SqwVWhFLqFQwjmhbs1ivcc4zbrf0bUdYLqiXK9BSc9hiwEv872wxUxmcJc+HeV2F3pLVeo8lBaKyaraY7lsOY/sFHy5BhNxyqHSfLbwuJqsivl/HfANOga4qGlNRT0vadkt3cS5lWfDo0MRl9bNlMSkN0hkf9s/TpADUZgZrM73O5atKehah12elwkMKg6SUi9pAg4pKJNnPspZR2RNUVKIGbLOiqRpM3zLuWvq+Q68WLKqN7O2kPAgq5t/zMSY3d1rWIZbRUyEpNDNRF/tRxXVM7y+B+U3K+kLOUiavn1aaoCMwcg6CwjRLNrEuc3t5jWp67EISnGll8l5NxJRor3QHpqC7rAhJ65NktgN5JPXHF/STgWCm9aS6nAGjDxKPqivL4vgU23WSd2Lo0Ysl2taxveRmXyp6yV4LsyfWrIAzpaWXmfZKZcE81TNyS4pRP3qM0TEUR8LPQjCYZs2mWtC3W9rLc6amoVms0LYCpSOgVojH02ycyUn64rGslELnPBg+803KhHEqqjtiCECa63R55wT0mQpwTEqhlhuObMPQbhnu3WPcbAibI3zQscTaHBsPcj5ObkIrzfHJMQSYxgnlQyxTJnXjlQ/0XSehe9ZSLxb4yeEnj7EVS2OY+kGkBO/AC7CyBI4XK6Ztz/Nf/NecP/M23vuOd3JiG6p4gJXLsFfxJ4PqR8usBdvbu/L6KwnDmULg8uqcl174Mhf3X6dGEnEqbYuXR4qNMqqJCp5UdUTXFd4H+tFTL5csliucD1ztdmgl2bcrG+9pe4YYW71arzDZtfzNXm9n/LYfZLS/TfNrn+WttvLv8pLcSaCcw00jfd/R7a6ZuhaDYrFcM44VQVc4XUneFi+J4d6sMbi8Hg+sD0/VRwDA268P8tqnP8zvp6Ryr/0W3/bJf3DzPTzPH/+hz3Fj2PjHv4d/+qGn57/b8t6P8PxPf4CX9x7oeP8v/gTPPFd89OzH+J2Pvo+zm9pvn+dbfvD3Ofv0h2l/81O897O3DCfKR/pNzMHjlqjwBI2/FCJoYsAP3fNww4+2Fn+EL//0N8Ovf4o/8tnHd/4ma/hN77npgAPg2b/Cz/ynD/i+T/69/c9zGzLM7/j+H+PP8Y/4xE/+E77j+3+MP3X/R/jhvbn/C3zqZ76Vdz2uw6/+c/7LT/49MtEqRRvgK2+8wcX9c5ZIHWqtFIbI2JWSbJgqZVpUTJPU+kNNVJVFedEOEg8EjJTo8T4whAltNUErrq+vubj3gDpo7ty9G+NANZW1oAKTmyKflAPKF6W9BHRElz0KIfRwfRPAVOC1Zhh2nD14A+sUd59+W0wsIuNImRB9AhNK2LWLZTSSJUbtrc08d3sW3ghECMT6fkpi6tqW9WrNYrWSciMolE9Ce9gDoqncQaaVND6FaK2z4DfTUzrQ5PMUjTm78rTX19D3PLU5oVouo5Z3zvzoSYCtILo0ygSYZklt3lxRSMq9SVrMKJQYkwRLBbEM2zROXF2e0e86NoslTdXE9Rbh3geY/FQATCKoSWMs+oJYFWY1OplGEiA66GEW5ihnKbbtupa2vUKhObnzNMrWTCrgwhQt1R4XoDYmd048GwzJ6p3XrbhKC04cRVYC7HnOqFh7NMxTnjlcIGZZ9pI5/fISNJyenFLXDU4rjDbUWjPsZf2ehdVy3CqCAKM1IXorpHe4AEarOalaEuxVMYg8s/Psyr9EA/tAcv5dvDLEXbhYjxDQ0X2vIEGS9X8PUMPNrta5V2CNobLCQ0xlQWmCaagbi3WjlCnZSWkn1zTYZiUxryrGsaZydpH4BCzqWdhmBv5JIEznUZnhG7UPiPNn5fd7fCWOJ7mhsn9epPXI8x5BpCyfFxCKImjQdc3KGtw40O2umPoOFQxmpQjGRIvdTB8q8aII0LLQFGZelH9SWK19Qd8q7gkt+z33PeOheR4Uaf5mt+o0A95NBK0IyohFMO6x0QdGpdGrFYu6Zuw7hl1HbyapZ1w1haImFOByVs6pOI8+gjsVPxSFbcg0luf7oTP+5jM/KT8FePmYzGxWiKIUWls0MazJWPRqzVHdSJb37ZZxGGiaJZWtRAFV0k2M403ZztMslueECkUYQyLUgz5KU6WnhcyVLxKP5QUKidY9QSkcIguY5ZpV3dD3W4Z2h7I9rmowVY1Swk9mP56Cj8UEpFNU2iYF1p5cdIM4ldcht6XmdQhB4pPjPtTx5xRAaahXG+w0MHQt/uqCqWlgtZb42yJvR0pyJuFYUS7wDzHjPbrNf6djJIdvFOcz4qWVwti0BpzkSqCuqazB9h1d29FNDrNcoZoGqy11nMKUPBQFzbIR7xylqK2h3Tn8lPIDaIxWaCUlKcPksHWFNRXGKsLkUG7CNA3eC5DyzkXFgtB/VTcE77j/8utsL6955zuf4ZnTE5amwvho7Y+DPjSuqQOLxx57e8zltcYFz9X1Ja+9+jIP7r2OGgeO6wUm5vNRkR+LSjbkNU/zrBDZ0SMeb9rWrBcrglK0vSia66qRM8FLPWg/SZWa5XJJ8rAZ2paHM3w/wfX138vwrlPwf4b+A7/C6jdff5PP/wjbr3md9S//LOO3/xwDv8T6H//9W2/v/+zP4b/03Sz/1XfS/mfPon/pBx7KI/7Yy3vGaWLsdwy7LW6Qkm6plJhRFbvtjpGkuCQqK1WR4PTNX09msU7M4HFEtM+f4/VBXvtbH+bBC7/Kt/3U5+Wjj38Pz38c3vfzxf0ffj8P6LizfAcPnmUfDANXP/rDfOGZe3zTf/0pjlLbz36M3/n0x/jaH/pcHsi7fv1T++0eXs99jm94LvLbj38Pv/6Ba/74D30Om4/6D87DuYEJ7g2tmJdbbn3E8/uTWvDA+O6Sad98zQLQ/jP5evZjfPHPv4O7v/gTvP25g/YLwaLsTnnQHrb3JCB777NbDpH5PcCzf4U/93WX/Mb3/RoAv/KFl/hzf/6v8t2f/Vv8XH7q7/LDn/i7AHz3j/4Yb/vff5T/IdLHd3z/J/lT93+UH/7swQRqQztNfOnVV9hdblkrG5NtJEEeiWFJ/ym9d6hJfGagH0a0VtgYD1QZS0CA9jiOgAh7F5eXXJ2dcWQa1qsjJi1WEGslBmmaRJs/a4z3VzYgQqvICzJ3szWHwkCvstvSrt1ydXaflbZsTu/EchnClnOGz4P598Taz4VwuW+9lrcksJc6l3uipG737nqL7wdOTo+xTYNX2UCT5zekgcXnsnUyfjHTSMgCfbmG++5y+5tsnAa2V1u0Dxyf3sVYg/PF00FhjcErFw8sYZwZMCse2sfJyi2/zxOSykuFJOQXGn+vFU55ttsdV2fnqGniZLnJngpyGoJzEo9YXqXlrATIeewkEFD0J8y0UeotSjdHVcy5D4Gp3eF2LYt6wWJ9JId8FICDdzJvYc6UTiArSZJgqNI70zyRBKxCsFezFSgkoJLBoqxfUngkgUo+FKGlb3cwjKzrhmazRmuLN5LlVIXAME24Mho70UWYreoKxLoTBX+ygmrmaTPIORCUEinG5GVaq0LmjOsTmMsTFeAmKVlC7Bdhfy1n+mLv8xv5gMpvy+EehBDBGDNvUDHJWfzMa41XNdZWVG7CDT192zJ0PdNigV0sqGwT20/ZqZL1VRPw2fqW6G4Gm/Mc6jSnIfEQcefP1u1CEMzHUwaAs5dBAoXEZHNaSUhC5ls5dCV6Y3jpV5qDoDWqWdAoseB7N+F316jKYuoGZavCyibvCtEaFIq9FFvN9FKCoYNtGfdUGcJRrl2YySQL5wdKGNJySrhDjFiWWFwj9Yy996iqxpqKahqYhp5huyPYPiasEprf46+JTzCHFelMbIne1fx3wUuTVXIPJSRFZ6YFRcqqMPPNuJ55oUVB46MAT1AEq2mMpZ5GhrFn3F7hbIVdLmOd4rQv5eTy3omVN5aQS/txVgIrknJkntPUr5DnNo+LWaaZRSVVvHdWWsnjAYdCVTWV0VTTwNj3jLsdoZrQyyVBS4iFiQsQUv3KTDIiK+jDdS+uhxVnefXyLsn0CAL+41wopdFGvGcmr1H1gsbWhBhKMIyjZJqvFySCnHdefHdMeid8pKzbvkcme+uT5nb2VApJtyZhUEFJCbzU7RAIxqKWa5b1grHv6C+vGJsd1WqDqhYoFKMbaeqaVbMkxGRkyko8OSn8SCvwcQ2NZrlaMo4TfnJMkwdrqayVBGeTQ8V8EpOSMqZpvJ6AsYaV1rhdzwvPf5nz02Pe9swzPL0+ZoWWkKRCobMv3xdyUzlXicUwPybTp/E6cHl9yWuvvsrZG6+jxp5lZbHrTVaUyHk6r4nMoXhDaTXLpx6FresYsqgZk1t4HH8IgWHo8c5htaWqa5FV3cQ4SphXZd+Ko/I30n/N16O+8jdZ7L6L9v3fzfibf/NmA+hjr+9kunOO/aVDUP297L7rWfakpA/8AtcfkF/dd/0CY/p8/G2aX/qxx76/u75iaDvGcYcOUNcNTbPAVDVooZWgNN6P5Kz/UUb4d+cKrm74/XHvfvb9PFje4z0JVAP8/N/mfQe3jd/4Dnjh/+A9Jx/mC//JR3jmucKi/fHv4QvP3OMbv+9nOSoHG0HyIztyAzIVgWX/s1LIPbweYoqHzc4y16N6kr8Pt91UfnZLvx93e8n4ZmE8uc7/A973iUNPgf02HmXxLkHOTfeFb/9efuajX/tQWoTP/PS3zn+0v8cv/NDP8g+VAv40f+0jX8v5r/9VPpPe/dzP8r9+0yf5i3/9L/CZaOm+uadyZb4m8pkshdFcjSNfefEl2l3Lykot6lTjUkB1jLuNAEFKQAhDE8E5ISdpf/SjaKMnh41xtkEFHFKj+vLsjKN6wWq1wgeHNRZbVVFz6jJoFlfy2H+lckyhItFkAgPRel1YjROS8gp211uuz89YNQ3r9QaP2nPbnAUJNQOMQuhKYHmOnJznNAHf/HsI8WD3BDfR7lpAc+epuxhbibt1vie2VlitREBPAGSfagXQyXcJzM0W+3hwF0jRaxj6jt35JU3dsDw+AqsZY5ylxNxKO2JtjUCvHE95Uh5amWBmqPGAKyGBVgmUB0J0Oz6/uuDq7IKFtixWa4mRCuJ+HZRinFykP7WXAZlIe5I+BlJs7Z71omD0WYDJey8KTVrF+uMuZ1tNrubbqwvUMHK8OsIsFtEyE8u5FJoIiQkWt0Zf0ET6f/BBPDNuUMKo/P8IPAvB3acFJoG0JH0k93VwbqTbXrOuKtZHpyyXG5yOZX2MIXjPMDmMUpKAJNmLEg3HdiWzv5H50oU1DWK25xCFF7PPv9L2SuuSLLregwuoSoL1NGJNMxHYCFCLMpWgv8ItfOalCul3WZ8cyNbQkl+HQHSlTyBsVgwEHyQEg/k+rURxp3RKdOZi2b+KellRVQ1uGOh2O9r2mn6xZrXcoKsKUBhiTerM2+c9kJU67PN72QuzMJ5ApC94cBJMS4A+W1HJkmeUv6PQLrOc45YLHhKCvLMUbHOPrEU1DXVVo7H0w5bhukdVDVUEcIGAUUZCQNJ85y0UINZd1ip9MwOR0g28BHGHihGx4PqsvElhGblkUeK2SqNSZuIYg+/yPhdlSQjgEKtUbWqq4Om7a8btJc6NUuu4rmIt233olGsDKyB5T1AoM2bmkjdIXsuQgGFcEJVOyXgUBpXbywqIxF9V+qlEXaBk3wWvwSoqY9HTwNC3tBfnqEVDtVhRKamUILXNoyI0W51hPv/mWZyBoCJZ4sqrXJvkHq6UKsqpzRbt+SgIuf9EWjVVQxNLpPVdR3dxTlguoV4IwI17U8f9glYoR9Tfz4A5x11zAE7zqMqfcneud6/S2R7fEeONBYDJ2LyS7OFNXeO7nvbykrGWUm6mrrGxlnNyL87nfqSDoKIFO/E07zDK5LMw7YhE6dmFm+SVkac1zqEmJbn0UZllV2usc5Io7uyc3bJBLZfYumZ9dESjLG5y+GliHEdGJ3vEJBkthn/t+pbF8oiqqlBW4SbHNE6SDLYymLpCBYMfxly6bhxH3DRlHoICWxlMCGzvX3B1tePymbfzvrc/wzpWaSkF7H3ZO8QzJ+2gUNwjvB4tnjPbvuOVV17g/quv4PuOhbVU6yghq1QmK8qfKdyMLHZS1zXOOSYfqBYL6uiVN04eHyZsLeUJAYaYwE0ZLeBRa/zk2HUtBDCVlHh98uvtuK/6D3Hv+Drc8TfiVn9A/cu/jabCvO8HGb7jR3BnL6Ff+5fY5/8lt9l3x2//Ocbtd7O6iB9867O46t37QBlQr3+W9S98V/77IYv1izCt/xX6ztejnwBUA7QXZygfqJdLqqqmqutYLz0mGlRBKvC4EL1lhAfnM+wtXk82y/N+eovX09z/OBzdZklWH+Glr4O7v/R5jt75zfChd3MFHAHwQV77wNPc+d1f5fgtdOAGfPqE1777+r4lXFyqk9v5nd/9Vb7hpz6PCh/ktR//MO1v/hZ86Jt5mXt84yf+Nsd8hOd/Zv/+P/pTnyfwJ3j908/S/uavsvzAh/lSfNfp7/4q3/CTn8+jHb7/B/iNr0sZrKXNI2D8/h/gX3zVq3xLtth/kDd+XLwD/uj9b+bz0W3+/KP/PV/6yPN8yw9e8PLPiCt4dnN/9mN8MbvG3+M/+ERUXnz8e/hnye3+td/iT3zyH8yC4m0E99z/xPf94wJ4P/u9/PSffMD3/dhNAPlP899++jt57wv/G584cEv/hz/5I7zrr3+az3z6Lr/wQz/LL9++SHl9dRTUg9JcjgPPP/8CQz+wrBtMFMp0kTgrS3YyIDJ7DAHnxEqZk6TEtp2XMltDjG/VVnF5ecn24pLT9RHL5YoQvGQWr+uc+TvNV4q/Ky0BSbBT8d05a23sWtJ66wBBK0YLlxcXtPcuuHtyTL1oJLCQ7A8AACAASURBVHYvgdIIHJPgvWc6VuUWLgTH0tpGjLvLfSICZ8fkerrLa9brY7GQq2T5FFFrpovZ1TRZQw6tByQAFwFJthRpIOwn4kq91VqLq/D9B5wcHbHZHOFVAgax70iCKhVdr0bvcmmmJDipJCJEwTOtbxax/CzQJM+FoGIhpGgtmOI6nT+4z9X5OevVirpuBDwH8WgIQeLEUsZqIbUocMeY62T5ncWulMQnkWXIiZcCae9FrwMnnhXOTxhtMBix6KpAcBOXZ2cYpTg+OZUEe3GM3nmcc3nEqZxHcrcjuLlPmVbFmiQWk5gBPUvvERQUQOrQvTnR/Sx9BazRjF3L9cU5KsDi9C5VDCkIccRumhK5ZrqdPR0SGIigOsZTh1CUsSovVaDaLFgKTWits8uFUqpYm5xXmKzgKB5P8alaz9mBUx+F1/i47x72HpH41pD3RJrKEEqwHXL7wj8SiI/0VMQim5QETgeMk4z3uqqpTEVVN3RdS7e94nq3w6zWVKuVVCnAxASKnuSerhJK3putxDNCXtcMspiVMrOnTNiLoyytwDNOmpUZM8/TBe6TvWJ0yrWgc1sJOEoZNE1QGlM3rBpRJoztlvH8HBYL7HIlSjcEtIriIGXfjwncCsVgBmZpLeJAs+U0g1eVY3oz0ENlpUkZg53pwO8Dwj3vD+VzHLwxmqBhnBxaWar1EXro6c/PGS8u0MHjFktUJbHLNsRzIv0XxG02TvN+2alifdJUpw2jVNp9xZmStSFkAJ7aVWqmz+QNUlp7giHmctAEU7Osa/zQs2t3tF2P32xY1IucqyJ1MIHVNH/Ouz2lRZpbUXg+HCPPHs3Gc64IZfB+Vnqk4auo2MntExUh9YJ11VB3LbvdjmkYUKs11taS8T/t4UKREYKEnaT5mpOzHcI08nxn74EEWIPEe6bxpa+dFwWE1uIVFwJMbsJpTbNcclxVXO8uaR9coTcbFqsTKdEWqwUk1/iAeEsoYj6W4ixKruI5/Iy0HjMl5ZwvuduzsSIpBLSWOPxET+v1EYthYLe7ou93cOftXE8TwSpqa6mtwY4qg+VSSacxjIOj7VqMrajrBrOoqX2FG0eGfgTjqJqaetEQxgk3ThJ+oBVuHEUJHbe01prKavzoePXLL3B+do+v/uqv5pnNCXb0wtGi9UNKGYoiN5fDTftCJWWKKDhHFXjxlRd56fk/ILRbVk1NtVxI3h6iPFDwFxVrKkucuaKKsfK7rqOqGzanxwSt6ccR7z11VUu5OALjOEg8upLYamMNk3O0XUdwnqq22JQ5fBiip+WGx13Dh3+C4c4WffEi+vw5mi/84whm/yX1P/8fmd7zQfzJ1zP9R3+G4ev/Pqtf+eyt4Hq+3k77nnfD5XNsfvlngRJAJxD+efjqaLkuLdZfDfBuHOD+7PfSxOcfddW2YrnaQFVFj8k58apSGmO0KF/87ImU+fWBh+Gbuf7tp4d77nN87Tf9AP/iQz9M+5QA0Hwlie3j7+bl9lX++HMAv8X7P/Bh7v+lBMSfpl123P3CwXPpOpBWXv7QD/Pyh+If7fN8yw/eEq+910QpcKV2/iTv/8VP8W3PRTf0D3yMd//856j4CM//9DfT/u4/4tt+6p8jsd0f5vmP/zPe99n07Lv5pk98ivfF7l3+6Lt56vs+xfsI8PHv5Z9+6E/y+rOf5+3PiRD6SnzXh54Dvv1jfPGjH+bLf+nzvO+zCVRf842f+IkMpn/jxz/Gt/zg5+Yeh8PeB/j5v82HXvoYX/zoO7j7v0RXcD6yP4V/SWLW3/Xrn+KP/jwEPsLr3/9Bjr7wtXzxQxu+5hc/Jc99/GO8/iyxjduuP81f+/Hv5BtuCN3Ys1gDu9/9+/zGSQTVP/lPgP04a4DPfPKv8sp/80m+60f/c8LFN/EXv65o+KOf5u98tGzxb/GZDwG0fOHv/nf8F595makTUK2i+6BSJmZVlCeSgJaYdlk+CBVBdBK4VbQoRnoNQVxlry6uuL5/xlN379IsGnwI2KrC2grnJiY3yUZWWoBMsgAkug8xmYgKjON8oM0K+miBiH0adeDegwf0Zxe88/RpbFPjYmmu/QM7uu7uAciEKwohLjP1CN6RRFZAlMKi8BrkQGovL1k1K46OTwgxO3oC61ISij2gkrFUAkGwJ+hpkcjyYT5bhEKuGaw8sT437C6v2J1d8rY7d1lslriQgI1YmrTS2OjePzmx3OF9tOaSs3ESLSHpncnbobQuqTinUt5GBC2lNQ5Jfjb4ibPX32C42nG6OcJWdVYGaK3xLsj7o8CZ3O/TNSfDCUXyrRkMhhAtbMpngTMByhDSmSzraGIiKRdL8ox9z+7igrqqOTo5ASUxbw7w45AVS0rPrt/JvTlZbEr3+1xCKcHdMI8hgFhps8vgPiAMwaeJjm7NMCnpZ3t5yXC95Wi9EqtiTFCltMreIykLbHaL1Pux2iESWLJU5757R0DlvbbnyeP369MmBUp2XY/WxMBc73S26OUdmYX+BKCTy166ssdF3IOJ1kLcixl0l/7hgeiBMHus5HXIezlZreO5FRWGiX8YLe64BENwDqUCwVRUa4ulYWhbhusr+q7FrVZUyyUmZhFPSq00F1kRmAGYmt/L/CPtGV048onqxedxpNszr4oMVYUUgpGsvCEnK0RFRVNWTqZlnl1XVVwRhfCK4BWmXrCqGsahpd1dSwz2co1uGialZ0ARrXjJSpsskD66jlK8KwHjLLfkpZ3pJ8VeE8e8Z+G+4ffsoZM2tmw4cVOMSllJJhgkK3jVUK2WqGHEbVvGrkOtllSLJegKmyyZkWCSR0F2Sw4zmE40VHqSyK/x/EilKuNaaE22nObzk4JGi31CFFyTbGWMlezG3jMEh1kuWVU1vm0ZL6+Y6h7tPJN3GB1yzePUJx+z/af9nPhWen+a11LBkZUgKXwm026xjrG9vL8TkFeqqMaiGENg0lCtlhw1Nbt2x3B5iVosIO4fheRaiTUxUMrkkn9ExVsC7YceGbOyIHrUxXuSR0LpCUExPudclBE0la7kM+/w1rLcHGNbzfbqkmG3pTk+wVULKl1hvMolzHwgloL04tnjVZR5VMzavT/PaXfPPDVa/eIazMpV8tmU5tsnb6665tjcod9ds339Va67HcPxHepmydJaVrZmoStc2DH62YtBAKilbhYM/cDWtVR1RVVVVE2DtRVt39HtWurKsqgbAbrDgJ7EA8qNKfbaI7pKhbKWpdFMVx3/L3fvHntrdtb3fdZa73Xv3+X8zoxnYJwUG6gJEg5QlYBJG5pxK2ghUstFjlyjCioZqZbqikuUTGr/YZT8AakVU5wKS4FKdpAQSv+oRANSbQIpl8E0NeCUQHFt45nxzJk553fbe7/3tfrHs257n9+Zc2acoDSvJc/57f3u912XZz3P832u/+LT/zcvv/Ep3vTkl3OkC4yzsZ6S0llUj3aJKXvAPWvF+eU9Pv8nf8zm/C5HTU1zfEToiuK83JVK32Kg0Ea417Qsoj9qzTxZFjdzcvYYuqwEEI8TRVnQ1A2lKRjHkWEaUAigDmey63uWWfpW16sVWiuGaWIYB4yWMPpHudQ8wvwc5W/9OOVm/zt953eo7vwOHH07/X/0/diFRwDVAGe47nl0+wQTUPJd2PYC/UfpDvvmp2H6NOX5GfaFH6Z46oPML/ww7ekH2a4/QcV3M20fDqoBVrdu+24K/vx73meKQlrdTtJxovfy0+IovLMmT+V4rddrz7F+1Hdlvyl/6oN867vezW9+y9v5zQ+/nad+23t/PYFev/lxzr7wewKA3bPc/sJf5pNf/07e+NGbQfH03/4wn8w8uG99z0e8dzvzLAc5ojJG+sCh3v/d2R//Bk/+qjzn+P/4HGffc0QP8N6v4YXuc3zTh37HM+Vf4rGXvp7nHvuW+M6zP/4UxyoJ0JMf/0halI89z1Nv+5r73hVB6yd+njf+B8/w6Td/J28CXnhLw1O/9UFO/Nfl77/I2VtkLA0Pug6UHnX/tjn8uv/xx/mKjwb+8Es88SHg6a8GGrpQLexjP88TD3xXuH6Nn/jRX8v+Fo/019Lxwhc+zt/+0K/dd38M/+b7+CtvueZ33/PryasB/PKH3s8vA/CL/LLnZpJj/T5+4lflvu947wf4D+++n7/5jzSXXcdzz38R2080ZU0KWRRPTmEMVV1GBqSVDviR4JkOSon2h2tZlqBZR8FmWdhcXDNstjz5+BswVSnVk414Sqdp8sqpKKqLXaKSHcFjoE9vPVUEL4bO2qf4Pr9asSwLF6+cM202fPntN2DKwrdw0bHaLH4uvly894bodG4DwPBE4TKQK1+Lshs8ZkGMTl3P5nJDU61oVsdYLYVnBJBmwMcPICiJeVuXCGY9pg+XIo3tkL84kPAvu7C7vGbqR97whscp2po5BNcZOb+FUpKbpxWzV9DwoEl7JVMUtCUVt9FxUeIZiUquSooazhC85xbHttvxyr276GHi7PgEVRQsPk9VKe8Rjl4dmWwEKxmNhVmmgGsV912quaaiYeEurCgxSwRbyYNgnWXa7Zj7jpP1EUW7xmrxxM2+2F7YNxMrOcscQzi5DuHMYT1cJKp4P+SK6P6eByNCmKIKmNtKRTmnYR4nhs0WM1lu37pN1dT0Qy+QRGu0KSRsT/kzk9HLXiirP4+xL6oL6xzoNwDPAKA9v/FeeXmeTb3K/fODrqRw0Uu8hJ7nyiu53supYzhf1ms042HOhrZLySARvK0JeOSBvMR28eEc7oXC5v/1+6Yd0RigPK1LvrznY8Goh0O5hrotKeuJod8xXV+z7HaU6zVF1aC0eP2tX5fYt9mFY5ydj1zPDlTqcu+hQyuD8sWhcoNWNJyEB7mklMsaJ94U1jdU+E6RU+nN8m//HOWNcShMs+K4rBj7jr7f4cYe5XPsrC/UVwR+4GQn9viZH1dOezd5HQNIi+tFToPEPbzPqxqAX7gngHtPh9YK2DG+R7JSillJVeCjdsXQjwzdwDTO2LrCNg1KlcITgwEoVDAPa+fxQAzgCMaTME+VGVcCfySPUHApoimufzI8hTNks70KKS9KGSn+6cFYtTqirGqGbsfY92BHlrrFlA1WSb6r9c+LdUb8HCLYDPydrPVWfk7U/n9z40juvU50lTeJy+jLwaRAGUO9PqGsR8auY7m+RtU1tq58fYFgRAw1C5IxKuoAOb/xgD7ytPDqvSiOtL45TwhGOKssavHV7ZVEOlhVYNbHnJYl425Lf/ceatWiVseURSXnUAmlayU8xDqLUdIaEnRMi0te6SwVQBEBSPRHO19x/UDYB7mq0SwsOGOwWlOenHBrKNleXzPsOobTU8bjE+aiZlWWFHWNGgY5cSqjzapkrQvmaWaeFoZ5Ya5K6qKkaVufez2xG3pMUVBUlcjpcaIqNYuaWeYJqSsRQq81dVHTOMe9z7/A9uKKP//GN/LE0QmVVmjni6j5sRBa86KYcFxsL3nx+ee5vPMiJXB2fOK7vzhvAA6h+LKt2hSejhGDQSVdZ6bZUbYrVk3DtFiGYaTQmlVTgRZ9cjsMOOeoylK828A4DsyztIhdtaFv9UzfjzilqKuaoih8tNrDr/LXPoD7q+9n+I9/HPs776N+4eCGo++i+6t/HTt+gvZ/f1Cl58Prj1j9k59h+E9/lvlroOQbsZxHIFr+6g9S8kPsvvsJ4BbLN/yCFMJ74mfpPvtZFG9kPrvA/Oojvk6HDgZikVVaUZjCOwq8/qB9tMZiYzePveiZ13H96/VY5+P62Ef41o8B/+W7+c23PUN3++N87U89C3wnd5+E8yffzm/+9NuzH3wZ994OT37iFdru6+nemL4pP/RBvhWkeNn3PDykYX9INwPtCMD9mNu7zx7y1nS1b+KTH37m4MPHgVfSb1HxHVJ4bf/up57af1euPLZXPRFJc+CFB6Dn9tM3A+u9WR0qY3vXN9OdQvvZZ+Pv4m2f+Hn+wlPv5rff9gxffJuEpv+FPNLgodf38Xc+/FYuf+tP2H3lPf4Zb+fD74X33Aeu5fqO974Vfuv9/BzAu36MDz/2O/w3f/+f3nDnt/GG0yte/kSaqIxZc3ez5fkvvgjDTF2U8Zvg/Sp9MQxHshiHSylo6hqsY/TtsEKf1ZDvGPKHrbNsr69hnHny8cdRRcHsnFfWQ5EyUVScw1c7JmqB0WuRWatFQIXRBAGchPw8jVye38MsjqceexxXFl7x9L0fc6+Df87eHDMwG3XZTGgfKkhxJHZm6Lb0mx2nJ8e+kAhRiSS+Lim6KYdRxeFEhS1TLuKQgsIf3+uVdn8g5mmkv9pggJPHH8OUpfR/PlCqJa9ZrL7Wur1x5p7eHByKZyVTCuLE0voFcK1QzG5he73h6uKCSmvWx94b7IJHVwq7iaLk3xnXNACLFK4fPk//T/xO1i+lDuBS6LVCPDoWn9eqFG6eGXc73DxzfHQLU1dYJV6IZbEsdok7JUA6rLaKgCnonjkNEOYWBJMXUrnyuaesqzzsP/EUCYFbGLuecbujMSVHZ2cUZenX2GCAIuyPjgQV99jF3nFyLoyvk0Bc0wxgqaDAZJ73oJT6Qlg5vSdclsBdjOzAgxPC98Q860Aje4aGbB1dpLNIAntXPAsB3DxEnscK937AAuxdekc2F5woohRGctO94rwocEbCLstxwo0Tw/WGxewwTYOpa5TJWyPJA8WTqePf+frledphFOGfEhFg0+cuefL3c5TvpyFZn+S9z17tz9jhpNPknQKrtISMrqVg1tjtmPseO46oqkKVFZgAxFQ8YzLfbFDZXPc8oi59HujnEHhHgB1IWyVjRRh7CE2MJ88/K6ToON8HOxh0FuVYjKFoV5RNy9B3TLueaRhRTYMua7SpkOoAgfnpsOgRXOZGg71zn62kCvvvbUeRb+fyRaV10Fp7BTX55uP5UIpCSbO6xQkgUWVFbQoUlmF3xXx1xdyMmHpFZUSW7xspbhhvlGUq3ZuRg8r0sXAf+Qjzqaj0wPv0RJdC6nVZ05gS2wtNzeOAKqvItyPbx3u+wznNLjHuBzrK6CUz9qLUnpHi/kvOnrRhlOgtoxRWaZFNZUN93FD2W4Z+xzidszQtummlVzYaowQ4RvaJGN5lCsEdnRtSXVyrqANEJhzoI1u/EGCwWApfC8PisAuoZk1blDRdR39+wbTbsTk+Zlof0ZrKz9D6s6OYxpHd0HOia+q6praWaZ4Yx4lunKiqiqooJNVoXlimhVFbdFFgmgo1S0qBMQbmmWmZxejk9x+tWOuGftPxuc98lqvHH+PJJ97AY3UrnmZfy0Upzawc17sNL734PBevvIwbR46qUlohqhB6bImrpJLhwYHvBS8OnsU5iqqmqhqsgn6aUNrQ1LXU91lm5kH0i7Is0YVEA4zjGFPLmlr6MFtrGXupgF1UlchIK4Xh5HoU6Pc5ql/9m7j/5IPM/+63U7/wK3vfLm/9dpb5n9H+ys8+vPXW+n1s3/x1uCvxINb/72fZfuUPMfVvRj33g96BmhUvmz6N4QLzqRAi/kFmwD3xNO7ORx+5prkKZ6gopFJ+bMMnMl3SFHz9gVDFlQeds0e/Xn/xsoddB0IpXv/oI3zTYz/MJ08fBwdT8AD/6M9Thuc7yW++93XfzJMfv8GDrbLnH44rU/rlzwP0EIXy/sBezaN931d+vEUuPFEQK4pnP/CF15JXXULJbxy3v/rThrPLVxCwLl74r/jo/nIqYPyL2e8zZSXBg4df3WPfDHhwHZQ/gI99hG/5GL6y+Nv5/Lue5SuyHPlcj8nrUX3Hez/AO95yza+/5/383NM/xIe/UjzPvPcD/NyH/xK//p6fFAAdrqd/iL92+ge850P+WR/9Cf7X/+7H+bvf/0955qMHSv7TX8tXcM3vxZdL2NQ8XfDcF17GOKjKal/hUVCWRcyxsV6ApZxiEVhFIZatsi6Zp5lpXhjn2YfBijI+TSPb62tKNMent1DG+D6/0gs7F5opPC1+cp/ClahQJYXer611Dl0ohrFnd3FBqZTk2QSLrd+vBBZV9tSg/ATBTHx3Hp4ogCgAgyD0RSG2y8J2c41aZs5unWLqmu3QxbB0XMoRTXP2tBH0OJXenxOKigosgM7WyvkiXjKxqRsYr7e0dU11tIJCig9p0rzD3lgLzi4x51WerCIdKOULf3kgRqhIrbJ18msWxmOM1waMtPa6d/4K46ZnVTaUdZUBW/FoL7NU3QxeC6+SZMAu7XxS80JOdQhD3NNLAkRI1OKBhA2gScO46xh2O9qiojk+RRUlMw5nZ2y0wnpl0KT+jPHcBuAegH6mECkvdBLoS8aBPAdS+XmADy1E7RWycs4ybK5x48Jx1VKtV0h1W01Z1dhlQTufxxZ/6GLh5qQjewtzzJdKXqpXBTSRRj0A9AQbIgHyUNP8NDnlz38AIc5Xife0ESuJ+lEGA1fi04HAUuRIWhfimfOD23uOSw/Zx4w5SFCwF36eniDhpwE6eDpVKIzTuEUqUrtSY8qaYq6Yx56p2zL3O1TTUrQrjK5EEfQeOOknrvf6vAcFW1JJQtk8WZObPLsu25I8ssD5v60v6BWNHhlfSQKK/CHpc0XGZ5D+7OGMmZJ6dUw9T36uPfMwMFcVpq7Fu06qfo2n4TiHwB99dEcK7ffRLLEopYu3K09D7G2z5wfs8+LI1/2cfCR25LnWOa/ASiQW2sSCj9VqTTXXLH3HsNkxmw61WlFWLVoXqNB7O6edcDa8sMj5k8v+IQFQCqUkvSWmCYTvs3mE+QW6d9ZJQa/IM9LGmVhjQLorFFWDswtV1TCNE9NwyVRLATpnCu9WVPEM5DQVBR5Eo3H0Zvsx7cvkXDInw5gmhGLndyZ9ItGz99prhW5X1FWNGgemfsDaiaXUqUgSGUhVgab8+vh/5SzAc+HsvSkSQu+NP0VFpSNhcVbSftAaowusW1hwFE1DWxZM48DY7RiHjmK9pmjWxFoFTnQBVDZTT5ex0r0KNTY8HeR04/aPZ04b0i/e7J15XZRYO2NNQbU6ppxGhqGjv3uXbbfDHZ8K6BdCl3NsF6ZxoGOhqGqaqqQyNca3YpzHEasXSlNQlxWLXhjmkXEcKApDFcKAZwHUhVa4ZcbZxa+vYlGKsqjAWc7vvMLV1RWXX/YkX3b7Nq2RWJDNdsOLL77Axd2XYeipi4KiXaWzIVSCpJlIq7CwOFoXoGCx3thUNVSFYUH6XCsUdd2Ak44Ho50B0VO198KO48hiF4w21LVEaE7zxDJJi62iLDBaM9uFaZzASUXw19bH+g6YErX7lfu+Med3UI893LFpmzW2hfpTn2b8Sv/hH/041VM/y3D2Weroff4ZyjvfLDnWfy55rCXHeov57DlMn6b61Tey++73UT5CATNlzD6gDiwaLzeVjcaNxVpigUylvxSH9SOGxb+eKyhnb38nf/i+78wY+jdz78974Kj8v7/wGR8GHn78LLe/0HP+lq/nWkH5U7/BV/EmPvn33pmqyKkb3vlqV1zQXKW94Vnqhs+yq/yDFzlr38Tz7wrCRnH9/h/hpacfbUzTe7+Gw4iKF972bq7DH+96N3/wZM/t338W+CUeexFe+IZ3Mofvn34n//L9kitd3d1A+2Wcv90zuO//+lhsLSpvD7gUz/Lkp17h/C1/mTtPB2b+ndx57zej3vVuPv8uf+MnPsPt7vC3ah+0OZDQ75/kr/FxfuAQPCPg+gfe8zm++sM/yYff+23+02/jb/xnJ/zuB34x/v5//gd/j7/+lpan3vY3+ME9UP1DfPh73sjn/7f/iV/xgnVSiqvJMe/uUCntPdXh0IgyWVUVxhcuCLmZsV2OSgfAOideTxxlVbJqG45WK9qmQTvNMs1sLy6pdcHx8SkYw+ylngjAdApDrm0AHXnxmrh+JM9YyA+UZymfC6wZup7LV+5SmZKj41MJ8VLJr5pBiOT5IoAH/x61r1TkXoWweaHlSECfdpnZXl1SKCl8pZuGBU9TyniG5HMcVRLrSnkwigc/KoWs4VLYGYiy6ZyLhXycH6+ARc12u2V7dcVqtaY9OcYVJrUa8rnyxkg+KU5C9lNfVBXbJeW5nfJiD6xUKPQUlJhkV1ZKnmuUMORhGnnppS8ybHcctS1lVcYQuEJLWy27hJ7kGUN2LoYxyvrojD7lPdpXiw95eUFhS8q5i2MKgM1GbdvRXV3RXV1x1KxYH5+gfJX2xS4pzxwZZ2GMFLjSan8vMs9srjPH9cp12Aim7MFX3qNORocatFHYeeTy3l2YFo6PjmnXx6AMVVWzWq8Yl4VhGglMJb4/4BlFpCNtCt9KK9BvVi8hnQb/ff53+m8A1863KsnnYZVjCX1ZlxnlIxAWpbA6zdBau9eHV4w8OhYoyj1iAXgCvgJ8UIpDe5U00vvUfv9RwBIhH985fFGjABz8vZ7nhP3NnbxWKZ9vpiU8sijEu6hAVRXFak2zOhYv4WbLcPcVxu2ltCLRSsLqUNKOZg+FhX7usCdb/T3B2xZFqxE+ZvEhlZ7oopHG35uK+MnuybZF5BHnpbI1EB61vy9+u8UIoiVPuVodszo6pTYFttsyXF2yTCM43/bJt+eLBiSV7aNLz40GJZfOdDgA8e9sjIEmwjPSEnq+pBNYD7wuRin49UomWCR3WUsKDGVJvT7lZH1C62C5vGC8uoebOpy1MX1GQJJLxmAvLyIXUCF9JoWOB0/w/jwAX6fBxsiSfWUqFo30PMZx/1o4zzeVEQ+grhtW61PWVY3tdmzP7zL329jxIByYwK9DulEcX0aHgaaCPNpnbmleubw81J32vdtEw0viobL2pm1ZtWsqB/P1NbbbMbuZ2Re+jPw99mzIdSkP7PW+kZ1sj7QH0T7BKuo4cS29TBZ4IDxsXgRkaaOxpsAVFbpZ0a6OaLRmvLhgd3nBvEhYdF5/wjoXC6NG44in1bSW4rmVeYhhMuhX8XPlz2YMk1KEiKfFSo0YOnPPyAAAIABJREFUbQrJv65qmqNjjqqGcrNj++IXGacds7YsOIxSVFhWRUEB2LGn63qmZcaYgrZpqMsKnGMYR7phwGpFUzfSHWa2DMMgbbd8gbOiLDFVRVlWkYbCkdNaU5kC3S8899nP8y//5E+4c3nBZ577HJ/+F7/Hy899nnpZOGpaqqr2hgORscqDaq2kngNOzoMpSxyKabEUdU27PkaXFdPiUGjqqqKpG+xifXj3RFmUtE2DMYZxGtn1Hc453z6qxlpL73OrK9+OSwFd3zGNE2VhaBqpZD8OI49+fRd2dYF6+Qnmr/sRdv/5L7D57g/S/XtPY5+7QNW3eFhgef1P3sHRHgj+Lrrv/gWGs89iuq9j+O737VUHT9cF5lPvoL7zPOZT/wv8uTNU92bmr7nx5hsvbQqUMbEjBSS+HHUrX5/F2tmnVClynej1XH8mxcu+9ql38xs//bfSZy/9Ht/6U8/C0+/kXttz+9PPHnIyyk+/yNlb3uSriT/Lkz/2LKv3PcMnf3o/BPvsjz+e+loDL3zLM7zwLenvB/W1flUPdTYOICl4OJkP7+QPv+cZfvNt2Tuy8OS962Mf4a1f+Qx/4EPHz/74czx10Gzsqd96nrsffoY/AKDnq/7xB2Mf7+MP/F3e+v5n+OQ/8PPuPse//yPSMst99CO89c3P8Aff87f4zPcAL32er+oe514YdsjX/t5n+Mx3fo5v+pHLvffy0Y/wNt7Nb33vM3zmewFe4a2+Hdfqf3iG3w7h5y/9nniv43Ls51fJH4c51jddv8jffk+qEP4D75diZ1/74Z/kr9Dxh//4x/iBWCDt+/g77/8++MAvelB9zO++57/n51BopxiM5vm7d9mMDq1KsTpG0KRAK6q6Qhsj1kmf+4nFexsSWNGIJXCZZ98iy8ZwG2OkqM+dz77AyXrF+uiIGfHdaGWikEntPoKS5/aFeFDsPJJOFU3910oAtUUA/tj1XL18l9PTU9r1OuZ+yBsOgDO+MncU9KnyIWSVaV2yIIvvSWVMRqOUxS4T1+cXNGXN+uSIBQTQuyWeg+D1D2HfCuVBrHymdfAi+hVRQbH1ap3XPUMeaASVSrSa81deZtx0PPHEk5R1LfnKgeb8moXcpcVKqHNc7yARlYCkoJDGvfEh/dqolJersv1SPgRbK5yBXdfx0gsvUBUlJ0e3fNVdG5WVeRbw6lzcmXQ2/HBkTcweiHNesbbO+jBZKULmPOAKlv+oPHnFxDmksJEd2ZzfRU+Wx289jvHhXtbOTL7qd9jfUC06rjGZchSHqiMQCgaTUBQrgLVkH/L+lBie6oGVrw6vnbRFc1p6U+/uXXLSrjg6vYVS0m98tVpR1RXnlxcCUgktaUST08p7szygMibkmEYzFA4fCu2C0koYWVKWA9BBCQ0HtVh7ZTwzODmFFKU7P+fy3l3cNLG7vEdnLc3pCaWpvNfGe3eyCsMB8OXViYPSHiIRnH9tOvREpTORn0qFyw7OuYA+3y4sPEAFT+8eq5F3+mibMJZYvZpEW0VVMflCi4Uu0LWhqCraumXqenbXV2x3W6qjI4pmTWEqHykTIiEy77qTiIhYKV35fsTBKKTSPklem4rGhfhfEl3mNHr477Bnwo98wcAASazQS/B8p4JWnmdpgUeUBVV5TD2v2O229JdXLFVFuV6hSoNzUreBg6rMkisZzmU8qJlHdv/arwtA1vIpASpcMhAddgxAhQ4KAnKU1hCqvitf28H4HrbKoYqauiqpho5ud83u7h2K1RGsVyhTofApFDblx0bAnUHAcB0aAKR2SBY6S+BTKo49vz+vxI1zLNb5/ckMFJ73Lk5yyNEG1axYVw3zsGNzfs5Y7qhPb3lg4lAY3yJn/xJa9zTio02C/Nwzfni+LwZdd59BOqz/3t9+fXRUvkPou0BeUxSUVUOlYBolx1etW5py5dtXIa2s/Ej3ohdUemZcu1jDwe2tdaCLFEHkYhRFNNx7nm2RdB5pOydFHV2hqYqSqpy43u3Y7LaYUmPqCqdLFutz4rU8LeTcB5kZZZPfUxmXh/2h8J9MkWWxaFPs00GkGalfYXwUEtYxWVBty2lZM+y2XN55meJkzXp1IgfMImkslZEw79nSdz1zuVCWBaYqKcqKyRf8GpaZsiopypK6NMyjtE6rypK6rimLkn4YpKuANkzzhJvnyFOwjkJrClWye/FF/ui5z1MYRVtVtKu1eDsJxa5c1FGKoiSmwShF4Y3e/TBRlBVHp2cszjHOC9oYVqs1WivmeabrdizLIuMrBZIO4yg9yrWmbVu0r+ez3e3QKJq6luJsy8LQ91hrKUupCO6cY+h7nHXxeY92neGKW9i/9D+yzM9jPvcz1OM3Mr3lh9h9NaCef23w8+RpNu/YYj71Do5CwbKveR/bd/wC453/E918FtU8jXvuHej1zzLFHOvvl3ZcL3wj2294Gu589NF6aHudKdArZPLRb5c2RgwiTtyXzrHnlHk9l+q67lV//Z4ffd/rfviXdO1pqA+5L1yv9f4H/cYdfHfTb25atQd9/sBLQt67T90M/h96JWl435DD1/mw8v++2iNvvPbmdvAUL6celKf1Wq5DYk6HQfJKNZpOC6h+5aWXaU3pi8/IXcpbB4u6RBmNMSKE8crqPM+8/NJLnByd4IyJFWnrVhjY7Kt2SusDS7ftufPcC5wcH7Far7wCK+E1KN9OIs+Zi5awfeVPQL3LBHRGXsqx7XdM/cBqtaLb7dicX/CG249Tr9cSGqTC+vj8LbwiYjMwFCo7+yXMW4mkcMaDBfeeCwvYaWBzfsG6XrM+OfaeO2+1tpax7yiKgqppgk7vlej03twaKM9PCoqAy9DixislFpyW3srTPLG5uKSYF26f3UbXNVMA1V431Rp0YaTFsPcmBjCfI1rnHNoo+p30cGzalczFK/1VVXoZ6JjnOYJy50AZ8WRvt1teefkOq6pl3a5xohVJFU8N4zCJIhEU/AiIPLbPWzvkexDowiWFNhiErEcoweot4NIx7DYsy8zR7ceZhpHry3NKrTg9voXzCttiLYuVQmXhLIiCTioo46uc56AuKEjOOppSwGM/DhEe4vcgPMv56unW57qroNyFc+oV7M31FUs3cuv4hHZ9JOuvFK3fi81uE4XbPHS0VcXjTzwhY7ShcJPQsVSX9edrrxdxtqYHwCyn9xBVYozBaKkaXxrxwC7OsWgYxx3nL9+lv76mUXB9cQ9bFMzKSK5u06Ca1ivO0qZDq9QaTtTK5K1OvNlhPPCJyqgKrbjCvftnKFeaA2Ev1lJoqRdhlERlzPPICy88R9G0VOtTT/s2KuRhXeJWBgOc8uHEhLQCh16sADa3AJZCFdhpYthtGKcOW5SUR0c0zZHkX3uaUUrO37KkbgB7jCbQv5UiZlK0zQPusJcesAbv5iGIvl+2JG+dcpZxd411YJo1sXq0H0YM81XBxuLBnFaxF7pyVhTubsMyj5imoqzXOF3gtPT7DqlSi5PwwUMgE/sO5zRHFlHhkrFE+FMCGslLIvdo79GzYlVK9zmH63fMy0SzPpFWYcZ3vMAX3LQLCodxCrMsLF1H128YNVTrNUW7QusqFXEksANv0HKJLONqe361eOOozvn8oTrgf6yU8pXN057hZVkwKlqb2v6Zeebi+pyjszO0rsSb6aDCwjyw220Z5wndrqiaNcqDNWUd+HaaztNk7DKpQIV6CjqBvuSxSut/n/6WAe9kIMtCm6OM9x0wNBjn6HcbVGmoi5qlG9j2W1xZULRrTFGirZNaEs5iFfuLF2gh0x/yln7OpbOwb/6IQ/YGnnQAFB7ceq9zaIuHs2hncYvktnfbK0y7oj4+BW0wqogtDEXYe7nm9YyQ+XDYUs96I3wYu9EGldNwBnCCpTnK8UAby4J2ltKBmyY222uscrTrhm4YaJ54iqPjU0or53CZJ+ZlYXKWwrc7LbWBRTy5o11QVUFVVhRo7DwzTyEHWfKV3bywjDN2WZjmUejKOXAzy9jRd9cUy8JRXWOqCqeV5wPecOHno7T2BStlllpLOPK0LDiFgHFTMU5SGLcoS2nPOk0M4yjdZQpDVYkHfZomxmkCpSJQXpZFiuQu4qEuixKcYxh6kRNFIQDaOeZ5YppmiqKIYP/3/qtHD1a2/847mG69TPn7n8iMWE8wf91/wTL8CvX/87lHftaf9fVVH7pD8D7HMx/4tPInrR/Znt9jNw/Up6c09cpHYCn+6NmPv673PtRjnR/yB32fX4f3Puz3/kfh5kd7R7AA3/SbhyHHTNlIYOjVh/dI73jIHPZ+9yjg/lHH4j+LaxQBTfLG5MN9XVM9AO/hLgV7+dVfKqgOz7gJoAtDN/QOvvDyS9x7+ZyVriVPy/mWREr7voQFpjBgpCKu0lqUdT/eoFzh/w4Vw2P7G2MY5onddsfVK5fcPr1Fs2qwWMqywmjNMM3MdvGCzNOjcNZE70HBQMBACJd0kQ5ClWaHw0oI9sUlcz/yZW94gqKufaiU2hOoAdAT1+l+TShXTENrEkfIF1Wxz6qEjy0M3ZZxt+Xk6IimPZIgpqD0ZspIBNGQct78LLXOyS8I25A7mHJh8+Jii3fhzcNAd30tofaP38aVhtEXjFJeUTDGz906ZptCe2LoGUlZSiF2Gd36tQvKRwzk86Awgtt54Xpzze76mlvtEU0lrb2UX6/FwTIu4snPKFT5/VfZv5NihvS4DoPy/9UeCNk8By9Ug/eLJAX0xDvVb6/oNx2rshKwqqVADYsA6rCuDqT1mPfoKq+8eHwZ6SYozPGMpS0meK5jH1NFbD8TKpaH9XWI5x+lmMeB/npDgebs7DamqplwVGVBXVWM80Tfd7FirozXh+Nnimuosh7COPfPQFjCfSV3D88dyiKlfJV/v76A9mHz11fXXJ/fQ02OJx97A3aauL66pKpa2nrFMs/sxoFxmpjLDtu2VHWLdA7Lw4Ezpdgleoz5rQHUZsaIBKqT9zeEe4bPs9sIm6G8YqcD7UZa1nEcCfiFDQ5L5D11sptop6MXXy/gEG+NKQyr41PKqaXvdyyXl+y2W8r1Gl23KF1IS6BD76M/Yw4n4deetwYDRByMSmcnlzXZoQ237BnsDmkP56JRIngbojfS/2bxipT8yOEW+YFVVsIB64qmvAXjwNhtGYdLXF2h6gpMibQgUHGQUqUYQiW8EPYcgWXkQWk8gR7yKKK4LmGbQt0LP9HYK9jzC2kLEM6vj3xapHq41praG3FmZ7HKUBwdcdxU9F3HtO0YhxHVNhRVIwYfpQhRTjYeosQbE8mJ0cDHAaQ71c2yP0a+hNXIZO9NemIegWC0olAikxen0WXL0UnFPPT03Y55mGDVoOqaUosX3oXxGiKAl6iFIAMTSD7kH3HM+wwk3r8HqlXa2wSAgx4g529xCq0M5WrNcVUwdB3j5gpbVpR1w2IK7qty7+kkr3Ye5Tc5HwgyLItyIsw5RTiFOTolEVrBqy3rJJE/MwqMoWzWLMuMdY7h6oLSlOh2xaJqtD/j+5ELOXjf3//gaAiRWsobkPb4ntdf8v03Rns+iehvTrPMC6osWZ3eYu43TJst8zyx2V0yGsW6WLMuS+qioZhn1DwzzwvDMuDKkqIwNKuWal4Yx4l5GbBFIcVsC/Fej+OIXgxVIS27pnmm0KDsxLi7ZtptYZ5YlwXVapVylKMBKQA3SWcQ/UzWRJuSxUmXkLJuKKqK2TrmxWLqMkZTbvuddJAwhroU2pjnKVbwrssKXYg3euwHrBPwbCqpKTSMA8uyUBhDU1WAAPLQ6aNpGhTiDRdDzaOW/wL9p79A/aeHn96h+PTP/BmEPH9pl4TiJ/0iN2zHM62kLVxozSsdXl5LHvr9178563LIl7O/HwrMX8eVwM+rjOVBYPnw+0d74YGW/4jf3XTvjZ+7V//7S7luWKp/VU8/ZLgPvJRhO8+8cOdlLi4uWZkqWkq1r6aqtcaEaokKYSrRKyDPnpclKpxRKVOSIxt+N80Tl1dXDFcbTlZr6rrBKSmMppTkxjic9MLDsfiwvNxLmysmsZ2PyoRjpnQDzNPE7uqKo7LmsbMzdF0zZoLcS879bVVBuN+g2DhiqG5Q2kJbl9wwZRdLv9nCPHJ2fEbR1LFVlDvYHwc+NCx75o0HiHg/mTKQh90FkGoVdJsN03bLqmloV8csXllIIFUqeCqlmN3s1zrM34OMKNySggLpnRmWjZ9LWKxNeYsKpnlkc3HFMs6ctMcUReGFpIzIWseyBIU2haAnfXt/PZJXTicc4Rl61IAC+Al7FdaO7B5nGbZbynlh3R5TNg1WBa+PlSIoou2IkuL7hwaFONBlEi77gNThFaUQq+zHmujK4Zzyn7G/rr69i7ML465j3nXUZcVqfQyFYXL4PpuKYZCcMeVpw4TKtYHED658NcP6BoNoDprCzfk5yGnT+f9F7yiwKEc39GwuLuiuN6zqlqPHTjCVodtcM2slBWeKAl3V1K6h7memqWeYrqT3bt1QlCWlES+yrKNORbwU0YiVg+p4Jjydu8CIsstlZ16MG4dnzcVzFo0mQtH4bOh0VpHzH2NlMlYV1mQJirkxApvsAtpJaHVZsSoKGCfmsWO8FoXTtC1ls/Yhxt67loH8HDw7l+fDJ0VnL8wV5efq+U32XQBle8bjsM8eNO/Ty74BI3mHE824uM4+EUFrTN3SVBW2H+nHjnne4soKVTegi9hSSPs5hXGkFYVsQntGlZwP57eHfYoGkfiFy/bKgyYVAJhXF8MSO5v6XSstxTXtzOwcuigxxwXVvGLue4btjmnosXVDWbdgCvC1kVWY195EsjFm/32QxL4/8ix9FlhfPKr+O6dUSq/wPw9e2pgO1Kxoi5JlGOm7HVPfoZo1upG9ScZmEu8LfA8lNQSdi8aL6LXPeOR9cwnnJwO7ydOdeLrfHNFLfFrM5CymLGlMiRkHpqFn2V7jqgpTNihTkFnaQWWpW4Ep+nOdzrLbOzvpiO3zw8jjHXvF88MT4ulRCkyBKkqaskI7x9jtmDbX2GbENGsKU3pAqfdoQymdDD/+ZXmUnsk81Tlt3Gcs9P8NkRoiXzQUGmsX4UHtEYUpsVcX9PfO2U0z09HIvDpmVVRUhaEuDMU0SwHacWSZNWVZUpUFhTH048Q4z8zzTF3XVHWNWyzTNDFMk+h0lWEeB3aX57iho9SaetVKbRJtot6jHLEmjOgAXsb7+jVBJuuyoigkVWtGYcrKh2zPsaK3UioWIBPwO6KUEvBsCuwiRdkW68Qb7dsijvPkU0I0lc+rnpcFtywSnVVJkdVpXlCLRA8UrykU/P//V9TRyPhSkC+eTxpjwEkBWlsmvPB6r4cC64d5q2+yPD7od4eMOfvitV17cunB73vQGF/t8we950u+cs0x/ltyx2+859U+u+nzpP/e96G674sbb967HrIy+0uT0WH4Z+qReYM+mD8nB4RegCQZI94EpzS7ceS5F19i3Hasi9qPTzzVSokwK8sSUxSpUqvPG42hgHo/ZBuCkNUUWtpmzVjOz88Ztx0n7VqqiRsoqgKc9EiWUMA0Ya00yojCFyzkubxQXrGMr0aAUlAUp7Gjv7ykVtLCSVWlb+EV3pEAdVSNgx6QzSPfHZFPB+qeEqiKczjtsPNMd71Fozg+PYUihcKnd7rs+UF1DQqG3RtL2sYMmLmg2HiQkbVBsjg2F1fYXcf6+IiqbXHBw+qrxZKB6pBP7SfuNYa4RACkOsj+lj3FcB+wWrLcbK3YbTdsLi/RSB9IrQupguzL8s52ES+ySgXqQlKlw/m+v2mt4rrExEvfsikOW+1Nw+tQolwu1hdNgn7Ysdte0ygJ/V5MxeKBmIR+WixSZTcsvCJ4DsIeyhuiByZTbvKejeEuGYyCYJzximiAwMHbIh5nKVC2u75GTY7j1TFV0zBrAWmrtmWZZnZdh1t8L1Anud/KpxskSpPnBdU1OpciHtwPxbzfGBeeonyPepUid7xw1dqwzAub6wuuz88pZsftk1tU7corSYFalO8/qli0QCnTFJR1zTwNzNPINF4xFQVLu8JUNYWCktA7MxIee8adzCCk9862zG1BjBiJebr4uwg6nIs5skLLntad2juPuSf/EAzF4SnvFQ28IS688YdYKg3jFKrWNFWFmUfGoWO+2jLsesxqhWrWosxJVSwfNixF1mwEHqGYWV7fONGmJ+u4JomFZfLaA5xAgaE/snOL0Ex4SAYeojcvHLZskQR4hMJRXllWBrNqaauKaRpYxpFpuIa6pKobMCUhiDm1swqUhy8MZhNIIvHoKA9IEQoRkPgc8NigxyYPfJiRU1q633nFfj/0PBU/LJSm8HtolffEVIbSFBRTzTD1zNuOoevR65aiWqF1GVNbZDg2tewKfF9l78t5R26APZBLuXzaMxx4XhOWRHk+CuH8eKVYgXNaaokUFcaUrGzF1Pcs2y3z0DGtVui6odQl2sqamrCfQQ4lokdyzROficatwGtc5nGPfN/GFKugS+Tr4Aie3BSd4KwvFlk31EWBmwapRt+PFG2Dq2qhN1TGCzIena93dkUdNlelVRp/vCvUQgjzdsTnah3oVSNNBBWmblgVJfMw0HcD8zjBao1rV2jlMMr4uYYzrDJ5EAlc9CG3H3mTpwmEWaV55KkvsoYWJJoEkf+mUpRNSzFPTLueoe+5Oh3o1iesqhVrU1CUUphxmWaWeWEcR0Y7U5eVhH3bgnkcmLuBpSioSkNbN4zzRLe7Ztxe4rot2lnaWno/59MKPNRpRM8KdRgCoPZGIuNznp3SWK0pTCFtJ60UUHNWcqtrH/JtF+lEo5SmLEq01ix2YRh6cI6yKCkrg7NiCLBOqqxXZSXpTIt0RSmMoahrAMZpxjoB2aWpcFZCw/9N8qn+675UqCuS69QktcwpDcYIFQa9XH75ut/5SKHg4UpWukcApV/C9SCw/Grvvek3D7an3v/s13TtMa5HuJfsfpU+2xcwB/fdNDz1gM8fcE9S1pPS/EgDz5VR/7f88fA1O3z6q01n/5V+dN6TK6GxDqc11/3AF57/IvMw0poqKpEhFElrTVWV4qVTSaGyLuT+LZKX62ys5iwKkY0gb3GOWTleeukllm7ksaNjjCnRVUFRCCBfvGdQGx82t4SCKGnWxuikY+0J3bAeHjQoUFrR77Zc3JVWYUdHJ97C6FfOpd8GL4I22ufyhS1xewJL/u0JVGWCllDl01IYzbxMbC8uaIqK9fEx1uc550YBERQ25T5xyA/C/ydhKQWSMgAQMFqci4DReVm4uHuOGRdu37oNbekVQlFCFh9aGuTsbJe43lHhUbkFPymefiF8+Jr2YMHFCsTOOowXWkFJ3F5ccXl5zrptqaoGXJiL0NQ8L6kKbfQSqP35Z0oaERD6z4L2GJVIHzIW+qXjldfgAUCBcuw2G8Z+R12UFLpEVyumZSE/2aHti9KplVZSYPBKUCoOZaMHlTh2f/j8eoV7iWBEOXChKrZNgEdpGPuO/uqa0hQcn51hfKXpqq4o6oq+65mmMYEgpOp63O+YHy/7qF1WUE6IOEzXr8vBv/cu5WldBGfY96RQa2Y3sbu65PLinKaqOT07xXhjllbQ1BVDV3jDhMJpgylLiUxRC9ppCr2iqmqmaaAfBrqLSygM1VFDUzcUzmCid1OL0gwsy+znrGVdUTl7iDNIZ9ylHMbA21RQ7hL/s84GO0hUytPzEk14Z/De9zbLycepmC6jfR6x1kZ4q3Msy+wV3Jq2KHHzzDB0DJeX2OtLquMTVHuEUiYUrvde52jukvxsRfS0JEiYUjhyYCBgeZ+PunjydAQGjiWJWX/vXru2zNKRi9JgWAoANxjMZhyqKKi0QVW1AI3+mrHrJU+5aUCbUDrDn3l5qbQeU7H102FEVvzbsTcW4aGeZnNe5otDeugmhR+V8qWo1P4zcSi3YH3+inRIMJKK4izWKLSRAmf1NDL1Pd3VhrkcKVcrVN1gVJF6+yp8VwgxXKQCfclwHenowNAVKoYfRibkoDXM3x7sfy5vnORtiOwN+6SgWBVUZU0/dvRXF6iyojw+QZUNOB09x1FeqkBlOhUu9LJWhTkpl8bnPC2pRJN59BVxXsFwI/qACm3J/LOt52VSKKmlLSrsMNLteuZhpDhqJerDeWNepKkYY5LWItvzFNmQrWu2hmlcRDpMsiuTy8qDY61wykAp/cbXpRgvxusNS9/RnJ5ii8bLK/8cLesaxqMyfnUIZgKNhhoFe/xdkf1W1j5GJYYuI1YqPTutWNcN1TDSnV/S7XqWkzOm1RGroqAxhsLrbvO8sBlH5sXSlBWFKWh8yHc3LShnsWpke/kK3cUrUnW8bjHV2utzgTb8DLO2jMHQUhYls0/HUsZQ1RJRhjEY49t72UUqki9LqlWjYJlm5mVBK0XlC+bGAmTOiRwtCgHewxALBLZtK/2qp4l5sZSlgHRQjNOIsxZjCuqyxjrLMI4ooCgKDrbl38rLhbMLMQUiRUy5iAWc0t54I/epTFV9vddrNlu8Glh91CsH6K/2/Wt5b7JmJ/DyatcDveePcqmD/8oAXv3eA2AFadP3rtcylINnhz8C2w3AJxfc0tz+5lfGX2UCMI7wAVR20KJzf2wuKUCPekVrIBZnNNfDxOef+yJ2mKiLygudlFtkCkNZiCUQVCwg4/AFyOYZUwpTUsZEa3woPKO1hCNPzvHcn34BtVi+7PZjMo7SUJQF07KI4uothM7hKz2mOaY5K+8ADe8JSiUxJDy0vdldXXDx0ovcPr0FVc1inS9mwn3PVpC85DmYU/vAPg97T6DKP8s5MIpx7Lh85S4n6yPWJyfSSoigWKo9BS1XwsWYQfx3zFchA5yQ9bb2gFGJ4UI8a5Zlmri8d4+agttPPsEsKZpo308w70UdQG06M1n1XF+wJvUxJnr6tNZZXp3eE9jRgqlhtpaLe/foL7fcOj2VMFgloM9VtDueAAAgAElEQVQYzbKIMUXcN4gXKuQ1ByUhV3RC0ZLgbfBjViQQnbwSiDITFDlUTEmwbuH64oJlGDm7dYtxGpimGac12lrJ71einEhxmOC5Cl6wVJk5IP0Yih8KR8W9E0ND+A2epoIy4SAKHuUBnLTA0nTbK/rra05Wt2jXJ1gtdWfb1QplNFebazkDsR+8jsWFVFCksmJkCl+Uyy576xciLRKNZ7/NcluDh0QMDvJjHbw0nv7u3nmR4eKaW7duUx8dAcqH2BnqpvYGuCCYxUigw/lzGrc4rAFHQaENR2XLsgz0uw3j3UumpqM6WtFUjRhDdOENhcp7ISzzMiEt33SMuoker7BGB2AsgOa4b15vVwG4xTOqk+HJJmITo0oACmE95fsAzgng2ucF6oynohWFrqQHtrMsgK5K2rKknWfG3RW7e+dM9Zb66IRitcZpQ4mCxREMNqGmos4MQXuMzu2Dl6z9a7wxGQsSPeCEj+TZcWG1tDdipX6mLirsebh4eG/0tClir/pytaKuK6ahZ7vdMvUd1XqNqWsshRjsPPgVcH4wkFwQZ3/e7MnzvN2k8chnqdWhtdI+DL/vsed8fI0IEOscys6Sj68LFqTI4aK19AEua6p5ECPexT1026JWR6iy8ZWaZSpWhUOBLLSPZomV1nN54Nc2B9X5vIJswfMj0ds0eMDlvNIb5ZZ/cAAyArgMk7XosqSqSpqpYXd1xebOHeqTE8zRseQP29DazfnoAgW+S0iyBahIA2HpxDsfTELJSGKz4o9BuMbu50ryNZ1dUNbF2hkBPDpgdPh+ymvWdc2wvaa7dwHHK8q6xbnQTtC/xhs7k8zNZLTbTzWIBiVcZBAqOyc56I3nw9O68pYwaU+kfBFP6QVdzSPddsPmlZcpjk+p1keUyhf083SYiqe6vT3Pq4Gncd8fbbQX1RCNHuz9TmuDMxXDMqB0QdXW1MvMptuwu/Mi7vSM6eiYsWpoi4JGG8q64MgYGAbp816U6KqmXK05WXo2L36Ri3t3cNOOutSsjm+B1zWdN2pF/V2BMqFnvaOsakAxjKPwurrBKcW0LGgt4F4VhmEYWJaZ0hSxovc8Syg4hFQpof2u77CLpaxK2sqD4mFknmeKwtC2KwDGYWReZowxrNoGpSTVapomyrKkbluc945LQbSCqixZ5pl/+Psj//VfrP6tBdfOwT/851uhM88jgz6YG6pEBlusN9zYaSbUzMgr6LzW6zUB61yoHwLd1/L3TSA5B7k3gd1DT3T4O4W3qfj3g757tffd9J7XdD2MQDNAsidgD1GpOvjscDgPPQgqeaJuEGb3A+CkQLO3xtlHuXnrtZhxXs+h9b1DF2243g18/gsv4KaF2rcMABUVMlNIvog24gGRypfaO0W1FHPwoDqEb03TxOIVyMX3l7TTyCt3X6HBcOvsTJTbwmCKQryaXonRPl8oVNaVQ5uGnoM6AXnBu6RjOw+HVN3dXl7TnV/w5Y8/Sblecd33AtC8ApsEfAKwjqRgpa/39zgIsftCww1opxi7jsvze5ydnNCsj5hwSYn3ofLBgh+eIEA2hG/ilSAXSSGxKhfvS+dLPg7jmseJzeUFx0VNe3LMqL3VOggu7cfulRDrW2lF7zW550bGqf13waagfM596E/ofPy2QSorKyOK1jCO3Lt3FzfM3Do78xWzfY6qEQC0xHDOMMX9sMykuiCGg5AKkCnAks8n33usF5U454Ky57M8jWMeO64vLyiV5vTsMXRV0E+DCAglYWba51DrUC07V87DruegwaU9zmI5CcaSHKwGD0vulQltbQRUK9xi6a6vsePAYyePUzYtE3LP0dERk13YXl2lM6CibxGlrD8rsnZlVTNMU7QwuxDOrFScjfLAQSoeJ8YS0juCQqkJoDEov/IMpx3bfsPlnZcxi+WJNzxJ0bTMclBpqlK81ssi7dviQspeT9MU+1RjtKzZsrAoh/IewHVZUQ89/dAxnl9C1XnPZk1j6lifQBeFX2OhL24oDBTWLL+ssxE0ikczGELC78IZdR7smMi2pZCQjvIxGaKQKr7KZCBBxbMbFPtAqwCYwrcbW5jtLGCnLKmPH6duBnb9lv7iHn23oVit0fUarYyM1i0YP87Qsih6PJ2NRpZwsvY972EsQUmXtUPh13YfxBDHL88xvp9pOBuhmn3kqU7OVjzqnl+HcG2HQpkS01Yclw1Dv2PcXEPfw3ot3mtvLFGeYSS+sQ84cuOGzgBdDB+O6+15lwlGwiSLw/fp3OTkEMCLD9d1YrQTEKQwWlS/xUokTmVaTouKoe/oug1DP2LWa4qmlfBwFEoZUC4Do17fCvzMJoNdTC84oOEoF+PuBK+4fKLx1db9mAXDBzmaeDyeR1utkN5+Flc2HJ/V1MOO3XbL0PeY9QqqFUZrTPBga1nDJfLERGtxtAGkkt4bDPagJFzfd0UQAsxivRTSvk4lj30gy7CHVmlGB6osqE5v0fQDu901wzCiVw26rNEUsnVhHRPKJAfXuXFKeeOhDPNAZ1YuGTHDOtqgr0iPaMnvXXx7LuniMVugqllVFdUwsN319OOEW68xZU1hSlmj6IBWsebMIR3k9HATfaTlz/TXvbUHZQzTZCmNYbEayoqmuIXpd+wuzun7juHkhL5dc1K1rIyhLAuUVkzjTDePzN3EdD0ynb+M2m04rSqsbpmUdK4wSPlG0Cliz6cJWSv949GacZ5xTlHUteRCe5ljfN5113USFm4Ubd3E6Jiu6wCkDZgRHXWYJ+Z5oTCaupbiYsPYM42S+9168DxOI3aWPaqbGqU08zIzTRPaGNpVi0LtebfrUiICx2HALQt//58X/NT/NbAslqkfCA4DMdQLbc3TzGKleFowigf6A+UjDuSKHWic88aoJPOdcyzLxDTu6LYbxm6HtlCVDe3qiKKswRQ4ZSW83vN+rSX3efFqwCH0yNNsgm4RT2Fm2FFkxh2lYvST9rqBpCtqlDKSNqF8ZGeu3L/G69GBdQ4GX+OVA9iHgdwv5fpSf/9nekVdPMuTyZfGZfc9CGgHfqrcDQVR3MF+uQfs4cEHN43hIVd43d5TE69/TZcDZqN5eXPNF59/CTMjeUkerGiv3BqjJF/Gh0aDhEk7G4SO9Ea0i80Ovc+H9sWWFs9ouk3Hqqw5Wq9ZtKMoyxi6s/hc38Kk/tZBYB1aaJXKPLxeMDuv8CgPSKapZ3N5iesmHr/9OEVdMSLKgwm/yZ75oK2I/WHDHux5BVRUzGVtJJx72O6w24HHzx7DtLX0B3TJu+kHv/eeHJQFxpW84smIFUIVo/cQ8G4NnBaBPnY9/fWOdbOiPVozB5zugWcI0d+nhgCywicHSpa/TfnxC3MkVj+3TgpkRUChRcHodlsuz8/RDtbrY+9VJzLbaUktQ8LaBJyWDA5BQclMC0HoxCELiA9tbCIzz5U2rxw7LMuuZ9hsOK5b6vUKZwoPamV9l0B3Dg9AcwUrGRz2IxkSaM49BjIHTy8uqLlCrCF82irpS+393DjlmPqeabPFKMXZ2WMY07Ao6ZlZ1RX9NNF3HUoFgSbWexd30Ocrm5KqalDGoHY7mb9v3xSU1cSzMsX9vsOQ6CPsVVBErYJpGdleXXB9fcWRaTl57MT3dIUChakrlIE+KCJx3aSmQuGyKImsR7M2hYQ5u9BqyaEbycttxpGxHxiuNpiug9WKsmlRpXiwtZM+zvj0FLzBICgF+XmOx1KQZTpfog/4e3yCjAunLotachmvQlIkImhTAmYCMYoh6GBRI7moFPGD5KoXwcPoAZqqGtqqohh7xm7LfH5OV28p2hUUJcaU4MGTw0cTgM9/VzEPPoL8QKtqX5EK9Iw33GilBC8RwLLvKBDuYR/YEtc2OzsHyr/WIZoCfx4cs5aAc1NW1EVBXbdM3Zbh6gJXFpi6wRUVaKnMHcOmM9kbwxMPjAZ4ubVvVFGR7kIahQaU8ufkELh62rHLflj2oq1vl+QNjc5FxdVZ51vOGVgdsaobxm7H6HOXbVWj2jWVqrwhQN9nuAjnxgWCJdDlvjc+4WIXx4oToy9I0cXF+QKjOB8enlZJqUDFAjglv15WxuJYjKNsVtwqa4aup9t0zMWEW62gbva8j5DJCRuMiDmeC8ZwFZcyFD2T4xBkeyanvZyP92Rb7/A9vheLtlJg0AIzirJtWVclfb9j2PU4M0NVo8uKUKE46IkSRZL6he97qfdpLBhvnB9cGqqXE9kztNJgJzG0STdRAZRGYOboLLopOKoaxt2O+XrDXMvaam0k9Yr71+TwCoA692TfdH+gpVyMWRQYLZW2gdJotINFGYr2hFtVQz909PfuMbcdu6NjlmZFXdZUpsCVDtd37M5fhr5jVRjWJyegNH2/wy2T0CESNeDZXtRrtDYp4s1aTFGidCGyBmIFdIfDLQmkahTLLIUEcVL13BTiqBmmgWVepIJ5Ix7waZ687qpomga0imk4Gk1ZSdusaVmwy4RSiqaqJW1jsXI2lBLHk9ZSJA0otPaReBP9JO+Ieqfni/MsHWrAy73Ar6JDCbGiqHAmlTc++FoaTtYBYJhGpqFn2m2Yug6spaobqmZFUdYS1g8oFdryKZQ2sVtBSPtUQe1WwYni9mhH+HuSFWR8Xcgo+/uATzmtUIXwwmkeWNxCKJ/7eq9HB9YPeMtNQPm13hfDuh7hHhlK8jIferIPr8Pledh4/5V4rx/hCoaE+A6192W6Dodww/CDNfK+uWXgVt3w+Q0Puv/mPUZ8w9gOn/UqS6Ze5Wv5TvLaXjq/4MWXXqFCUxSJNrTyPaqNRleFAGnwIXcBNOCfJAzA6JSzqlTKRXTO0Xcdw7ajrVvatsUVirqsUD4H2C5JANhQTOuGxQtKfKRjpe5fb6WYpoHri3PUbDk9PUUXlXhEPTNyKlSXTG9J3tD7MG9SAG74Ioa1KRFku801alo4uXWCqioxGGS/DRZwSPmpASCGAUSBqeJr/LwT4IhMOOyFkn7T11dXuGHm9OiYshVPYex/rAXgFCaxM/mtFLfKKVul4dz3meRh6fiZdcmi6hDHxuwsu8sNw2ZDWZRUdU3wepngVfeCKQiRvTF55TaFx3ODN0NHsCW/S2Gm0fvlsvVXisXNjNsNapw5WZ+gm5ZZHNQsdmH0URbaSSVzq3wv4CBsyIQe+JpXufBh7/AFLxPZPsktfg7Kezi8riapAgvjZofrB9qmpl6tpd2SVlRNy4Jju9vilsxDASjlW8J4y7A2hsJUVKW0+7FYD2oS2AtRp2FawTqV88t8H1Scs/9OKSwL3dizO7/EDBOPrU+pmyOcEYNBaQofdu8YxznzhmcCGe+9z7xGSom3y9qFQokioP0qLYtFmwLTFJiqwY6Tbz92RdftMG1L1a4pyxqjwIRCSB7sSGSMynjN/tkOho8wjnQAM0p3CQgm73Taj/1nuqQrhY/8Yu4Zff17I91mNG2MAc9nl8VKXnndUhUV9Twx9lumqysoC2zTQrOmLGqhz8zrIR4O4sZHGe83I/V4D+sTjGwq8tzgIQkASuSD92iGw3pwHWCNOJZIe+FrJQDQOQGqC2DqirIsMGPDNPbMux2zGQXElZV//v1r7zLZFGjfxf3NPUPyWYjKAWLqQNAhyag1yEGispmME3kF7P+PuDePuzWr6ju/e+9nOMP7vvfeGqA1RtP52IlJN5hJo0lMQGWKCSWoUIXKPFNSBYKgyFAIIoNUUUJRMhcoIKNQCCUQQNPB9IcebJNPiFHTJjJV1R3e4YzPsHf/sfbazz7nvvfWpWJ3Hj7UPe85z7Cfvdde67fmEEQx8FocLVad9wFCUeCmO+zUI7rVkvVqRdeuaccTXFlj3PBeuUMk1S8xm/wx8fnsO5vNc0jrrYpZnwxV25BE3zcpPBr5EtvOaRRHMIZyukPZ1XTLBcvDQ/pySTWZEIoqRhWQcEKiqchPBbgbVDFNhioTv9flyXiTfiecQOInUh2FKD99Wt8s/QrogvBJO9lh3I/wyyXtYkFbNBSjMa6Qqu1KJzZLOcrx8yY2ZuhIkmGC84328arYxs0Q8/zjDYw1GCd1IowPGGepprtUbUu7XtE052Ayoq7HOFMOclNltDEZ3Q3GpuNCvy92pDWKEWkQ2Z6VCKLOB7wpGTknY1utWK/vpt3dYzXZoegbzHyGXxwxIjCeTilLB6YQXGill3WigURxw/z4yHckVz62TFPlM4TYSlTWoHCDQcT3Q42Yuq7BGJqsHVZVa8eZThRqG5VnRKH2nRTMrcoSawxt06ZUkLIoMEhUFVYMJGUpjqC+6+npcNbhTIih4Q297zBIwVMTBCv1vk/8WItiDvQRKU/pLbN2DM4EBY6BtmskcmAxo1utcCFQFhX1eBp5SIymUtqw0qrMGBeNGEpDQZMsonFYI+lIPE7pJwRi5BLDOYhsTT3g4ztgBo+1ytTCFYRmIVE8IVy06PI9Hf9dSsNtQuXjfweOPWfbu32h+1xIKb7U6y7mXb/AhVzklY6/z6VcY7b/PMazH7beJ5dCGSg69p7n3Spbm+2xbZ97jDIf8g/HvNsmVMxvaGmBr5/b58zps9TWURpptWAwOCM5PEUpIdp5TmAIWoxKw/ZMYo69l5AOLZQhQqNndniOZrVid7pHWY8xpaWMPQF9DAcVb4rcN82NEfim45cQuG0EFrRyUgTBhuVyzf7puxiVBdO9kxhXpMrO6pjTWySFIu/PzKYwlPMGxYdMcJEBqN53zPb3KY1jZ+8Epijw+ox8VTJFJVeeVZmUd81AgVYET9xHGJGNwk97dndty+E5CWveOXECW1YptIcggr+wNgtplv8rcBag6NGCIclTP+hXScmQtms2XUMMy5b3ECvw/rmz+KZhVE+k4jvENhqWto+5y9F7klIPjIlMNvaWVoX1PFYQQ6bTT8NGTL11IauMLtPZtg2royMKrKxRWdIbCF5DNQdlRu+XFC+bRRzEBVPwNPAyAYNR9idPXE4E8j5+AwRGCExwhm7dsJ4dUXrL3s4pTC15w2VRUo0qVm3DulnH1mLhPK+FVvq1rqSsRrhCPJc+IecotM0AXoxap9OrGmy21/T7TFaCkRa/1njmh4cc7p9j4ip2T57EjsSgZGIbGJxUeu+7fkDJAbyJ1nijtBU/hhgZZGJoYAyR9l4quVprcUUEBL2AHldXuKrEdSXduqE5mjGbSR/o0XRKVUqLFWtjGKyxksceVQQ1xmiIZ6aGRqUohh7Tx7FHZTPjv2HQwNLaii43KMcqIzLdYvAK5HxJ51xZLEP1deI+EoXN4I2AvnFZUDcNTbNmfXREu1xgp7uMRjs4Z7FeFWyb9vdxMl7/Tko1uaeFBNYT1RmjTbTkyhgVbXS8XpWNgYg2lBQjMiPtP0T507QeF/c71uKrmqoaUTYNfbOiWcxpixV2NKYoa6EbO0yi5PtFfmlypSt7U7M5Ts0fV6MGYajLrGPe4OFiwZNdnBmuRJkc+EPwkQ6si7w/BsGWJWVRUHS1tOg6mrF0C4rJhLoaY2wZ97ZoUam4oSomUdHWAmLDT5nMyJioQeT4uo8uh0Aq8imyfbg2Kbrk38U96WTOvA0YU1K5Xcquo1kvWR0e0FcV9WQXV0h0k1NeH9c7RAJP908zB5v+82E9NyRzlPmGKLdie8ih+4Jh8+bD3ATAFCXl1FG2bUw3OKSpK8p6irM2GXc0xz0jANQwGDJspB7TYc8PHmyrch9Zd+laKX18dV9JbZAWa1yMCoRgwVYVk7KkadYsFksW6zXleIeqHg8FATGqa8WpGWZqWw/Iw8Y3PIwM10NUwsIwlx6wQSLTjIt1SkrLtCgYtUuOTt/FujxNj2fiLNORFDCzEcsoZtQaBSFIZJgz+Rjjp+hJDdbGvHKppO691J0QA49NRsnBqTPwqqZZ4QO4oqSqaiDQNC0BSVcpqxICtH1P6D1FYSmjka5ru7SvqqoUA2/sP+6cVEPv+p6mbWU/RQW271q6rhM+GyQ6Uva+l/Zcwac1yI1dioMCJN6eyFj5rWIzE2Kf7QWrxRHr5QIbPHU1oq6la4YYI0y2TSQ1SuSHS0tt4r4YTCgm4gMIYRNPEdSpsrmPEkeM6XMJz9lBtwsRg1prKAsnoKvrMOUx8O6bOP67KNbfjNf4YudczKN8Kfe4N8cFn2s2f7+n8eXXXPIz4KLPvtAzzMVML/lPW2D4np6jrZQGxm6SsDmmVac+Yvg+Kg/BWBpr+frp05w9fZbalRLu5IciZRhpp1XEEBjxSlh6L8yj77rkwQ6R+fq+p3DSWsfGIkRd75nv7+NNyWVXXinWs0KqKfaxQJnvJYwcJMdXw4DyN9ENvvneQCxs4YKEoXobWM4XHH7jDHs7E8Z7EzoGxpRCwFFlVPKdVIQngKXCPz1fIVUm6hMQDtLDtG3Zv+sMO5Mxu3u7+AiYIBY8MYOBYPvd5N8oUMIgiBX7WaJS531c6+ht0vkCmvWa2bkDxtWInd0dvFXH2hB256yERGmrCJf6RA6VkXPPWWL8WtnaDiFlqohpfnAwAlZ741mtFxyc3QcCO9M9CuuShdMaQ9t2dOo9CtmzUoXzAcxuG9fz0M4cFOTGkPNCUI0UtmlWK9ZHR4zrCZPpDsFaepBCdr3k46ulNlmKQ77umQHQqIIsn733FDGnOkSaS8JRqUsVqBQCLXNojcHjsM6xWMxYHxwwqWp29k5gXUEfekajEXVVM1vOpU2ITkwechj3OBjKYkRRVZiiINdYvQruSIVqnEH3idK/9jpDVTr1kkUFN4bG9r7jzJ134mcLLjtxktF4DM5J6gOBUT2i9z1939P1WlDL0vedhL272AeYzX2vaxgi2HQg3hJrordWeE9ZlGIg6LtodLPYckTtKsq+F4B/sM96tk+9d4J6vEtdVGlOxEAVCH1IkRMJTGZ7Xa0OoljnikdmHMtsLgqoUzTLQFWpWNfwjps8Qc8Wo51PURlJOYt70WBkTrzHhEDftThb4uqCUVlT+I71asn63FmW5YxyZ49yPJbOCz0E45BiVgN9C5lm75URlhbwU0OezpUqlMPYht7AqsuYqACF6CFKbtQ4V3pvrb0gWyt2PdB80qgQ91q8a1RTliVlN2K9nNPs79PVNW46ib2+xbuWF1IzIYAPBKtrGtI+TIbSjTWIn6IS4oevNvLFt5U+BcEbDCwMYwm+E1o1Trw3vqf1Xiptu5Kqm7BczVjtn6MZrSimu5ILHGTujL4LXopfET15mn8ccmphw4CSvjdKtCHxrEz3TF5QA0Mhvm3+h4nnGSgMvReZMSoLXLtitVyxWp3BTMdUkykYLcyYSGigm2xPmCjvUBl0Hk+Wi7VgZPC9zIuJ9SWMvICJ/EJTgzSSLhkLvKc3BlvXjIqScdsxXy1YNfuU4xFVPcYHUbBtVGiICkIeGTAQzeB91XZCMq9qnLKJ5ny2b5JiDgQf8KanDyEWy5T6M957XF2zVxY0qzWroyNWzZpyuoPWOgE1RCpiCdmezmlzUEC3v98+xxoXO5wIBUXBL69RiGzvmxVhtWTStbiioh5PKAqX6jGQ4QhrDc6K08WrImYiDQepK1CN6liEVcbS9V3qmIGJxlqIKYNyjn43fC+41TmLDz1NE0RAGkNd1VgDTdOlomSjuiYg/ZW7ro+Vv2t876VPt/e4oqCqCrz3rFYrQggUpTif+rala1vh2So3I1jtu56+F6Mwad7VuEEq1jfUaSDympBcSybWn+nxNMslq/kR7XKG8YFRWVFNJpRFLf3ajc4xsZCijfWRzECj2T7CqBFYMRVp/JrqMjiBBo91ijaMcs77kIyTJr6Dg1g/xyQM6azDeqTVq/eYYlv+Xfrx/79inSti3+SRtnzChBd+8XvyTP+3HvekON+TUn1JivfFrlWJc/zD9cRveq7PG1fY+PHih3JsiFV4Ny/ZvpW08LH0ruAr37iTc2fOMilq6APe+FQEzFrxUrtSqn93bSce66gA952PhSO8MJDYTqoqS9p1gy2k5+i6baRPcee58luuJFSSZ1wVLnpxpWBDEYG/j5W/FcCkqqtJ8Rz+HZQ/DVOBYGF2dMjBXWe58uQV1NMJbWg3mIRI16ggZGAIo+3C7IZw2Qa+CTRF0GmNobeB9XLO/p2nufLyK5juTumC9tiWAl7RJIgaBTYUwuy5AmZ18bJ8J5CicDZWIFZLs7UEa1gsFhydPcep6R7TnV1aehFUgz4n+T/G0vW9CJLI5IBUlTskYWDQXaVt1MTT59LchyAeXouuk3y/WC9oFktGdsR4Mk15QM5ZegJNJ01rckZubRYOl6hXxqbVwhMAywT+QOARJEXh6qOHeDCIGI4O9lnPZ1xx8hTVdJcuRkb43osFPIIe6YJiVN+PypGEgsdXibJloD1CDG1HASybYFvb90QPoXMuXu+Bgi4qDM25M3TzObu7Jxjt7EQQGNjd3QNrOHdwsMGLUmgzMT8yiPAsi5KimiRhpxqOhuurFy29jyqI2bnpxcJAuynf0xq8DbTLBXff+Q3K3vMtV9wHM6npAmJc8FJvofc9XdfFsG0XPayx4A9q5ZYwuZYI86MA1zWwEZwF32OMkVzjAF0ItG0j+ceuIFgv+8QZgnfgHKOqpOondMsFizP7rIsZ4xN7jCc7krMXZVvpLAFH24sRwASSly3f+6mCcLLoy9xoSGGeiza0cos8A30fNbgMNKaquIYQy/1DVAhD2qdK9z5keyGGx3srfVvxPcFb8JbpzoiqXbFezFiduYt+NGK8ewLKkXiA/EDrshfl5kObp2HfpUr7JovU8DEUHNhoqaS/Ky9RUKxzp8V5iF46/U7lSg4AI/AUhd0PZGkdrQNnKsZlSb1es5zPWJ09RzUeU06m9KZI7cuUvFWpTl5e3VIBsKS2ZwEdP4OyH9dbDI5D7m0OVJUPaSSWj++uczwoYz2d9zgrslbWw9PgsZVlUp5iUk2YzY9Yre4Wg8F4F2tLCim3lVEB7JYAACAASURBVACstUKDYigalN4kaxiOoGqqUUUv2/bZ2qd6XAYGmRjZgiq/Gb0HkBxYAm3w2HrCTjmiXi2YHx2xXi7xJ/YoqhFlKCTUOc6bj3JZDVpJHsMwX7lSrUOLSp6N/Em9gSEIH+/jPrNp32T7NJGEKHW+EK/oTl0yWsxZHs5ZVw1hOhFegcP4aLxQ/pnRQ466fLJSxBmXyRnGH4u49bFQ6+bqyKhkf0mEj3UOnKXtPM5YqklB1VXM5nPm67OUezu4aoQLEt3h0uO3PO0MvCnnV4n8TVYUFPUum1TkTqM5eguFNbheOhQsZ/uMnWX3xC6uqsXIkYUTy3oKn7cY+mgE6fue0ii2sGlsTdNgC0cq5ugDIXTiKS6LJEcUP1VVFYvBDd9p27C+j7U16Kmqkqqs6HzPYiWyYzIaY4yladZ0bYcrHHUtXuvVak3XCr6tx2M637FcrURmOUdROLq2ZblqRKFk2A8gqXl930FgiBSE1PUkOS+MT3xTdQ5ronQwNtZBFHm3mh2wmB1B3zGqR4x3dqRCunMbhhFA0hqStz8+2vuk4CYlOWE+aXHrdX4RDKZ7L/GV6NARvWPAbnmB0xAton3QtrkRFxugKAjWSReYuL739vjLU6wvVYk7TlG72HXKNBm8XJt63/Fh5UmQ6mbMzss/byuSG1a0C9x7+77b3x83ju1rLqT4579d6BAP7vnfp/fL+2ltn3fcOmXfheHD+ddvf7f9by5gVLFIEC37Kf7hrWUZAl/56tc4OHvAtJCQuSDVWZJwKKsSW8R+wn0v1j4/hJkV1sX8SPVUi+ez7TpsWdAbYUb7Z/dp5wtOnDxJqEo6jGyAXvLlfPAxl8kMRdAYFNY8RyxNyYbiFf92hpbA7OCQ5cEhV152GcWoYu1jQQgGUKSHM2Ix0zslOtlSqvN/FeGphz6EAL6nnS9YHc657xVXMNqZ0MT8QrWIO+uSN1i9Tvf0nBCDKk22rjlAkqJgMofzgxnL2ZxTu3uMp1PpBxtLtSi4cFZKnYiC0yfFacCaZmtuMyVAx2Gil8kYjFcvvFgivQsY39MczVgvVkx39qS3pIILJ622Oq0ADeTRAkP1dRUKZGBOAeAgiM47whA+JX9GcGUDfduyPpphuo77XHFfiqqm89ICx8eiTkNPb/FIOoyECROSIkHsS0tcj6TuqFDK97oaTWRhk/akSlmiB2vpAnS+YXVwFtd5rrjsSmw9osPjnGE0nbJsPavDuRhLYtqDToMqWyYW+CqrsVSONQ6dbQOZZXkAxzo834eoDKTho6q2KoQoWLeGxvfMD86xOneOE/WYE/c5RcDQeVFELFEpNZKfpukj3sd8+kBqWZZ7fGJ9eUKQAk8mnWc29kzf94DQtYQKe9peAKd18b0dYg0PUnG3mpRU9ZR2NWe9v8/B7JBiZ4dqvEPlSooI6pwrKAK0XowB3gZcoo+Y/pDtlSHEcVB0A+IBV4U6EQqg4aGYzb7qut/Vm5byOgmpWI2sTUggJw/zVRomFpzsQwvW0gcDZc3kRMlkvWa1mrM4exrqGrOzQ12OKYxLhh9PLLgWOSPEdcjqKSQaMVYU0ahAp6icRFvDXjV5OHa+b4MUKfK9tF5Jnl4zAEzd//rONgSJJA6deCRNoDMOOxozrUZU6yXrxYJVt4+ra1w9BmJazibniAA2KjwB8DHMVcdtzKDQZ++k4J24t9Qjr+P2ajjJlMJUJ5BMwTbQhw7fxT1sLd6Kh20NuHrEpKqoVwtWyznt+ixMxvT1CFuUBFzyyqKYR2kj8feMPcXN7FWOxeu263zIGFUGDYbfZCeOOm6ig8QngkShBEMX+7S7yZS9qqZZzFmd22dV13STKdZVOCOeNXlekBIcmledz58SHcT3DTH9KCrNvQerO0YVwC1sFgaaGubGpOg5Q4x8M4ZqsktZ1lLx/OAQJiNCPaaPPeOt7m22lepBVg1cVGhjcFaZVJhLWpoR5b5JciVh1YjHfddjnfD4xO+qmt2iZLxcMjt3SDtaEaY7dGVJgaMMWQpFvOe2UV/nK7GnaDAh6N4gFprqCHXEUdbgvCcs5qzn+1jfcXI6lhoqxknodrZ2IUDhXDLE+GCwsVK+UaRkBg+6dU7WNtZfMUUR5Z3kQCelMVMkVakW4+Dw/KEApknyqG1aMDAajcXZEHGRMYbRuAZj6WLVcGct4+kY33vWjRTcdE7SboL3rJYLieDU8ceN0XX98H3i51vznPaR7lc1wAzYxyO03jVr1vMZq4VgmbqsJPe+rimKOu6+QeJbV+CKQgMfwZDwzmDUHJ5HZiDSdMzkJIiLOPCPhMA3eHwuozRlUyNINJ0RI8VsPAbnSnzXxX19cT3sYse9V6w39+1f7jHI5o1DLJZm69SLPzxXoC90zX+LVztXro9T5i+kJF/KuO+tR3vjOE6JPu7Rup7hAr/fy0M91/ljMOCtYdZ2fPWuu5kdzpmUtRSeQZioRbyGRSUFhuRVZGP0seK3Ap4QAXCIirY1LlnuOwPz1YKjM/u4LnByZ1c0M+tE+PkIAL1PVcXjY4YRh7BB6go4B49u5j2yMr7D/QOaxYKTeyco6xE9PlV29tmtNxRVSMqUhrjmTC4HJwPNyWcRzJ71bE63WnJyb496MqKL3hSTWpdk7+GVkcY9siXg5F+BNqqUSzGWOFabkUq09M4ODuhXDZefPEVZ13iQftPxmc4WUg3Te7pYqEPnOnnjIdbvyb3l8Vkh5kQbSwov9BuQG296lusl64Mj+sWK6XhKVUtxLYymEHj6Ppa6SZZRfZ8BqA6MOujCxxfeNIxcULlWABGB8nq1ZrWYMzIFO6f2CGUhFU6jUq1FM4yLuVpEzwdDBEPfewbpo/OjAFonIgNYYfByDUMbFO18zdddz3JxSHNwlmlRMjlxQqocE5jUYygtR6sl3aoVsG8ifSRDA1F4OYqyoigrrIvGKtgYh+QUK1gy8T117NlYk8jUyVaBKkrAqllzcO4sfrXi5M4e0+kunZVoBBvBqSq8XdelddT5NohxQPNxdayGVBdR5jLEZ0aFT8DS5t4hRrkMyk7siW3lXU2h+YHgO3BFRVkYXFfTtmvWBzNmsyXVeCyhi2VFYQtK4zbSYpSPh8BgVGMwlmkPYJ2/ZJQm4RUZQ7omEfLm/IfsecOCDPSena+1CC4EDVwMryeGUgcMpp4wqSr6ZsVqtcSf22ddLmgnY1w1orAO67M7ZoBcC/QRDRAiG0JUMgZFSAeiAFP5t9wuM0omoBY5iaJMM2x7neeNF01jiJ97mTNvAi0B5wxuPGFa1vTrFc1yIUC6quX/xqGIQHOv1TGkSr8j8n0zeOrEw5tINl6j/HMr5JtYWdxqZMpw5FFQ+f2IMkX5jjFOquyHWJl4siMVotcLVvMl7XpFV4+hHmNdKQUpzflIRxXGtKv1edFgoBWABzyV8eVE037jnmqI3YzkM+n2GnmBAR8EqIfCUJ04Qdk2rOYLmoMDulGFq8dUZUURbEYzMtc+erQ3lUD5j8jEaLyOXveE45TXKl0l44ZOyvA5hCG31OsPIdAAtqwYnygYNQ3L5VyKWFUVrqopnMNJeMMWhA6bjgKGfZrPnWINkVseh00VzpP8VzkUCS70Pd54nJO0IQJ01mAnE07UFavlgvbggL6uCKOaUI6QhIhhDjY81Gq0wqQaPkmGMsgxkV09wkU6/GqNXy6gWTMZldSjacrn9QyKFDamzmwY2GT/WesjdtR5G6KrjNX0IKmp4bsufWetTRVfQ/ZO4j0ukjKtv6mSTcjeN46n71qJsDI2hXN3XUsfC3BVtVTmb2NFb+tcwlPr5SIq41FpB0yQiCkfHQ/WubTuGiHgGbzUeVRTMJvYNoRA7z1d29AsFjSLGaFrKJ1htLNHORpLK8koB4LyxRjyLdXU1agScbbVRllAkBo2ie9apcdhb5ikKA8G4FzKbGyryCsTPNKOAIHYcnfYH1oUuTRSa4dUWePeHfdesb63z8wZ94XuE87/vMGeN5j/1r23rk8WGbN1j+PGdOxQ7tlrff7tTPr3OI95Gtcx12zf+5tZ3Auee9zwj5u3C0zPeefl67f1e/TTZbIteoFMVBg8eGc4XK/52l2nWc9XTF2ViqtYTAx5tJJPXdhMyMvDxYuSK4A2Vv+X/0m1REePZ75YcO7MGapgOTHdYblayFOsxUaFI5ih8rfiVsVLQAqb1e9lOKJYpdY88be+6zk4fYYQPCf3TlKUZQo9VumruemGXHCSQOoG+SflbGB6qX2YCsioMCwPj3A+sHfiJK6qaDfWO6RWNkG5iyoAygQZvFvZ8mV7cFh+kLUEMYSs1yvmhzNcgJOnLoe6oEMKebn4etY4UXC0YIZaIUN2TxPF2YY1nbTmGGJIl405VRFIRibtQ8/yaM58dsh0NMKePEnTC+MMsWJn3/cCjBW4JbAt/0leeBXquRIBaT3Sd5kwTX3EdX7RMFUvwmi1ZjyaMI6V0b0PKd9Xva/WiH9fhUPanmGY/AGUboJkIgDc5i7ZqksFa5OBQ4OkI3SeozN3E5qGnfEO9WiKt7L/6nqEB2bzBaYPVBj6BFkikcSHWusoy5qyHEEUpmm6dOw6R6mfNZlRSxUGJZyB+hIot/JG88MDDvbPMTIFl5+8DFuVdDFcneCl+mj0TPddNMj5kCzgebXQNM/WJOG+jX/zMehcyzIpODURIMScZ8QIpGkFPQFnXExvMTEPs8BWjlFRUVQd3XpFM1+wWK4wdc14MoV6hDMFxPzjoOPQXOREm1vKRdrbDPSoFbIjHahJKQ/PHehe0b78Jw+XTvOiXsZcX4jXpjZuSpPG4IoCoz2FTY8JBeVoQlGN6JqG9XpJd7BPX5YwnlJWk+gVi2GNebX/9B66IrE1nf6YUi+GI/dQWzt4EfU7/UtDxo1ho4VZfqT6EmYAyWk8PlBED6DHEAqHs1OmZUXXNizXK7pmDVWFq2sMEuZvNedXwTGRPkNU2GTSN9Y1F1Aqn5J8jOxqO60o8ZKQv3mcR6lIl95T06Kw2nkh0IWALQsKt8NuNaJZL1kuFvj1mr4eE0ZjcIUYVGIBM6nhltHq9vizhc0Nu+nIYWBiO2EwkA0EvHmB0TZPseCfRXL6Q4CiZrpbUbUN62ZJ2xzS1CNSPcHFrgHDEE02dZE+YEgX001gYkusbAx6TYhru4Fh8/eK52hEnlRQ8GkPeWNxoxE7ZUm7XrFcS7hwqGuoK1H2EjYJaf9tM7Ow8eCIMQDfd5iyBBOGdIHsTHnPsLFfuq5LHRIMlh6DKSzV1FK2a5pmxbpt6Mc9jCaUxkXZIezd6w7LDEIJN6exp52JLSysV/j1nH61wPYtI+cY7U2xRR3DjPOyg0jo7yCKxMhkNLJCCms6I/Vegu+hKES5M+JKkDUR2vFBjNsh/mudFHvruw71cCte21ae0/N0jY3yZGl1ZazD2iAYqeuwBsqiJBDoWkF1pXPYwhJ8L/2m+z7yPj1ijZa+TxJaU8MiR0ZDo3MjQwp/jvtUZ937nq5tWM9ntMsFfdtQFo5R9FCbokqh3an0kCsgzoNGBiSHkB2irAS/bXqaBxogYeYQQjJ+p3B1r8UuNHgxM7Bl8kzTXwagGWlale+IvZwzrLqOPoT/pnDue752W5KkF9/6LVzgvIsdW7zvovfJ9n8IF1Z207mJPsyF3+Eejkv2hmfWy0u5x732Rsc5HwD/pZ2/PRYF/emc7bXkmL8vaXhRedNCTyp04u20v/Dhes1X7ryLftlRuTJdLYQOhSti+LeNrDGkNRfc6hNY1n9ttHTrb533HM1nnD19N7vjCdPRmMI5bOvARwV8W/jGjzE4JUmTvB2Knp3CpYm2LQPrZs3hXWeobclk7yTBiQdlk2FsMjIbBfCGwqQYSa1yyUrHeYovVtosHJ0+y7gaMT2xEws1hcSM5B307tHyruPKFIOhMnPGaAekFudE2Lc1gS7+1q5WLA4PGdcjJtNd+sTc4hMN4nlSBafvk5I7eL6GcSRgqOPKbrQRQp+UBos3nj40HO0f0i9WnNw5wWgy4e6jQ3zXpnX1vWJtWWVVIGSpQ1LsJJQ0MvetvTAApE1PYOIDIYKBmAfe+45z++cYBcPezh6uqugJdD7mUmdezmQBj++r+0f3VhpQnJeEQ7IejvJKNs2VLH0GUuKhIWnGwXq9ZHVwSBlp15aSKuGctO5ouk5yhyMd2DQxcXQBtP9kWY0jsLCJxnNYpOHWxmYKQFxPAVriZcivMhFACx41rLo1szNn6RdzTu7uMBnvSR4WIVbPDhRFgTOSPiLLEdvtbRBQHBPZAAKoBzKg0TB6ukbFDBEzJLoZaEUrDQvv8kmhMMaIl8eL0q+5jFKwCLAlVVFQdz1907BcLpktZzSjEfX0JHVd4U2JN+BCDJeNrZJCD9YOUS0bvCK+l3oh8jlISsOGfDDpN72Xnhi2NkVSwo2RcEkz3ElVYGsMfRrNUJTSSCUvfNfJdaMxk6rCryMYPzjHupwx2tmjqidohBLR4GjjsMQmsw3MhE615p1J4zYDH45rmnP4wMAftTCYyialjRD8UNGeQJEIJNOWjABGZ2yaI+/A2xJTOqa+pm3WrJolXbPG1WOKqkK7UaS3McoOzNDSyjromoH2yI7IGzYxiUk/DaI/JJ468NrhdJ0T3Xs9xGr3Mr4iAmnp6+0oipKdrqVdLVjNZzTrJX6yg6sqCpzksiodJgAvGq4xSH6zFg3UdpDZuuRpBkqHdpicYdkz8lTl0RBloBpLMClSwRCNhPWIUVlQrte0qzXL5YpyZ4KtR9EDHY0sqfij4pGcrw4yofEdJm8XRICMXwwyWT3Cg7w2yruN2egioQbJDkmlc+Mpk7KmaZasFgtWTUM5nlAUZZqbpEDr/s2MMFqLIJ1ipYp5ipLK5y9syg+C1v4YPMuh71JhKgAfHKEcURYltmtplytWqzV+OqUoR1IPxbCBVWROI/+PvEQMkwZjRcUNfQOLGb5dUhcl9WRCWVRRhjpUJllrU0eZPhrmnIt02/dgYpcZU+BDh7WOLkixr/SasUuDNbGeS6RRG6TOTPBeDKnRQy7z0NPGtEWJ2GLDa+1itJOPGEA6kwhN9V5qzmAso9EIY8RwEYKP1cxFGWyblhCrkdtsYfpYOTxFfUQl1Ic+4wWJIWrttIHRhRDhhCjebbtmNZcWpfRSg2g63aGoR5RllVJuFIZoSgGaqhcYDF9A3sogN1bm9J+oTuGf0gYMeDhzhGlEoDpSE6+PvC1vfZpkYYipKlHxx4o89o3ILb8ZFPNNHX95oeAZzzv23Isdx11zofPMAADOu25bjnwz973oz5sn5ADknpRvHYsJ5pLO3wA3299pgQrDRpGOiz1Xr48Q74Ln/GUchlypBl2wYMRzaazjXLPmv37164S2p7KlgFQnLWassQKGi5KikKqT6R2MeqN7XFHQtX0saNDjrEvhscZZuuA5PDjk3N2nueLUCapKrLhlVWGWizh30g4nSeKQvcX2nGTKZlQHJXUqBII1eAvz1ZKDu89yWT1ltLtDH8RS6KPgVY+w5imq4EyCPylVkr9iYt5HfHwaYG71NFYqbx+cPsOJyZSdvT26zPoZL0jXqjz1fvCsyvdRYVEUqUBaAVd8vEISi/SMDA5WswWrgyN2d3cYj6eSq0607BqxoBaFhN1LkbI+Mr2QwpUUFw1AijQ3Ftk7Q3VuWaPgxcYdvMVZS+tbTp/9Bq41nDp5Ga4s8anokQoXi3UhTUR6f81H1H0Wv1dFLA9R14kMRqFQVLbiPEtBt0G49+2a2blzTGNFbWKLqd5L30jCUOQmSg1SyJmCLmNjyG4MnU4MPyShMygNOQAdBBIRKFlDavMmmzKwODpicXjIieku4509emvoo9DHe/x6LV4Mo/cOBOMg9HHOBLhU1YiqqmXVrHItDXsL2TqHnCwjbUUhahja6CGgVFvFtEEU2vVqyZm7v0HVw30vuw/UlVRmjrczGMqygBBoujYKeUPo+lhQLZ4VgcWgLEbaIlYS1fupvqH/ifSj9JuUFnTtfGIrg1wM6U8bI2C6TmoulEUhof9B+FsfJB+8KAp2RhX9esVqseBgPqee7DDZO8lkOhVeYWXENngKgnjjQyz8l545KEwp1C+n/6BRP5segcQw9BxMKi6Yh8GmEMKw6ZlJn8NQZCyfmBDzhKwbcnJD7wmFxTrLuK6o2471csHy7jtZT3Yod3Ypq1rCOfte+KgxkkMZwZLMsRuMKBEsYjIYt8XktYr05l7aplNRjIRfRHSo7uBMtG5HGLnMeCLtuQxYQ2ELnDVMq5p2vZJw5OWc0XQHW9TSxSHINi2KWJxTn53WLwn5SLshpUF5PwDu3FOd1p/o1cwNI/E9B4/QwJUVpPsQ8PSY2O7NFI6+D8Jry4q6KBi1DcvZjNXZ04TJGCY7UNSicMV9nmqNpH000EwIPuvxHdVYEw22WUKThirrkqXetBqVoYrCxmLLvfr4ZoXyB+/xpsCNHeWoplstmR8cEqolo909iqKM9B4z/pUVxGg3JRVNL9KILOV7GmWgFewHL3uUHREDaU0Dxbp9xDgDLcs9u+CF7suCotxlt65Zz+esDs7hJ2MYj5V7EkLsmx76WLNAx6ARcNmeVWyzjVdzo5rKbqWrkG0T73FWaaPA+57WgysdO07SIeYH+/hRTT3dw5siGaBsCGKwwkMYnm6NxVhPaBuWh/v06zm7VcV4MsYWpfSVNjYW54vy2xqpW+MD3vfCZ42l8z2dDxRlJUVvfYyksBZXFPjVMimaCXskYLS534uikGJgwRM6KWRmMhnWe0+gS0YSKYyL1MropeOHK4bCZ5p2UVi5drVcSiuoqsTZgtD30ppL08GM1pwTHtu2XcIUUuE/enq1zk7a4ppvL3RJxFpaFd6HQNetaedH0qKubSmsZTTdox5PUg/vELFKh4/zF7v2qEEkphsO+1oNojbxLaUhjQyB2E4r47N5DnZeQV9fSOtHGDtEuA4GpJCcepGMMx6NMn95rhPc4PueUF6qAnn+cc+K9YWUVZP9nfH3AUhc5B6XeuTnZiDsos+62D0ucu4lK8nHXZcKW5x/D/19+7fjFOhLOVL+yT0p1ecP9Jub+4sO4hIepmAGAQahcJxtGv7zf/0Lih5GroRYqEwtuUVZUpal5JVEBUwZvRoGClfQdVIl0fsgbaW8xwSPKQtWXc/hwQGz0+e44tQp6qrCGChHNT5ICGjhyg1gpR+TMMvAyMZbhQFwBqSoSDCwmC/YP3OGk5MdxpMpy9BJFUyUgek9FbT7VFiCgAg7DbXDYExIjJkwABoYLG/WGhaLOfP9Qy7fPUG9O6XxPlp+Sc/Kgaz2+VNmlr9TAuFZ6KQaZFTTVdDaG09vPcv9I5qjOZdfdhluMqLzAZ+slyK8yxgK1PUtXZ/NRZrjYW5tDoCNMj4xfmiP1wTUdeEKw7pdc+brX2dUOC67/Eq8sfR2CIsScCYBZzo3BgWPRMusMLINsIoUIxkUFGI43gDO41UkCo18MRgpIrI+OuTUZIdqd4+1WAJS1W+ChKirJ1Pnxqc2FyoEYmsW4txYMDFHVRXCEBhaujCA52QvUDrSftYG+r5jfnAAq4b7nroPdlzTe9AMIxMrmAbfxTCyITxTZJF47qx1VPWYsqjRnryS7mA26Gtb4U/9tM1gjFPSSIIyfudDAGc4ONxncecZ9sY1u5efJNhS6hdkzyjLEu8967ZL1c5936dUAhXICWhEr+mgPbtY9dsOe2MDwCsPiPszhu+rIWJT3JkEpqWWQ1QkjBQ6kxaAnayNNanyM8ZLmyBXUowKduspO82K2WLG/mLGYmeH6anLmI53o5FMuiGYosT3PV3XpnDEDX6WwNVgHAjxN/HKDKF0qeK6Er+C+jBU3VZ+1Pd9zLEcFG7d4ClNIxpKJUdz2H99QAqcWYt1xNQIoauyLqiqEeNmxcHsiNVqST+dUk93ZW3Fcql10eW5VnkgSTnRf1P0k8rRtOeHIwwcIlUVT7eL7NAo7UZwNnh/5V0SNsoBoyojsZe6N4B1BBMoxlNO1hXLxZzV4QGmHFFMJtiiBC9GSRur5progYNYgMfovIuml3I44xBUeVaesK0Y6ZF+j+vWx64PydAYkMKiUUkIsd1S6qVeFvS9p/eBoqrZPVmx0zQczg9oVqdhOsWMdzC2TGM0aDgtSW4oaFblP+qhsRODSc8XQ/uwJ5VXaqVjYxIBZPJtk25TtAxaoEr2cWcC5WTKqXLEcnbI4vSdFDs7lJMTsRWZRhmp13vY7xgwzkKXGRPjOVp9X+c/MrsN3DFsHRmZFjXVBRVppkYFhvkrCkYn9hgvG2aLGev1mtF0B19U+GjQtxhcbFWlCn0auxGDcKCPcjcRsay/VQxj0rsmybiB1aW4offiXHBOFBYfDXfleMqJ0ZjZ4oj1uXOUO1PMqMYHQxGMYDmDpE94T2EluLyd7bOeHTKylp0TJ7FFRXBDvrQqryEEiliXp+/FC12VI1Hwux5blNR1QedjOoOxQ30dI8ZJ72P+di4ndB1VSSQWTHWOEidGUS/tq1KhRx/o+hZXSI9pnRdjLK4YQtH7vk9FXTEmpYYVheCP0DY0cU86o+sSI4H6PtUOscZgtMOHIRkXXQyNR/dbpBtjDNYKUWnnEvCsj+Ysj87RLZcUzrK3Iwq1cUXkb0MKmLFWMLV64eN7hxBi68qIc2Okx9COLhqQgqQCuCz3faMdoR1kks6/dSqbQuIByWjnN3m6tTEVK0bBqPFN04B8lB/W2hh14FIUwr097lGxHppuJ+1j6wQ2letcEF/wppdwzoUuMxfXozfGdI83i0dgQ+k9/1Sz/cV597+QF3vwadzz/fNrj7vu3ij+et/80qQw3cvjPMU+H5aGz0aK8Ugbg9OHh/yXr36NKjhqV6XKk8qsy6qgKKX/a+8zD3FmEXXWSE9q58DHMOoIbkJVsGjXcWrsTAAAIABJREFUHJ47ZH0w54qTpyjqkmANVVXifaDxvXjP48ZKyxgG2tKXyRWBfEPrCwcrczg7PGJxcMhl0z1G4wkdgSJaAHtVEgPJ4yjCVd5HGLMCspBRgS7cwNhJ8yAMczlb0swXnNo7QTWd0Ol98rjHoOFQSUVJjDZX5NAxmdzLFW8TQ7K0s2hAclWPDg4wq5YrrrwCU5f0ydJMEoxFUUCQUHWfwFOm+G8rXUZDvkKKmPP4ARzrzMRK4C09i/khyzMH7NYT9k6elAiCEBI/CqnQlSjpzmlVTs0gisIhE6CDch2SxXXQUDXQQfni5r/OOYz3LI4O6ZqGE3unKEdj2j5EwNGnarmaY5WHcQFDiLSOMNJNAoHx9YgKkihlQ1hjPq8p1I8IGowI1Ga1YnU0wxnH7pVX4lwFwVCVUqBo3bbJ2DAYXkyiLRFGlrKoKOtRtNRr0cBhrtRYoUJeFJEB0GmROowRZZ8eFzPMjRGaCni6tuXc/jnW8zmX7+0x3t3BqwJlZH85azHOSn9O38eQ+hDb20QreFSuN3mW2bCIK+BN5yvnTTSicRvD3g2ZwkIGtIMWRcwBWRTy3oiiqYqPfC/h99YWQrvex1ZM8m67ZUW7XrJcrjm7+Drz8T6lkR3a+R6LeEjL6LH10Sijz07Gmkj76hU0kQmq8SQp0CZT0lTBynmz/psbTZRAE21HhU/5ddzrYmcI6XPQubcWayrwUmnYAHY8YbeqaVcr1qsli9VdqaevKSoCHm+h9R4XW8xk/uk4nE0Dz2BMyIpEZu+pY0kbzoAEOkXgGo1N6d6CbIeCfInWN4/UUjBFDkAwhq6oGO2W1KMJq9WaZrbAViVFXWFwUlgpGgEtEpkVgnqsSMYEfQelf+L41EOcaD0MQFPfQUfrQxgKHSnRRPDlzFChPYSA1/7XMdwbUxB8YOU8tq6ZlpdTryRUuVmvMeMxdjzF2YICLUQZEl9wdjOsE6MVwzNlNMnwDItEodX7Pr3zwCyH9d/+HBiiSLBWKoIH8Wza0jHdu5yyWzJfzliuTzMaT3D1KM1PGhNh6/5xToMaOI1qfxvzORjvhj2XsGAY9teGYVN5jLKz+J8ehxsVTKuKbrGgOZzTV2sYj7CuoIj516BGJZ3PyOfiHh24XjZ2Bn47hG1rFMGwfmKc82nMvUfShKwjWGj6Hmssk+kubbNiPZvh10vMaExVjiiNi4Y3jzU9YTlnOT/EhZ4T4wn1aBQ7LWSbOz7fOTcYMa2hqGoAmk5atJb1OBozJaXBWfFQdl5zpaU1m+TdKnYWXBWMRvpFyjNgzGD0sE7ocgjvdom/hN7T9GswJuJcmTff9wQjrUfV+KVRdhJ1JH9vVsoXTNCHnq5pxbjlUlWWQR/THaIyR782Jo1fZbn3Ad91dKs566MjumYFWCY7O4xGU4qqJliJnEtFO614xG0Rc6v1mZGmySqhw1DjQZYr62ZiM+NIXvsk7q2hgjwpB9/3gxFwaFsXIMmXge8mTGkGFBnwqb+9tZE3Oiu1T4yBvhte6F4clxwKnsHa43887vO9PY5Rzs0wI5vP2P77Uu67fRx3/SXM6Yaim5SKb24C1MJJ2LrfpV7Lhir2/+2RZEG46Jwrw/fGsAa+cfYMX/+Lr7NTjyWcykt1Rt0AVVWK9Q4p5JTy6ACCqj+W0AecKxJoVsDcW5g1S47OnsPP15za3aOILbrKqhSLnu+jgjwAGx2rITqtImgOxwCipIgi79X5wMH+Pt1iwcndE5R1uVFHMAksVa7jBCYWoWtuGFquZABH7pFb3gbv6OJoRt90nDhxAleVSakmEMMr1UAjD9FWSolGj3k/0aF8ColMc6MKb+/p8aybFc1sQe1EIcMW0vfPKMxBvLBRKHSpX+MmuFAaSgLZDADBxXyoTVSsY5TFavuew8N92uWCk3t7TCc79DFkWt9SQby+akj/ifPuFbQwjI8B6IR4gRonlMHrGqVwYTMUiumbhtVsjjOGk3snpZgWIUYlhA0hk8+vWhL0uZobqsAxCcUwhOcnZU7Xaws4kl1jgWCh8y2r2Zx+1TAux4ymE3pnwRkm1Yiirlg2Deu2S+PzDC1kQpxXa6x4qUup8bppeFVmvbWAqlDFRUi0FoHeZj0F+dqHnuVsweLcIdYHrrz8Cuqqpo/0bj0EZ2L4ffTsxT2eeoenZ7AhXBVcbsibbKhETUrpdtOzOSjKGzspU6qNtSmKYLvCrShdMUQvzy0l0Pc+ra3m23vEyODKgtLt4uoxzXrFerlk1bZgPL5ZYZymQEixHkPs/0k4L1IGE+tD+CEtY+CIGp439DLVn3XONo1i8d0S79HpCAloBQzab1eLz7E5pRtFzowrCKaP4e2eYCzleEpZ1bTNAr9a064a+vEIU5SEIBEgxmgkRI6vMkUq5DxHmUPYWEfDoCDL+uU0kityA81shmbH2QyD8VQVWY2AUEwz3MbgrYGykkJ2TUPTrGjnR9JjdTSicJWEXyZ5NKBoA8nApu8EW96fXLnTvaB/MyyHicqRPgE26VcVDqWXEAJ9P3jrrJMw9s6Ica+Y7DCtx7TLWawgvsbWI+rRBGsLmacou4QP+jSPg6ddpzrKuqTMbdLkccaMRGLHGIFUkc1J0cRUpt5ABxg7ZlqWdKs17WJJt17ixhOpJ5FVldf5SkZwJZlIC2rYUJms5GSMSTxrG89pGlQyFEXFMbU5VAqKPcNbI973cmcH19Ysl3Oag0NCXWLrEbgy3WtzLhhCadmc34RjMowSchJgMCSERIyDzPW9xxupum0L4UkEgxuNmZYVzXrNejanLRvseCJrvV4QVnNM1zGuKkbjXZx2mIgTJ1AuKmcZyhIl3tAF4a2uqlOBWjU6CZ+I+MTYZByWkP0Yqm9J0TDH4omMV+r82Sg3fNdHj22GGxBlGoy0bYwdcFKv68gjjYnnxSjBHBP2XsLINd3BxDQBEwtz6qiGyCqSXM3pXjFj37aSbrOY0a+WlCEwGU1w4ymuKjC2GHgy0h3AOJtoxWf3TXgmyjLFmirbrLFDNJril6D0pc/QQQ4RH4n29LuBxLK12Lx+MLiZgX/oHjSbDg1JQ+oxVlIL+647bx9+M8c3EQqu4Hn7GEBL2H7TDKgoVNoEIcMttm95wWFc6pELvYvd+1JvPKCx4+9579fgvHtse72PP/3Cv+ce6ePOu6f7X5CgzPZ58Qm5xoIuuWUd4Bv7+3zt63dhO089LWmJAsUIc0w9qu0AhgI+htplDIUYPtf7xEAsEvI7Xy+5++67qLogSnVZYgppQ9D3nfQqzgFvVkBE3yvlRW29YBLk+pWFdd9ycPoctg1cduIUtiwGb1xQLxvJMiwXatilHx6dWZ1D9kAFdBkmRIxoHYcHBzhj2TtxAltEq20gtc5K2CQDhXkvP6WNbQUMSNbAgWkNdTV98KwXS5xfMRlPGO1KxegQBkEjSrGLeeJS+VuFUV4dNaf1JJAY5joE4KHP550PPM0TXvjOCKTitdbQti2zcwfY3nPl3mUUo1oKqTEAwZSnm/XuHMCPMtfjx5R7avVQJVpCvRW8SlVs5W3r+ZxmvqAejRlPpxjrxJMfhWAfF8ZaG70v2T0HCojzr2POhFVSODNBbjSXUve9eiUTM5E7WujbhtnhAaYP7E73qOsxgUBdVownI5pW2ogMT5drrXH0oVcxKQLSOarUKihTNNQ6zCDMJUdNT8mFo56Fnp0UDe8CXdOyODhivVoyrsec2NmlL6LRRVYo5uPGsNTY9zNEEORDoNA3SfOTTfKw4EmxGKJCjFjbOjVMDe+uYe6bhyoEw546zzgnX0bmEHO0Y4GYoEYAkwGi4OmC1iswWCRsuDdSjbl2E6p6RDc7YrE4YnVwgFmvMZMxRTWhxOKMKtgRPHjd0QLoHvqq93DDqX/L9z3jFoXacYsMAjStlYm059mMEo2TOgClbF4Z1l7xk/62ETkTgZ56rVO4qe6VIEYI30mRoHK8i61H9OuG1aqlD2u8b/CFpTdjXFHEqmXxyZmx8XzplhjmQMb5fkv0krDf8J6JWdp0H4NJa9nHFj9kp5qcYWZjMDHXU1MFbFUxLkv6dk3XrOlnC0LZ4EaTGBUiIfU66sRH4viE3w28I+TDzgCqzkBOp8pfhJfK31KxXL83G/Pi/WB89L3HGlGGXfTu9wg/Lnb2mHYtzWpJP1/SrhvMZIytRjjjKJLCM/DGtPfUQGu3B60KZzabumdz+XYcFgpaUXyQyYllWgd4zTbA+IJyXFKUlRg8YgX0ajzBlFLHJdGMEW+29brXhnchFZsa6HODL+Wt3OKLDUYhoWDl8bljRi01WkOiA2xVMnG71Os1zWqJb47wVY0Z1VhbYMOGtJEQW6KH1BQ6oMguQ7ZNNiY7RW/k5+UEZaIS2AeRmdKGycXdaKlHBXXf0K7mdKs53gQcnnFZUo73KMoq3ijOlipHTvmHHM5Kb3jxQEvOtImh9D3CTyTzJ6QCqppeQYwugiizs9UxxmC9x3etdCiwYrRUvrKJmaP3POZO54pcCIEQ7/3Al7yDR9z9VK67NXYCcS7y6Dj/IUbeGPX8e/quH8YTa66gvFPTmSK2TumFSV5pdQIxpHbdmvVqSTuf0a3XAIzGY0b1mLKsCc4NNGVMTA3TwmQRRw5Fuc/bX/meTPRrsn0ZEhAWTJV4f8QBkddoBEKu06hRSaMuxPMsWCithSrZJhYIjvrEhvLvPV3fEvpYzyWmtXRZobl7c1x68TIzAMGNI/vKbP55Cfe8xPMGtLn5THPMOYFLv+9x49gAC/dwTY4YLnSve3rmcfe4hCNXjo8TGH/7muv5F98+uoe7rPnPn7uJD38JHvDk67j8/76JD30JHvjk6+Pnh/G4F/xN5p+T73OLoOEf8uPXP5C/Xss9PvSlOCEBLJaVha+dPs3R/hEu2Oh9gGte/ib+6f5HeNbrP4exhrbtEnNzTq3q/4yn/9L3cOeLf5WP+h/jha+8jM/+wlv4kvfYwtK3EvrSE5j9+HN58+5n+KlfuoOTz3kdt1zxRa5/wxcwTkIh26goWGv53utfw093H+UZr/tC7JWpk/5DXH/jI/jOv/htfuamz0fhEeCHruVNP3CGZ93wXiw/xHWv/36+ct1L+bWzZ6gpOHnqJP/wBTfysDPP4RffbnjML7+eb/3Cc3ndp3V+H8srbrmcTz7rJr5oHsTz3vRj/I3/8iGe8up4gjH85Kveyt/+kydy3U2DV1mAD4Ol2lja9ZrZE17Bp77/gFueeSNfNCZ5ulURDMHEd3o8r3rzldz+9NfxBwrSFSEagzGP51fefCW3P+N1mBfezLV/a3IMbSz4w/c9m1fxPN7xgNP8+FNfA6sVu6eupJpOuOY1b+RbP38tr/5dYW7OgHMF/+j5N/LY8Ds86e5/wvv/6bds3fPrfOKxv8h7AMzjefVtP8BfuxBpLr7Mrz3jXYnieMor+MB3/ilXPffNzM6eY1KMeMY7PsYD9j/Ak191R9RXfAKCQlMG48H86Mv44JMv545HPo+3+JDkfm5hT8rgVS/mo1fDG6+5gc/l4zHRoxqCeAaIOc0OvO9YHhxA17O3t4erR/irXsKHH3InD3/amwjX38zt9/kM//LnPx6BnuFpt76b77jjsbzoY8Jwnvrmd/Mdd/w0v/DbGfB++A18/GF38qPPvDUTKbLmT33T+/k7f3w1v3Xlu3nR/aebczf/d7zy0S/lMzJIMA/nFe99PP9oZ8Yf/Nq/5MW/sye549e/gY98y+/zuFd+mtliSdM+hbd+4Fv4yON/hU/yTN7ywfvwwUffwOcCwLP49U98F3/4L67jTQasezgvfscj4cPX8UufhH/24jdw1d3X8dw3m2ShF5luCTyOG9/3T/jrF1rrOOYbfvRn+UOkyM56veTwzFnKPvCc2z7CX/38M3j1pzQpIYrxIuajdWK40JZqqtSkXs7WQHgYv/C2a/i7x5H6Bt39B25+6qv5fHgYr/vMP+bPHvhobuERvO5DD+bPH/lMfu2Rv8ynn36K2x/8TN6Yy6EAxlh++NXv5Zq7fpIn3wg84uX8zkPv4p8/7Y1p5VQH++FX/SbX3HUNT3w9mOe+mf/1b32ZH3jKG0Wg+z4q0z/Kaz/8RO73Z2/nIc//aIpyuPZtH+fvf/kqnvCrSF/s8QjbN5Rlhe8963MHNNWcajLl+bf9Lg8/9x4e8qLbxbgVwxP74OmuegnPv/8U+CH+7Sd+aGMaZn/0bh78wo8DhvCcN/AHD/q2C07Z7I/ezYN/4fZN0XvdjXzxu/6Yf/yMX+dBr3wHj7nriTzuRlIxLmDDYxCCFNb74Ve8k5fdH/7g7U/kZ387QXUwYuB58GvfzTV3Po7H/6pURrbj5/Bbn7oPv/mw5/KxxZruaMYyWK66+WO88ru39sV5x5wvvvWxPPej8JBfuY0btvdRdvzxpx/BT900eDly0KVKn4mFzTTSSHqXy28x63dgPHqd3C0qqYPXX8GyN3Ddu+/g4WffwYOu/y3WTcv66EgAou/jWoak8D/7rb/NP/jyI/jp1ys4ZViVpFwn7WgLuJrBsBNH6MMzec8d38WXHvozvJFn8u4P3Zff/ImX8ik1pgRDeMQNfO5p92P3onP9Vd73L67nJg/2Ua/iCw+7k4c+4Sa61YrF4RHXffADfOcdj+E5H6/Ea09ILeqefes7+Wt3PIHnfUwiLB70ynfwmDufyBNvthtP2PZGX3vL+7j6277K+x/+PN4Yp0ENY4HAtbe8j2suRNZf+QL/5FlvASz2utfyb75vn5dd8wr+xi3v4zHHXTP7Q176qBsIr/4NfvLOJ/K4GzW3VLyWAeCql/CZh97Fg55xa5I3z771XXzHpx7Pz34MnnXru/gfP/U4nvuxZ/LuT/xDTr/18fzsx+XaB//Kbbw8o8+jr3wF823fxs7WMP7TZ3+Cx904RP4EZN8U4wllWdKvVyxXC7pmhZ1OoKx5yKt+k5dehPblmPPFt/wUP/vRh/P6D/0wf/4T13MzD+dXP/CD/PmjrucNV72Ezz7lFLf/yHX8GkQoGJXCq17CZ55yP3bm/46XPvplfNrHPuzWSoSFC1gTMH2LaZeUfc+P3PoZrrfv51Ev+jhSVGSI6AJJudL1/Gcv/w2eYT7MT77sEzRdL+2qyjLxuvC0V/PxB3zrPbzf1/jY1S+gf8vHeOSFWV06/uzzV3PdLWDMU3nDO6/kw49/Bb8Xae+BL3sHj7j7SfK7E4U9BPDP+lU++YN/ZetOv8EnHpDf9zE8+81iiFADV++fwk23XcmHfvJlfB5i/Y8sOg3Dk26+jW//9GN5yccNT37jB/mx7cd85V/x0GtvIRhD33c89U0f4+/80fdydfd+fv9bP8rDnv0BytFLeOvtf4UPPepFfB5D4Nnc8skH850Xm4j5v+c1P/lSfu+qG/jAE/4X7omKmP97XvvYG/gCgQe8/F088q4ncN2b1Nj+dN7wnvvwkZ++gd9DFHnf97FdreFJv/YBvvs/PZrr3pTxX2MwPJ2bP/yDhM/9BM9+k+rMyqcF5ycDVORvwQfarqHrOonuqCqcsbRtKxEAvk088t4cl6ZYn2edP/4I5/0Vr3vYk/m5+10+/HTmj3jt2z91Sff85o/v5ceueyB/vT7/l/V//Tw3H9yf598PvvSat/GF4y7fftVLtRboedm5F/UMhwt8BuBhPO4F38Xsczfx4SufzPP/xoxP3PR+vpzd956O//C+m/gyhvA9V3Pdd+9z89vuSPd+7PUn+FJ2P77nau7PH/OGL8nv375zJ1/6Ehju4LZXn+HHr7+eH+cmPvSlAN9zDdf94HdQA3f+u1/h1Z8Ew8N43Au+m/vmA7jrf+NRnz/Bux79XZyHZf+HR/LOtzxy46v/8sWf4YbfMFRlCTZaAdWCD4DHFk76JZYlDXA0+z6ec/+ezz/5M1y+d1JAmJFctM4/gGe/7iGE33ke//b+r+Npf3Mcn/QY3v3Ox7D4j1/kT779H/HdE4Alf/Sh67j2sx7zuF/k7d+/8Sa8883fnz7f/y238s8B+AafesLL+H90dCHw3p//v3jFu17KYz59A7/JsG1E4H+G1z3r0zzml3+dt74g8ORXf4Z//IKb+J//9Mn83NvAXPt63vot/4Ynveazqaeff/Bzefs12/P3bTzztrfxTP3za/+aq194W/acTctOIBZ1yKhmm1/8+b9+Ej//9jysk8ECHl7HHT9wMy976JzXfmqP0WRCizqDYjgzYhnmQdfz2BP/B098wR3AHVz9NpPAonnyL/H+/+lP+Q1E8Qq8ixc+7jZRgh76fN7+mG/nT37rZ3nN73phbmpgAIJ5CD//9+EjP/0GHnPjh3j0t2eD/9ZH8d73PCrOxe/zqJ97B4SH8gtvvZq/t0V4P/aR9/Jj6a+v8uGrnsuvhx/hFe/7ab53SyK88OMf5IXZ33/6rx7F028G62OBjmh57ds1s4NzVLZg99RlBOfwIYZHBQm/9b/6LD751o/xlufcztPfkFvY1dIcuPWO/8zHH/pM+O1bsrWMZ8YlTUWJrn0tDz33G/zozeD7x/K5CNYD8EO//B6u43/nsybAVS/nE0+5HzvAf7z9+3ngjSeox7/IrXd8H+fe9lh+pRTAcvboIIL8N/LsD76S33rXz9M86sU89b0v4/Zbn8HnngZv+Z2/yR/+yHXcGmnDh9t5+RMrXvKOt/L6v/oUPibWieRJ0fBKQgB7G9dd/c7M6/sgXvL2H+ArT3ox74hi4mj/DA2By6ynmR9x8I072Z1O2NvbxZkpf/en3s37fypfoa9z+2N/gds6yad00XMvM5aYRia6PsWrnnIHPnh+4EW/zsNPP52fe0vkzk99Fe+84vd43Cs/mSza9hkP5H7/6aNcC1SP/Afc79x/5HkY+PCLePCHfoZ3ffYWrn3wM3kTgWe99Xau/qv52H6b33vQ8Nfvf/KH5cNffIZ/+jR4+wfvy//5Z7r8hmf+rW/jT778LDBSQd93PkZafJTnPfIjXPv2T/C7rzU85Oc+yoNf837+3pcfzhNvNNj/l7b3jK+q2tq+/3PtnQBJqKEoVQELKng8igpYKCEFAiR0gqTTISSBEHoIPbQUSAiQUAKEmg7pFKUJKCqoCIqKFAGlSRJI2Wu+H9baJeh93vPcz++ZX5K991xrzTnXLGOM6xpjzNhAfvNieoXvQTUqKPXq4bk2m6h/PTOZW4/hVO4Yy8crpcMI+HURRcGNyPUYzHpdoTIYDKghsZzo9AN9Z+UizGpt3DTejwW8F2qKwfgkCwtmSvJ+3rmTa91ThECVnsR2a8WV0+HmWY5VedR2IgtQYdHxPFm1ewydr6bRfUBrtuVtYY0MICzLys5QlAG4dnjI+bkGLbo/Kop3C7j6JUfqOmBUa6BGpebJU6pqJD8UuOC/3lGjTyNQ9TgH5jSGIZvSeMGMkUi4UjIU39jalEmEwHVFGp8IDemS5owKofGccbVK4JeLB2vKLIOIzfCnBxeJGraQQ6qKEINYuz+AZqe88Y0FgRdrDvjT3aIVlXNq42jCs/SP09fzuesz0n2bQE4fDbR8fPzFeroFbaYyajfn+7V7pm4WZ1xtPpddYMHgBRSbl4XQ1ogZQfsbICGtZ8W0zS60/GYbCYBCEl88yGTGioEUROboVVVEdhS9M62BfoRuADIjRYJBxB1wASEwGgy4vt+emz9EUWk0UNfRiUY1Prwkr5C9+R4VjvWoo0C1BIHEjom80/ghctQ+TgXb9KnzXk64mIfvO6JHLqYY8745nq15vaB0JD0K51OUuxo5cAaJ5u5ZZmA5p1ODmJFr5VNJKWHQPIrcbIT3+Ag+YBUnksbzwRQfEgfMpdDtDi7jkui/fDujbvswcmk5lVVVGELTcds+DzdlCblSj4pssDE0Ulvh9ORz+uYATKRr41/YmQ2IDfj2v8HafdtYIwIIz4ai2f4Ui4ls39uM9BGLKPaKotj9Mt3Gb8BMkXVdvp3RWgct57iKsLAgFKMdwmCgfh17npQ9puLBfVQHB/IjfShU7DF4RVHofpvuo5ZQp64DBvtw0va3YNfQBZToBmEl3IXOVw8TjkR4v0WX+5cJFwKZtRCXrInsyI9nqq5cuy43G6tukN5/GOsBEZbAaZfaWt+VkkGMWvyI0LRjjKllaQ8m/2Bwrbo/Hx5M2PrJxGb1ecZQ60v2AV+eLT8fG0P4xll4bdI+a9Hbg4nd0oyc4BiOWXIYKxgUAzVThrHm7i1MBoWBiYWM+DOAkCSFoPhU2hQHMD+rWkNMjYpG1prYkRa/HuMzocVskUCHxg+4EC30cxBzUBZtxl1MY8j8XAwGAz2jtzD4bgCT12sR0XtGb2EwWgBaRYwndl8vOtj0JTI7g0jg6uEhfPPqAdzub2fYgjxrBakr3bKcc1sDiMrRmVCDFnLAXWtPVWUFFR6L6dfoDCvnllN/iUDYOeDQoCFSMeqKqr4eDImEeG3Qz3IQYhBRO3pz/ZNQUtDRX3S2Z04Uw/PMwT4nkLCjGZljFnF0wAL2u/7B8JANWhPNgcYMg+j14kMuROnrTIIY1Bzxy1d8Zr6vSTOiByXsw9s8ZVrtJa8X/Hz0CLJXb318bpI5eBhbFLN7A5agqKpUbQIlas+qqqqiqqoKo8FI3boOGuNNl18wKBjsjFD5/1qxrkVZ0Yt5EzafjmCNWG6xMOtVhQd+nZ25ezGG7QWaEuY7swshI++xbs9ZrY7Fsvo/6LD/pOw++7/5+eIsmfFntRt1HcnU3k5c1JVoKYF+Xf5+f9uH6oeOOXegVRv5D+35H34XtpSeZ6+T5j9/V75F10Y0BMoA8lNYlf8Pz/sPxXxPq73/mfs/e0EzJ+o4t2Nm5JuWrzwjZ+FpW6f3LGb2uMbBuD0knINOo0LpakFhBFRe42D8Xr5UJVdf9WbDe9U4HV7P5COCRxVlfDw7kWlNvsF/QTpCwojF6/joURaT1h61KBAOW8MTAAAgAElEQVQjFsbQ8vhMYo9qVippUsGot9agUG0azLzlTSmcv5GSsgoeD3uX1349QZKDE1JK7PXgEdVSZViUFx2vZzH5iIIsLaBb7GAafjWJsKtT2OnbhE/X3KZl/G0Kgxezz2BA6NfK7UsIShO8FzqFdnHr2YcEoTBk/nKaHhrDyuJ61Hdy0vyaEXQ3j6kAKdOYfyKaHcvGsGtOmvbDo3saaqy/i/TZ40kXQFA0ARwiOFU/+BLD2bokjkjXElYWuRKR1B/O/4a8dQy3sfE0atiAunXrWlLiaBRwM53Sn+X/gP5OTUtlquXT7xz0m88vsxKYqiPUU7cn8OvvABGkJsHWyWs4Cfgs28wbPwUxUy5i30e6pXfyDvxegwG9bA5FnxR2+wAVl0ma+i3dBjTgyIQYesxeTyAHCVpRDEg+nJ3AlEbnGTU7DRSzzi4Q0o3IDcP4F5dJDprBae3IQoxdyt6P4KDffNJQ6THrQ2p2T+L7eTsI+2sXvn5HGbEihdd/DGRWitkfWhfsxi1jf8dHfMXvHPSbx7ox0RS9epn+oVutfkyKouWwHLSATFf4npscGBjOZtsUdjZGCouVHEDRmAKKgpaO5eFf1KtbB4cGDVGFOSKmSZ8fmmFIEYINE0rZdCiBCfHT2CQE8IDfcgVSDmDZXn/ecwToTM4y+K6Di/5ZK6U5Gpr4Y6EHoSljWf/+QxJ88hifuJe3fhjK+HjtWROSs+h3fxsD5uZp8y1rDr23PsJtXT5+9s7UdayLSU0idIDCurwdzP7uAdL0VFvF6gCW7w+wPHfOoQzmmJ9/SPv70qEMhpVfZMmwBRxTQVFKWBJYghTw8Txrey2+3kKjbfqv3ozXPwAG7+xOwcv2i7KvWDwskuKKapo2bIyDkxOa+lTB+V0TWXEQUDRkWEqJSWrxGATogbtE7YNEWJUy8xzRfN4Aixhksx/qCLcUgg+aNcLp9cl8eW6ypXkni220ZeDl4jxGXS/hw7ED2aB4E7OiDTMj1+nzZgop+1uwe9g8SqQNOuu9iOfv3+Gy7MC/hQCm8nYbeKlNDsefUYaiB8+hGFgf5EmSosD0JKazF7e1WgfF2smsjUkkfuheJlSupzTYSM5VuFzkSeBqEFWVVD6t4Gl1JdK+Dvb161O3nhM1ciBxexpz60YrfAoy8fnbm2nF6fw+ejO203d2nsW/XjRpjhuCYinBO4qBTS6yJl7B7IsuVUnIRl+6OQIuezlpVn7Yx+cuNo+4cYQeEzcigb5Lt2godcpw3HJASAjwvMnqvfv43P0IPSYkIxnAqt1j6OYI3fL2MpJyTm/25Zp7F15u04XjJQGWORTtPZ8aBaTpCeX3nzJz3wneveyFf/xg1uzxpcvVNPrOyrUxvpjdWcxKtYbM7hwaRckzp6UiFF1heEB6vyEkSJBMIq0gk51iCGNi9dPcsTOjwwRFsQZqVMvUQiJwixlGdy6wsF80RVLiumIH0ePXE5JVygsZw+DqAx5/sxWXmRCbMRy5y4ewLGt6NwUwmmqIzDlBuz/+5PH5RHrNyMVgVxeL/7x5YusKkTAoSJM5PR6WNWH1k0cP9KgJmQqghq9jdOOLLBiXo81fVSU+uJS3i4YROziH8CyBlIOI229rJPh7uVy8jT8lqNU19Fm5Q0dHMznXF8q+2Y7bnT70aNeaHudOsgqAx3wW78qUonq4r3iPllczcZtz0NIt12Vb8LkbTEC8tLw/swF5cmK6jlKPYj0CWIJb7ji25u6m8OJO3OcesmmZI92C9nAy6B8afeOoZf8XgEyI4AMp6bs0lajODsDrnMnvrdV9M4cv3W6yu894Vj/ZzaQLbpxYEkzfDn354B/G5fO83pRd2EHfu42p3/qNWmyRRYcOsMi2cvA+Ph/1LVEjF1Oo6kZDIaw7l5jEtr3N2DVcv0pHis0yujlgHUJLL4YA1WhH3UZNqPOkHuVlj6l4+ifGBk7UMQu8UlqDflruqY2zS4vG1O/ix+f5ftb+PMN2efnQAXxuHKbbeD+K5UDW7O+NNvO1w7/swnZc5+SiSBN9luzEp/IODqoRB0MZX6T4sChPD3IlBEJoZ7UQCr2X7cQbASQSOjgJo50d3eenMpEMRi4qxGhn1IxnuqFQk+UVAtZsZ9A/nD9h6dsJs/n88zFfpv60gKLgzjZMgH0c0l8zAfsoDADKL7LSZwFHJ8dR0KsVMJq8faPh5jE8S5vh2qoVjvvT8dYvu3p0JKFJGiPHsbMvhdm2BoB9FPa2frp6RKMsV5vWM3ngOhASgzKFhJ3NyfgkmqNT4ijokwGHhzI8USDlRNZn99EUzKAMDrkfJhNHugbsIz/A5jHXiym7/wdPygezLuAVvk3tw5u537G4LcBEiosmWqpG5ucxtNSbbzplMfhZ5BvomnWAWrBY+bes9l1EB1sFGIjI3E+E/v+hjN56/4YRmjSQqO1jeMcR3snYhzflfLEtgBt936B9qzfIyxhjue8a/yVsCz3Km/vf5f62ABa2jeXgew/IShJ4vWtGv7EEatS2KanT1kGRBotPt6qqVFVVIQQ4OOgMDt3HXqrm7VKxZMNQVRP/2/JfINbyH/+1aIy19ehnKyHeaUhDKrn5h15H5pMWY6Mpdh1FiI6Ago4q7zlLLeT53j3uOjtpCO4X0GlkKJ5t9St09Fv8/dH/sbQLiiTCGV0h1NHbd0batOUe52JSOCY88Jv5CtyD5s5lnItJgaBIuloAeL0eGm267Lcy2rd1xkKz/gI0BLoLzbUeWujXnUaF4tnitoZG688pO3IKemhtaN9jJJ2aOeFpRqy72rSv8poFxe4ZbNOeexdYmfKfNXELgoBuRMjfzEr9EtFvLH6ksC3/774jAkGnUaFEmMeeSCI7w52LFwDBk6pqfrl7l8p2KuZoie+Hr7RBi7uxbZMV/eU5b7Zt9KbicjaT1h5m789/sfXD0XD4tpYaq6qaJzpV3FRdg+GTF2ly8wxFjx5S8ecokvq0QvxgB4oWVVGjOzdn2poETamOPYKq9iI8bjBdHIAeSWT20B7tEd+da8Ati++GfogKgWQU7m3b8NAXTDvgyahZ9HveAYIzOKAbUCsuZTBuZYluW7IR0FMX8onQo6q6NaU5f2rfu4axcVRDjgUsJN01jJQPn8eBYaRvG/bMxJxO96K1rDj/Aakv1gf1JlM3Z+H5T0ymikskTlzNCan9v37iGk4iAF+Wb2jGwYlrOCVASFciNnyAAE7FTOOEazhbvARbJ61GRCbQ/8/VBP+5mPRlvpz4qSOeHGdwciVPHk/Ga42RBg1DWJTszE80pOLSPgJXFPHJinW0PjqVtYcDWbTOmY4zPHjLwYG30rbAreOMmFWEcI9gi8+ryEvH+arhh+xOasq6Cas4pQiQrkQmDeNfDgCvMCE1iQnmfv1+nOF+2zQ/oCo/+ndqScdOWXQt/57ESUcZrivVc1IA6cqsjR9xY+xsdioKbD7OVxsH8DKPuIUbi7u1BsfWHDpQ+/C/engUkxK+4vsR3rzGQ1iyhaL/kQ53kwMDw9iEnpecGirLyjCVV9LAyQl7B0dMuvQha2ow2aT1sqaQ2MCEAeYDfwBtG8NvgCCPuSM1q3PvpWkMv3sD0eEG+z1DSPaKJsf9Ll6TNtBj0TY+QRIU35OOjjAnZy9lF3cwMEGgTIuj1KU1P5aW8ruLP0c3tOZD/9WUey7ls9C3dSHhIAVu5ZSXO8K1vQwZEkjlhNXktQChgkE5yNzhuTg6OiAUA4/Lyi3IM8LsYz6JTfuagwCXpVuY1fnZ8Uohq6ft5wq+3BHCouljuTovHu8/QgjdCODKgtQPuR40n80CpEc4+3tep8+QKJzq16eF83xWZ/aubSgavZ19o633Pb9zIisKDZbcn9Zi9ZFEWim2VgqvTT3dUm6pD3pgQ8nJxWPJuv4b5ZWVDEzNwPXMZKZnSMuRp42N5uslhECG9uWNDg+YjGCDEExMduElR1iQn8MCAMr5fPNoZrZrglObLixoA5BD6qvXef7CVj6605f85sUcbDKCdgWnaOoBJUOXUTSuMXluE1nntZhi1zY4EcjJQityCUD7lfTrM4HcwaV0bQLcmcaWkr688g8z+fGXiXwUmc7UYZmEb9rFvRR/InLMAXRMFtQfrGlKLArGC41xcmyEmzeUZAv6vtceJ0dHog7uY/qFNNzmHEQNXYtP65uke4ZqKKcQuC3byqg7AfjHqZhUFfQ1IbyiKAl+Ay7sIOrCYKKD93HSFqC6cYQPfniFkwe3cjolE7jJ7gFhrJcwJXkrLzCJfze5yKJ+UZRIyZPycezMfw5VCI5G+nA0fA8XT7fhh4MfMnS5gn2d3YQNzcQ9Zhen8325XDIU3ywwmG0xlr6aFSpbq7h2Rqh44tbBkSslvqwzK+QyCd9NNwhhgHWcL1yEvnFMWTOVBKyKkAReaeIID+5SpI91ceQnVrT1lAvF3RvDVYGY7kJ3J0cYn8PZ8TbjUnaR6KFRrL14j896NYMr3dh5ZDKv/sP7Bnj8zTZcdYTZ3E/t/dr0z8xUMnc1fB1nXCHdYyHFNpHbBOvx29SCknFZ7HhhML5rcwkfkq352Nqcgypg0lE6o+JFbA+z/Keh+35xAmNYAoUtBJM7NebUpsHMzNT2oomb02hTXYnpgRuu7R25cTqDmtD1nHGxRfF360abCg11breG4y6tuFI6kj3sYWTubkbaDtmFnawRgzmR24s9AyNIBAQVnE4JZHquNfihlMCAORS6mefAOLbk9OQl/TnFwJXSUQSuE0xJTKFdURAzs/qxcm8vRN261LO3o2rVeD6srEKtWYhdfQfsHOojpAHhFUWx+13cJ2iuPYrIo3ucNihyWizbRRj+cWbDh40bhHn0LR+tc7I2Fq59ZzY2Wq8T1o1PasbfagRKnXo4Ge2pqiznSXk5VZU1gIqi5xC3RezMSHtRpC9FekPcVsThdiaUsCzN0K/o+b21Fg1kzb4DdNePiO6HDuDDTfaUAKiIir+oefIERYLBWJ/6Deto0ZiF4KMlu5hR62y5QbbXNK7qYprBYEQVUFU9Fu83HHHEl7x9z6LVt8j2mcUWVUVSwZc7J7JYl3FVGUhcSlOygpbzmW6k/Xj+RrxRMRgE/JZP91GL8dxQyog//ZmapBAcv4U2JYEszp9I7NammNdy2cU0RkTng+d89vWFnu+8yO2jPkzTiGf0jErBWx87dX04/RP1YZUqPaO3MeSuL1PXYV1/qkT1XEhGcOe/0apnZh1gpv5/hz4HONQHrh4eylSvJIIT02hT7EtULgSte59zW/2Ym61SXfWEqv5LKPSsoLr8MRGZYfSoX8bZuk1IHd+flLBkMp4rYejsLBAhrN/7HJmjozmmGFHVIfy0OI0hd30JSRRIOZDonRpinQowcCH7XO8yIiRZaxPlfLHVn+iDE4lPa06m7yKOei6w1OkZvRVvi9vJDTIHh7JVUQiM30obOYHOjb5l9ZBojiGACSSkNUfKcaw90Iv2QHv/fRwEoBXT425ylQeYYz9YXB+ktDJmpLT4q9eYtHRk9nXqYGenBbo0mfS0d1J3GwQwGiwuVybT/1PF+v+yfLGbko5hePaOZEZvqPztCOt2n7X83KnZQ0pjdMW2XzAzXm5PJ87CyO605xoHV+7hkkcwEc46gusRrCmjK/dwSVe+/TwKSPtPzPK/KdzOcCuGVake+M3swrsecKnAA7/ez3HzSIxVeQ/24FgqQB0alh9lVcpZwIOet2JYlQII7fnt+gH5Wr32jpdZtTJFu77HSDp98TOvhXaBizGsKtDaH9FjJJ3O7bE2p9b+eZaMk+0J6f0cN0/u4VKzYB05fpchPdrBb0dZtfssPYMj6TvqXS791J4uzrWV+6FdJU6939QVea1ERNZG6i2I9DOKeM+WzjR3jmRm59ojVvnbURJ2n+XS7ji+512GhvbC6coKtueDSfTD9yWV+7fvUv2kEkejHgBCPxp++SyI2anuzNkwjIZfh1DgHMOEVx5RMG4pe/3nkuSsb/5pP3MtuT0j5G1tSFQ9zZOUmKo/Zvwb9fkhK5OKP8uZlNiL5hVPQGjpCzBoESAdXulGx8tmpVoiZSlrw44gENT4zmVjo8NMXnMcaXQjPM4bj9QkPCy9vEPRxKUQ9S8e5s9mTcs5bF+tclWaOOQTyL66dVGlCYKi2djUfPihW4aFhbZuEdDaNISHF7VaxbGMJ4yNiWH8MnkNwUVW4keVWkNV+RMcHRwQ45eyLNBE4dppjPRcwF53O/bNHccefR5LBN0jY5nc6RGHJq7mJOYDV9gwH2wmlLT5KDSr3QdvtcPRwYEpSTPIv6ZVEqnzOLQ8ld0f/k728A08efIEx7r1qFevHu/Pfptmv+RwnI8I6zScPdt16rVPKmk+QMUl8lZMZYv0Z0VaR76d/Tuzk1P5Fz+w3i+IkwBsQ7hFkJK2jg93h7C6uITVUw6jKAZtAwtayK4PBIcCF3DVpQ8KUFVeQcXj1YQPiGf8xkxe/2kNnwUvYe/zwPNbSP/I2s23Nkfy67hVnKCQFeNbErOjI61medLx6jbc5uVjHxbHnmZHGTr/oIWSijjIPB/JkvTe/DYvkHlm+UR4siS9N9d9prPR1pdHEahVVVQ8foRBqjRo1AiDfR1qUC3BUFRbP0bMaFht66OgNc484LDeDi0Q3ySGd3nA1wMEbbu1ZtjBTMwml9JczShwpRBSp33CJs/ZHBgGCfNasTF3Py/dOEwfzxBURWKKjaNqSiKflyazt+cEBhc7Mn5TBu6Ny3F8dI2Npctp03sH6ybssRgyzFQpRSiISavI/kd/tBvs95zG+BESE2A/P4gz9ZwQKKhS5eP5CXj9MY3wjVYfdv+1i5H5VuNc+54p5Noo3u/sTrFY9fn1CnaKoFGjJij2Bqj4nnXjYjhuM6bm6Lu+q5NpDdYAL8KGAqavBGnO440usIxbzr6PbfuVRsbHtv0bxYFdowD45TM/Zm4wK9A+uHZoQ7c3czk1rvaIXCkeSNAaEGIKKT3uEztsAS9vyuYgN4ASPvJYb6ayMHlTOu2kZHKn1vxYPIg9LdIZeecU9GjB2nFZuKzoy8Uz0G70fa7JFnTmDmTMw50lFGYs48qQObhlU8sKYI6EWx26jq3zDYzxH4J7XAZjRCJ+7okWRouUg4jNCqL7/QJ6TdqNajJRbfdYyzsvq+izNP3v/sXlmvJWaPVnASRlNx7SxWMiZCdTPNuPEiGsdHAEIi6U9+OwaAFmP9lni6IIyF2Ma65+b5FHsaplBLAEHdP1gQ/iAAawapTec71Jzh7v87Ij9PWGokws8Q2lMpiVBwLo/qCEbm6TwdQAR6WK6opynj4tJ2eaN4fq1iVscy6lK9JwnZ1ba83i3ZyW9+9SYp5X5sYIgfB6my6O5Vz41SaYnRDIrFwSkCAG6T08z64LQ5kRM4h1s2xZEZAwtpR3Cl04XegC3CDdI4R1Up8qa6eyusVOZvBv0lwh3d2bBAbpfq1TNf9VobXVtNSXj407+azlV/j1mUN1VZUWmXveDo63LKJPZB6KMGD25bYGmLJGZ7EVjiyK8eDFlLhCunsICYAQk9he8CpfuE9lHQKRFYVr1iS2F+xg7a9jCM/Sqe3PagJlF5k/dAElYM7CacXLVT0dZePeDGzjiHxvIDWZuVqgPSFQ7JzwTvTnIye4VPWASoPK4wvbcJmbj8eyrfjcCSIgHqZu2EI7gPjp9Ig3P3gk6y1os01kIJlPqRAwaC4FQa9rBsfgPbUp5jblRE5Pfjw8mqBBm5iUmEI7/U4vu+y20tCDdnM8COAmvzCQVQd86eZYzunk0UxptYUvO1/g7YAElDr1LOHtpNDHw9IwwdROrXm59X5OudRuQ9mFHfSdkwehsRYKdXTefkZf+Fa/VPztr9kdx0zp1fzKbRahACn1XA+GKaR96sJLNs/8+pRbrTZEF2YRDXC9lHfHJWFAATEAtw6t6d7lAGfG1m7zlZJh+MflMn14LtIritKxTTTfa1M1cto6PGsqUKqeUrdeHRyMAmF0sOZ91mfIz4e9CF0vgEEs2OmiRecWgNDSzMEgonf0ocOtY3hNT0GV2vmsCAVUd+alfmTJF759xkSkRyS70l/DEfj52KcgBB+v3cn0lkD596wNnkC4MICrgLb9OHWyn96b/ZiJCfjvJdcfKP9OU94kgIrJVKMrUi/h/boDHRqNAzaCDTAlJfSM3sLMN55dJBnk29j8r5Z6MyUhimF5NqwEJrI+pw/PXdzO0Pk6G81sLBFY3SXfiSc/QDc+BRyg2Bax5m3OZr/NT6KQjOsf0tZgp7NUtGsVg9GSt8+spJqnVIc+GRyyaWMtxPrmEUu8AHDknYD95OnPnZGxjxl6tYMWxNrcK6HPQ+1zE9f3aO8IPQcIPj2IjZ0omWlDtMO458JteP/hz7REEGIi8ft7M+OA9RmUf8tqv0V8KrX5bTJZA5oajXZaKlSE1WXMSmvQ35FZztBStkkbI/P/afk/UKxtLJqWr5794p/LD3ti+UECeOAb2ZsZkb25e3EFaflwKb8Auo5iqgWJLUPId+nUog6Vd37mBwki/yZ3O2v299caOkEdZzxnRlqpyi09gEILSvFskcKWFg1wj2sF2t+ySrQN9p2GNKQOzXtHEmGhZrSiJzcBePTorH7/Ao7l10aJ71ruW8nP3xSAhEs/3aZvWyda4IxTHWjeOZIIi7LqxGtd4fv/avTMxRmnOpXc/EkzShxLibH4iN/s0YuukZF0vXeBVTFx2pfndJ/qriMJefMRCSlmy4MHfqENOWvjY21RyLqOpAv3uHvvJttslO3XRoXx7qNz1nOgXxdaUcnDlmMJGXWBBVtMVMsqTE8qsTcYLfUsKVyazmDL9k6ar3D3BF2gr4fHpnW8dvs2PJK6T0Q6l26vo5MfPLKdWwJMvV6lg/oLyQee4Fx/GG2Uy6R91RDfZgIpBEPnxuH+HFRczmLy2iO6/KlttO+Hr2KCBTUfzbYto6m4fIofuU1B8CJ+i1iD+/1IotNAwYcFz9Wj7ZA4tpd/R9bPL+Bm+IqyNZG8NyeWU+aDWlo3BbP10hbbB0l35wbcvVdiYQioxWsZW6wt3tHLN9P/2dheQPn3uxk26yH2oQlk925FxaUDmDBPa8no5Zvo9XA/o/yKteeYlUSHV5m8fTOTbe41Zftmplg+/c5NCbjPILAdVFT8wNFrbenfyYFfjysWoRQa0KrvUxqU1MfeoQ7SdTr+nRxwqHiTD+9CxaW9BMeUMHp5Aq2OTmVFkT8rNjQF3IhMfpuHu6eSrgiYVKSNi83mKYpXM65EYBBGDIrQcpz7L2DXB8/B7yf4JGgHJiF4/60B7Bn0OjHesznn6EidsFh6PdpHYIpEMI+Rm12JTP6ImxPmwYp1tDo2lRVyBltWBnAi8hazN37IC/zOweVTiLj/EKEY+bhZI27fPWR5N+b3Ny5xDO863uT6tLUU96nNe3o3Z4/mk13+LSs+WUrR03Kqyp7gYKxLPScHpEHRon6rkhqTSb+zhvJaFACrZG4pclBznntwl8Noke0RkvEbXLQgIdMk97jBAR2xzna/i/fkDXSP3sYngFDGkujfmMJB4RxFctgzCdDSrNRUVfHk8SOMS33pE9cAg6MTeEfxVuMK7p6bzNcvJdGjsozZ47w0dEHnwVm8faRAJM3COxn+KitDSoHivZDs4M5w4bDmXw2g2rqvSBThj9frj7j/XTxZa77Ea/p2JK60bgTXhbCkIPz507GEb4Qa4UrU5g/4eVQIq/64g3F4LKXeRgx16oJBy6ONw2tM3bndxpXBtlRwXqoWFEWRIC25s6WubCuW5QECuWk2wzdpwY8+nJvMwD8mMCNZlyXGr2Bbs8/wW5Kv+dEK672UqEF0fnCdK1dLCIjMtljFp6Xupd2verWwTrzk2Jr5+dmUfVPCtx27w6kWpMZ4ERSZXavlieM0xcs1Bl5y7cuPxQMpZSqpHe+z+8w7hN//gQjRAk+9byJzHu6ZWj+mbj74jC+3Vsq+TqX7BMHMfYV80racU5tUJApGgxFVnci2wm78uXEQ72eo1K3fiDrVVVRWPdUMl+V3qTJJLpcMwj/eiIKCIieyZV8z0NPTmKQJRQhCO7Xm1g9D+fLV7azxTtZ8gr2iGNj4W1bF6YZGIbQgTWOfDWa1r5bScKV0OAEJQMhaTtr4XF4pHc7u5ltrBVO6UjqcwDiAVozM26cjkeWcTvGnR+YAVu/fwWo5hpBdwL1blBgOUjzyEKZBURwpyv3noFpl54kc4MqauvWwN9ib37Y2n15oTP02nSlZcRPX2Xn6EtaQEbLucmus5t1pZXMJXSa1eKUDUDTrAG77XQih1PKdJlAm4eeRBBJcY3YQXZCJT/lFFg6Noigsgeg3HSn75jy+7rofM61x5j5FeivNe4vwieNTj7bIb9oSm1P4DB17HGeLNEvQ5aKB+MbquWelxrrRjMFa1GFLu3WDGJkL6Jtl9U90XdGN57/ZzzqrWowkCV+PJE0QBZA3SHcPYZ0u8KtMYkdGC90Xv3bY21dcs/hcd3so+2Ybfcfm4hqzg9KV0HdWLlLc55cDdrzW82fSv+7A28KIqJHU7+LPmTx/7cLOe3TEupzTUoKQ9F2yhYWWeaOh0dfcdzPSAnRXcDp1LJE5y+iXazb6aMqXMmgeBW5/4DF5k/6esBjFallFgCuHfQhMQEOsi8cSkdOPVek9EYZ8po/IY2ryNl4w2GFcM45/R2zifN4q5rqGcrCqBqRKjRAYJShm+cF7AQO4yZUblwmckGwxKPVdthUf85kVF877seNJ29ecXcMXUeK9gGJ3YTFYWLUDm/eI2Vqj9cV8Plns7AJUmYSvRyIKYPCOJt/9d3oOXUilWo3iEM3e/FbsGLqAEkVBSD16NkBob7o8uMGVq0cYMysHozCgIpmycRsv/qq1XyoQ4tEeyh/w9oZtrMr2ILWRy4MAACAASURBVMKkgmKkfv2GYHHLsUXYbY0+1kBdKOa81Vq6roC1Y2j863eUv96T7N21aFJ6ucUNRdGyCZhMcHA5ow8JLfsMEpksLUYxRTc4oUrEwaV47bjL44rHeCYfJkzJZET0IfOxgsGoZT3Bzh5FCJw6+1OYpc/Jm0eZNmwGYtJqDsaNwzN0M4KHPLimRWoXwNUjQ5myTpONe0ZvY/BdX6YkaDJEr2U7GSZ0N1SAkAQK+tiwNDr7UZCtU/BvHqbf5CT93U7iX60c6SBP49JvHE/Ky6isKEfMP8DRVnn0n56BvX1dTbEUCsEbP4QXlrI/v4uOigdyKNfKgpqZncHMm0foN1WD3a8eHsLU9aAoXixM68113zBSpYQBUex11dKrqkBqyHBSQfOxznyFi0PDSZHawJkNlxqrQQCtGJxhVtDL+WJ7EKF5/VmwfStRBLDoIPDwLseAoIT9NhTz/RzsBVePHEGWf8tqv8W0j99C29IAog5q46zWmPSUvFq6XYPBaJGfLXNf39VV/cVq3hJamjpNdJC6j/f/rvx36bb+kwL9jCXs7x+ETZ0C0lYW0mlkKP1begAF9AyexTvO9/giZgXH+o1lxsvPPuAfnn3vAqtTCqx7CTbKoeWy2p//OxPAPb6ISdUUVotC4IHFm0SiKaq9deQ4BYaE9vpbZMa/P8yWFm4tnczh9uQ/XfPflrNkxGlIul9kFyIiu2j+7Ga9uJkTlP/8H+9gtmL3fPM5bn6jBUzz7yfYriPsno6XWbVbf4ddRzLt5TIu3HGkawsnnjj3YqLrKZAOGA1GXdDVOmRQBEYFxB+xjN0dzuZeD5i0cDdSlXSbvhKPPyOIYh5JTYXlENtz9TbbOrzGBbPiatQOhq7dX+HOmVF826gRRuUoa+YfQwTMx1e+xvxELzg1hcBf5rO+iRlJFvqClnx+4Tq+bWDrVw3wf1Hlz79OE7VWEB7X3jpLpTaHVGUP88ZLFq5tQLbvEr6q70SWYke3iDVMWjaG03N20M25AaA+k/MRfJYl0+thBsEri0H60r/TX3wXgM0S8GXp1g58578ASQVfp09jZTFU1mh5BO2mxLLT+QkOdaay5v3HbDjxO37O0kp1lQAVXPmqWPclsYniWvEDiZPW6ujwGJYlNeXQpDWcQKAINyISe2iHaxvBlezzNPZqyi8x01gfGY+nELw3M46ef2xjwMG32Tt6GT1PxHISF2Z4vYoDv5ObCYO8G8NvtsKVsC7t4A95y8EBRqWSPqqCr49f4+UPO/0tcF3FDxlMWF2KlC5MXzdEp4IDz3/AztQPbGq+QWTxRvLHLICXnsfh+eHsSRtO+fd7CVxmwwwwVy9cTWAhMHYJDb8IJK9pBK1jtlBSy3iRToHZaFb+LSs+b4z7gx1kPHiLH2lM2cUdDJ6Xhxi0gIzAxhQNms5mZTyJO5tR9fgRT54+wcmhPnXrOGBSNMHMZFK1AD0WX0Vhk15Kt6CHxFLS7QHLR0VzRAjGuXXm9g9DdP1eIqclMLS15nv21avD8OABv9msTj3QtWZlX9CVDjjQIWcPQ7nJvlLJcJe/hzH9qWQwE2MnsGmUgYu/wmumctaP07jUQhGMT85kWGsAf4ry/Pnp1g06tvwP4VC7+HE4T9sJfyzxZsp6s7lI8tG8f9P8u0OELy5CTFxMdsoM1gZfhIePuIpEl60xC3qVqokqtYbq69eoV6cOdesaQbFD6mlRhLKFSJ9USy5zS85U0IV2m4wIQg9yaLZs6RNCEUJTtm3XjtT63r4RPDgvah8RUlr2DSGEFr1ajCK+Fxz0GsfltZtYPTibGZnQd+VePO/vxSNTe76In8LHrOfQc6X0n50NJAKDiNkfQGpYNsFxXrRror2/vjG7mK8L/z8WDyIo1puVB/rCyYHw3m5+vzQP8UIi3P9C92ueypbCV/nSdSKSck5vHElEFhZBWYQnkd8cmLeTQfc2sUuM5gVVtaQYVBSg/GeKs7Xco9VCxajUw944gpebPuCXPXbwgUR9epcnfzlQx8kRw+BmPK8PmUFnM5jUibzd+gZfjhOsE2fYdiiOkOzLvB38Ihc3+1MsQTXb3rOjcc3V2AWqquK+Io3Rd/zwixMWRcZoNFjWb9mFHbjPPYjr0i2M1FfOldLhBMZD36VbGQV6Wh2dCg5M2bCVF6QEcpgxrCVb90fjUW2iFTf1YEQCQ240rtkSoargvYgijzu4BK9H1lSjVldTVfmEmidlqPUcNZBcaIaBqZ0ac+rCDTrLZwUrgRA3uVfuSNMXzNYo/W9YHKe7PyBq+Fc29fMIO9WHM5ve5pQ+V9EFOKFP6OJZYyhmEtsLuuE2eBCunR4QtekBbu+9TUmhfy2jQHRBpoYcAleKt3GnuzPZ676i/cu/ITrcIN1jCusQhGzKYsC9FHpNScclPhe/mofU1NRDMda1ipZSw3Kt6eW0RWLJ/KG/G8EkRnf8mdVDc5FyIGszXfh1aAjxeu8VM33aYmfT3p9iXnM2P5nLlZIh+K5RIXwdpS0042vxrDG8umkHa70FsjFcBeJmzsVj1R7eMdan/sqpRP3Sn9ydO6mJ2sl+42RGr6/H9KTtvIgemwO4UjqSgASYkpTKCwJtzaQGMyMHpial6qizvj8PmkuR213cJ23W2ti6J8dzrEpa2cVd9Jtn65Ot9eTlPumcMCN4gbs4EQhwk191U4sFbFOMsDKYjxLrU1PPETuTBLWKp+V/UcfRAYM0YkBhivuLXCwMJOKFtWwJFQTGgwhdy8ImZ+g+R3sPqo2Cb+0tiNBXeNmxFaOnCfzmBFKiqQTWMTf7z/8NcNIVTPMcANQXm8CD89jXdcRQ9RS1SoI0oT4pp7puXewMdRBSRRUDie0OucNDubI8nljvXCJzwHXZNgbez8AlS4Ki4L5sKwP/PMGFRm50aVLGyyG7mFEsEIodBrPrntZIi8KvueJA+z5Z5FpQ0htcR48xIOyR/WfR+eEuwr98i12NP2Xg9M1mgUBLlyX7MT/1Y1BNIMcSu7fnf85IYS63bvNLy+d4sdaXvhz6h6Bo3DzGwCtQfnEHg+dkIrwWkeGu0Y7l+nBWRW8hftJGLjRupFsZtMs69D5glUEAyKDAFrE+LCFknaZQl5dTfqOUoZOTrDGsBDAgmv2uUk+DN4n1Wa8gb5RzOmcRf/3hTewRL665jCDFTsHp7RA+PRYClHNu80gW5Oj3+G0BI7wNSODjgYM4mpODGDSInjk5HFcMevpYC0RmmUNmucvMjADNTezjxduIeAaN73Bgb+0YKgCU88U2za0na0gYW4QgMH4LbaSK5CDRvq2IT1vAR0AL7iJVyZbLN/HmMmsevId344fIy2FMS5xA/HvWu0qpYqqswVRjwmA0YmdnrxlMhDXPtjngptluoaqqJROZ0NEFIRQUg1HLZf1PVKv/svzfU8FrSyd//90jmBmdHfn5SByZ58AsAVWW37NUqfztG46h0ZA1wvdZLt3pTvsWGi38Ur9WNNd/ufSojP5tX2Fw1wIyz73L4NBetLpzlHV7ztV+rs2g/FOasGeBJPHFIx71bkfnUV05tuespvy3uM2h+Ef/0Ol7XNhzFrqOpFUdsNaoQ6uO78K5s3Tq+Bx1Km9zh3s4V9ah/Zse8EWBRgU3RyV/VIZnWydaILnkYe3jP5d7lFVa798zOJKuXGDVNw0J6QElcXvYvvIeQ6bVVvR7tnTm0a2z/+NdtbEQ0C+Yrlxm1TmAFK4FRxIxE3h6jYPxBVgk02Zw8+Ru7nQM4+b3y5i2/ncchT+LEwQIiSKF5isD1LGz1/zXpKodtM91Y1uy1cf6t3sGnRKl5VdVFAWxYzkBshehse+DIjCZJCZZzfEQH75r3BgMYELYvLzvWDBO44AJf7P1ST+E/Oexwfk0nzVsw0+HIjjZch7+Dz+jQBlEdPhvNOMRp8CSY1I1CKprRhC9sRvtgfCM3fD7ST6Zs4OTK/PpltiDUcAvwN17hy0H3AsfJLPrA83vOnhlMQJflm7rAZcu02trNCIgih1SQnAHml86wWwhtOidAs03V5HUVD5FrVbBUBdHp3TmTpL4LN/M3Z9KNP9Haker1fc2/f9tzJ5ooyhYdmCzvaKIVZOLtY0iZQ0r8WO5F9agNe0XMs10koGTD9G0yWkmdFpI8iwXjn/dGb7cy9dvf4TIj2F6q2Vk9RpO+jYzFTyFvToVnJR5jEzRDkezP6uaCgh3IhM/4OakBexCizwsAdVUxKpJRRh1CpKkD6Hx3fhpUBBbDQrNmjWlRnjQzQNORQaRhqTH7PVMbdQS6dGUVx7+xApgjHkwCCBmY1NyJ8wlUgYQE/MHs2at5t69BxgM3ixNH0KnX84ydP5GEBodSAg4Jsexfv1dNt1tzBRAiAkkBb7B7Yvf4pazBgZfwSSrUSvKadzYGWG0owpNkZOqVak2C5iqnktSEUDrPpTk9oHyiywbuZAjAsYnZjCMi5zplsFGBjMhHia2eMCyUghpDskT9tN2r78NFbwzh3M1qO/HQji6cBwlNaqWp9OoImuqWB39gOqK6ez7tB0ZoxZz2GTCXlFoMroV988t59smG3hNrYHQdRzW0yb9VDoE1x/iyWxeitfsPOrVrYe9XR0MdgpPqyopKy9DDoomz+MuXpOTMdXUIIS2tk0q2Nnp82vCYsJe+I3Y4GJNrEyezyCpoPYPZzx/shiJlP54v+ZAe1LItqFf9zh/Fmug7yZMQnBACMS45Wxp+in+599k22BICV4B8zSUOSK5H3NTP+ZmUCRpQt/ZJ8SQ8fKPDJ2xBfMZJM0UZAutWKdIEsgbLR9ysYDaNl/MKpJGm1QMCn3W+dHlh43MEqBGluB6IJeT44DrxXQPykIRGqKihK3niEtrwJ9P8/35scSLsbG5zEp/h4PuUxHcAB5wLVNSmjWaUilxiUlnpFCYvCkA51NeBP26hPzuV1k7UyKmWxskwl6l5TclBAg09omtcC1sDFtLP+Fj+zns/vQ+53SE26TnkZe60cBgMGguK6rEZGyLMw8padCQukYFRRipKQth92eD6IQWqZcV6RTJDNzm5NEvphuv3DiDr1QRJOK3eSElB3tzq2QY4dnSkle01gal+65pw29mjZlTSllzIjt1GcOJPC1gzY+lVhO5qprzrgpLHvln/Z61vT6RoGGCas8FRAB2ihcr9+gB1GqVzpwpqs21fXw+mR7jt3Ig2IW8+g0YEJeJD2fofvcVipprkeaLI/0oGRxF6cY/cBmXSOHVIUT3jSUkPowEKZFyIml9W3OlNJxi6YmVSCsRsdPYtTGD0Y5wBRBiIGv3+9Ht/mG6j9+AJREsD/g1K5eEzBxcVyTAman0nalnHghfx+HucDE9hBk5wtL98ujt9Fu3jfZnQfbQ5rtLzE5GNbnIaYI5mmhgtdRQzcqHDzHUdcDo6ACKASEt1i4dhZT6+5AaU0XRUodN2dSNP3eNoRiBUHIJG9KaHRnRuA5ZQCGaL7V2p9b4FD4TCK/sopZqSFjfl6a/2/rvanNBCkHC2DGgDGLNKE3aNRg0Q5sURlS7gbzmNYTRL+VytpMzdzPuUfnIgdgJn2BUjOiBt3nZxYpkn6ql8WtrG2nOS68wxe11uP+VuRVw4xgfTt5sM7+wmXNYjFk/6oj1ZN3HOiLPk1W7etYmSwoFoSjU1EiqwhL4XN93y74+D2XlVDytoF6DBjA9mZGc4YNsiSCc88l7OZEHlH/HwhEbLa5EUo+QjOMbLDy0lxkXdtB3fCu2H2rElRvllm5OTd7CC4WBhGepiNA4TnW6TLdxSRagyBzoDQFCmvcQ7d5TXm3NrR9yqVGMSMUOR0d7DWEsK6e6qhLRsAHCaE+/ZcPofPUA05EwqxS3/Qc4Pha4fpjuE3KwMyrI6ie8VHOZmAmX8TzyKiVDJ7PFzog6bT1u5vzL5jUtBHb2mioiVRVFwC/HRjA1rhqpKNjb10HY1+ED0IwGBSuYXiQQHm9By4/J3V3Lp0cvN7kOKEoqM3wEq1Oakem3lOOTV5He/FNGLxHM2/wR1wMi2D5wLrt6/4HPjC1Ik4mqv3qxYF8frnuPZYtTfYwGOxDjSTjwCheGzWCrYtDoxRNjQDFqea3RlDtMWnq1TxcGcgwIjNdnnoRjC/w5qsunYuBC9gd25napN1PWCUwmk55PWyBECO4JwMBoDgS5UJDj8g/d+wPFIKipjiew12PGbs3lxScPMPAizes3wy6gMXYGhfILqQyfnaOxMxRznmZAGLRgdlPimdkHOubmsoV/M3nXW+CzkE+FQFEmM6SzIx3YX5sKnrnfJnjZTQKBrVEBfCYE6qS17Gt+mBFRBy0r7+PorUwkgxF6BHPFMJCoYVjANPMq05bNJkJ8VcSABUwEFGUgUe9Blm8yavR7cDmMi69sZWH0Qzo8vMwR1cSLEtTqp6AqODg4aJHwpQ5IgK6PaHtbLRq4sJFVdZczoxAIgxEhDBrT4X9Z/suo4P8/xcYP8W+lIIVDDafRv/csZpgtNfcusDr1HAjBsVv3eKezTg//7RqVzk60EHBszyk6TetF/8hI+t+7Z6VbF6RwqGEo/XWfbe59w+o9NorjM5bTZ778D50oJO1IQ6b27sWMmb2Ae3yxcg+XpAddbYZCfvGzRr2eGUnXymv8fA9aNXzX+ogW3YmI7IWGUmt060vxzvjN7ELEzC6Y0etjAAU3udu5C10jZ9HVto+6kt++x0g6XTE//CwZ8c74zeyl3/8e51Zq9O6SjqF4RkZafKZX6UJjzyBd+c7HYli3JRJYhqTrSEI6w7kYnS7eL5iuzlBZWUmduu3o2g++LwBFCmTBHnYLQdsXJdUVt3BS7DEqAunwMuM2JmJxQ7xzBqOdUR833UHm9mn8onZhEII6dvbY29fDabiCMNhjb9Roh6pJRSq6Yqyq/HXvKYIGODZqTA3SQtMU0vqKzei0lV2hKbzvOzcEYE9UhLaQxmgXnFkzgxcWJ8L5SZxG0EO/y5OqSh7cXk3E0HrUb9AAExJVapQSVS1m1WQtRqxPIwe4J5DShe5t61HxQwbBMcXa84MWsuvD5/n1+HjmbgEZuJD0xDB+mRzLix0acuVYiWZFxoF/jdrM3lG1Z2HFJTtNmBT+vPb873w32/raFD3PNwKLv5ZZiRZCwSyG2gpMZuu1IhSNTmVrcFIENSZQv5vI4KR6NHZuQhUqImUB4wQIilgpXYl8WxN0xIZIRm+rhwRGr4in1bFprCrWlUwhUHBjZtJw/uWgpfCakyqsxlph9km0HvDCPZwNI17h7skJhCY+pUqtwa7OCFbs8+NNLrFu/EpOFSlI9whSfV6FS/sYMet5Vqa140r6aqurAQLcm9Ls4Z+cAHxXfgg/BoDU8rAm57igHB3DMLmCgqzVZAyeySY0YWVcUm/E5ZEI1kDj3mRkN+L71JHMPwjV/eeSE9ue2zzA0bk5vZdtJ6KzA9w4Qu9xiXpUaoHRnAYLjVqoKAb6vNsep/KLLBsZzRGhWZaTc/vQ8cZh+k7agJQTSc7bwdJrvsydsxCmxROCRCh5zBmRqwk+XtFku93Fa1ISZX89wN5gj1MTgTCMZ1P2x3SknJPxroTvguea1dMo6FLiUNceB8d6/JUZzfSnlbgu11pniJ+Gq+6HKISAaQAKdes5YG9XB02BsbIRam0UFsXUvO4kH81LIOz1R+SOWsNnUlotwkIi2jbEkT+RQkEVaUz22UpZ+SMe37mFvWkk6496cX1EKKlSo75VqdVUA81lP2a/A0fHFgIFHOmdzEf9YPn5awT3DkJRtrD03Mekze9H2hKNtfRR80b8ciUFi9qlG2+lakYIFR0TCWLlzo8QnwWQBkjVHBVZ66ZZwRBCIMcuZ95LV5j7wQ5U5+dwjRlBNycoKyvHqU0PVg9OICJLWxcybhq94rSJrlpQTglZ8/HMEqjqJJwd4Zo5F6t1VDVquPdi8sd14NtNPpQKQd/nmmjtBiZ1asLFgmzdn9qRbuPyOPGMr3fZNzrWOOv1/4+09463q6rz/t9r7XL2KffeFIozqCD+xvLzAWeeBxkBZ0QFqRawBcWAgEgLBMRkRAYDiCM9BaQGBAYIIpEeOlgIIzK/R4MOwu/RGUAQQpLbTj97r/X8scpe5yZgme1Lcu+5++y9ynd9v9/Pt/LOF39jUgYwRjNpkzlVMSBXuVGUZcxHz92dv/7t97lPgHh1E199y+GMjn2Xw3a7kG6vi0oiFt2qWXffbQw++S2+uvMEqw68nFgKFlzxA+a9+ffcuO9D7HLfrTzx7kd4/zGXeSVFSGkNV2JIJ/CGC8RQkbTmuhvY+xt3sc851/IFmxfKNmfwwD3/gwYtnrja5Wlvx7y7bilDwTE52cryff22OYzwElrdwdc+d5fteG7H9MkzuG/f9ex19CWlwcUawBpjWzPoHMf1j+zPm//9Uv7u8LuJF19lpEgUmVy7HebQ0K+BEDz4jS8hzrmWJXffimPfzz30WQ5fWhbBcYYPAVxy39N84ss72U/v4quffQvfu+cjrPXJlS3WXjmfFVojDjqTr719nPMXmxz6vb9zA2f+P7/jm5/+d/b5wWoe+PvvsffX7zT7OO8iTnvHRi44TbDPoYJdrrqdL/Agu37qEoSQnHjlvxqg++ocRka6HHvtfczfAab/9+XsueguiiiyINudeWuUEoJCKcQpK/jYplv5yGqNOGX5UHuxRed+gvsX32HqSkjQ/J6b9juJFaHxxIK4sruCec87glDw6V8K77kUUqD0dsxtwG+FoMjLXr4DcQcXfeUOTrriHg59C3D05Rx0y4nc0X2VvN4grtZQGI/14csECy67mh1c2PKuF/D4kdsBL7HqTsPH9v7WVczjMVbNOZT7zhHs93N/amcYb2Cvs69i3ptr8LnTePALX+YIbcZ06fFHhb5hM8+Pf5OPv7kOf/8x4lu+b2hs+SnstrQ0JjXmbMWg26K775k8slfBjfsvp4hTOPEi5r0Zmq0Wjfp7+PxCyYNLTcqLPNmmTPz+UXY/5nLEJ8/gwXt24Omrj+CBXa/hEEBwINvPnuA/bYu6fbadxXPPXGZ5m5G/Ksid1djIAiFYcMVqDhEPs/vFAhFH5LmgLwUQUZk1h5FWm/6GCdTZqzh7x9/yz5+7kwLY5zufZrc6TLdajLzl/Vz4ieUsvGkaeh1Wnngi9dmH8wkRQZpYAzTUdzqcu+843K/b7x6WFIUB1DKu8OMlX+IRpYgrJny50FAUCmdaQ1hvo9Lw8mN88qsrvfFQFQohD2TJtR9CyKi8T4OMI1y9PgeaZBR5oaYLRSQk8cHb8/w1T7PLQw/yOT/Kl1j96VO4GkhlYnu/Q/09h7DmdssFfv8qShXGAyolWh/IW2eVlHTk8lt577PXs+n9H+bFz5/IZ/SZ3DrvLD60/FU+dcu2bBrfEe7/Iq6DlhAgfv8Q+57w3SD6Q8DHl3DrPgWdqQnazQmKbp8IiLPZHHT13sgHfsrcY1Zz9rpNgKkGL+LYAvdAH/v4N7n1/ROcf9ASHtMacecS5rGEVTedifziWfxIXM5JB1/m3yvExzjDhoJfo3X5nMgWLtSao3iWy/gUd99Wevlbv7reAG1bFMzwge046Ae32BorLZ6yDKJQRqdi+9nUWY8Qd7Pki3cihOCD9n3XnLSaM647mJ9//1LyQW7Ac1KjUnPFTJWNbigBtQcM/vNSHimb2hZFpiqBkEZGUuT8pddf7rF2eZNWeL4RZH3m5qU8g53ITPC95mouWDNstTDPfpLVS39mft//y5w6t8kLT7nnXVz2YDaDGBqTv35+MyueEuVz0fZ9WOp6ktVLnyxf/dQtLH/KH197zxqut4DTENKT3ObaeQVDxpbAmnxuqQmhHjKWruG6c4Pqaq/3uf/7Gq47r/z8mTXB/eet2ezdz6xaOrweGFC9c+tRzndGh8BAPPPa871v4qVHnmX7xYtNefyN6zj/3Kv93z941GIWLTKfn3P1GtZPTDLWVwhSYls0TLSf48pTLuEpKUj3XsD5e5RVQrVWyAcu5oTHEg9+o0MXs+zvtwE6/Pr2H1P70uks23WboXG998pLfWGxo1eWoP35x4/njOts/zxrhRKAeGkK9jiI6650JZE6/PLWhxF8hJMvOoida/C7H92L0sfw7tHnWHMdaGmeo/IWm9ZPMlY7kQtWfRDfGbT9LJcefzFi8VKOe1e1/GylBh7k/OMf9ArJof9yBfuPPculX1rCWm2Z0colXLbVxRxw5HwYe5F7HnAKfJv/fdMJnHlbk/bEFI1anZFFl3DZVtp4sY/YkW2e+SnfEAL0XizyFbT/wL02fT4siqW0MsyjtK97JSFsOYR2rTQ0vVaLotC8fe87WD3cSQho88ubF3LRw9LvoXbk41+gcDhCHPUtbvqHMX5x0xF8/v59WXTZSm76h/Jpf3ftlRxgn/uLW07h5Q9ezv6jz3LJkcfw12ddzu03Aa1fcemcH3PrsT+Bo87mphuu5WM//gl6F83KLx7BT/b9Gt+7fnueu/EEzr3fDOI/J+HAL6zkFqD1zC1w1DkcqH/CZ6/6Eufd8I/swO+57ROf43tpCupr7LfiaC754Y3cz0vctnKCfWf/iktWaPQCYPwRDl5wD6DpH3sBj33UJLSOvPQ7Hok+wZk7jnPrx2/jrTd/iGPQXCYjL6ycR80VAnv4tPk8bPdInLiMB/eaxc+u/hTH3ulCxi/jmKu34fZ9j4M7vus21PxNBpqP20MEWkr2XHIFi94zzk177cO81gJufuJxfnZSuc6L777N/vR7vr//AtvaC1wlZr99IiKWEhFVSCtVtHbKpEYf+x0etQXMmk9fHxBTybu/fMkqPi1/wsGfv97Tov7KWfxwTxd73+bf//V6Crk3/3z5Z4bah7lr13tWB33FgeYvuO/5dzDrqeP4Fww7/90EfPh/7o/41mu8dujf8EUN1135I5696oPMF2u4TsPbbGi3JM/tlQAAIABJREFUWyu3cMaQo6yn6gjOvWkXxm88jO/cY9ZA2BYd3jhl90DofVn8PrhlJfzTL37BOUDzl9fwgX1vt4DwIC5YfTePHwPNddfysfV782gQjt9c9z0O/Cf4zq2H8/66++xavktZbM2MUIE+gZVHz+bufW9hh9vu4MdHA7zILfvfgRAL+F9zfsvNq124ZosnrpzHqbeVuYfylEu5y7LNhe+Zw+P3LDcz+dQ5PHLMe00o8YsPcL89+0oCHMhH3z7O3Z+5iyhOUM9PoPc5krWPzug7NP0Ui1e+xoJbd+KlBz7O0oXf5d/2ejPPPfQ5dj9Wo2LQB1yOXriUJ+++FX7/CLv95p2s3WsLPVq4dbjdFi3WXv0lTlm2kL20AVX3f+NLPAB89Bxg/Vns87FSDhvSmxEKjkB/8pvc/+WyPc5v7jkMrWcjvRmPUplEEMsYMDywUAUFgpOuvZsvvOX33PyR/Ti026UYDCj+4zX03l/kibvL/t/PPmgOmtbwwOlHcL/STs/3xagUd3Dq5+7yXnkNJjT+dqfkKbS+lPn7f5dhYSwQfIwLv7AjT980H879V9a+t07zl99jt8/ciRDw4GfuZO/v3MAT9x5Oc9113D7r73jpR3tyn57PPsBTR32SL2qQ4iAu/MHh7NGw67xGQHYq799qHWfu+TKfu2tX9m7exJpKikorRDICITER9BaMHnwWD330zYxwOE/ed7gpXLXvAk+7+3xnORcffAcLV4PWd3Dyp+80s9DOeAIf/c71nPleewBefIhTBOwDPPfAQcy/SKNPuYSHttXAx7k4LH724kN8HhBaUWhgmzN4+F6zx889+Bne/xWIDjqD+3/2I84GeP4edj7kfO44+VPcm2XEUYUVx5mKZAv20fCzr7L7Nywf1SBOuoAzZj/JPxx3JVpfgb7sZn5iU0x/esdwvu5zD/0rG3ccZ9XHj+K5c67mjNtvtFX+N792OmcRO+w4m7sO/CzPfftaHn/w0Ne5E5rrrufu2e9k3Yof87/uvZ0n7Lz//mMLiTB5qCdctorH7wZ+/ygfOO5Udl9qiOyj376GJW//T5YcaKqUs8ME39zrFlPDoPUr7reg72/mwMYn8SkIQBDSq4ks6FhwxWo+Nn4de3zd7GEkBANdmumLOKUyElPpH8g5/6C5/pqcRffcxtnA9LrvsfsBdyKKnKJ3ABfedQc/Oxqav7ySz512NyKyEEPi9cHW09fx+TPuRCD4h7Ov4yAhiRJTvEwpjZIRaWKaf+WF4h/PuIqvvqcGtHnqBm06C2jnbQxaZO5/GrfMf4/JG279B48pa8SUwusshTUKO7n95tMv5/b31Gj9+pdIKfjH0y/n5PeUCWz/56FPsuC7CYhjueS2W0yN4pd/xCdOvhoBtP5jFYeedTd6v69z40eMDDlqxQ842ImD1tOcd4eGBcs4ePbTnH/Jnbz9nfM5+I7V3uu76M6daK67lhNO/3fOuvkGzhLzOeNOG3b95r247/YteKyf/09amzYio/lc8tOTeX+jyW8/sYZFrGXf0y5BL5N89569qXME991jifulh9n/+EstKRzLis8KLj30m/zYGwEF3HUWn3vrxdxy1iL2fNsu7LIFuW1aZAVX61dcMH89B9/24TLk3rbgelRrPnTW9yzQbvHU947gzLsBXuL2T5/CSq05Yvm1vFkr+Ng3+f7h/8NXQ//dIydbLHwsy277MDvS4qlrFYP9/pZ3ja/l06sLkiQxUbFCmjo3Qvj0JaP/WrkH3kjnIggcRHNRVe4zKSMiKdGDv9xjLTqdzhthYhZ87fXYiH1AEJOqg5+H7gl+3vLLhgUMmKrcB/i2TrD+6XPLyt+v854hz/mQF71UGodHE9xn7w0bGGz295kfifBj058b2697s1f9KdcWnvuG9wVj+mP3O0/BZvduaZzB810/b4Gkh2L9+CTjmyaRSBtiYf0CwrSsSNMU1+7BqulMbNpEJUkRSUxemJCzapoSJ5HJUVWKKIoNQATGpyaYmpigUanSqDUoROnldMNz1cL9iwREVjkQwSQ8rhCC3qBPt9tjpFb3xiCFptNp0+90aFRrVCqZza2w/ZEpQxi3TEMzl06b4gzWg6eDxTRZK0ZcDQYDus1pIiFIZARSUK03KNzbhBMYw0DBCUnvXSjR19Dl6DesAusrrOuC1uQ0oihoNBokWWbHZovZaJNbKSNjARwUOe1uF6kE1Wo1eNfw6ogZx8UwKkNzrqiXtCFyWsCg32Ny0zhqMGBsZIRKtep7bQpMboyyS+5Cd0IFAa866yDPT/ttkhI2bJwgjlOSNEWpAld8yhkZzLtMQR8lTO/C7vQUDArq9TpxVqWwoPmDZ1/DaTvX4fcP8aGvXObD9CJp83wxBoiw3oMftymTMfS3kGbceoEtvOXnZb7VnN5EkmSk9QatiU2I3oB6rUGSVSkEpElKWknIi5xOr28iP9DecisFvoiYlJI0rRLHKbg2OTYkMJLQG/RotVsopYltOKaylmQBFEqRxBXqtQbhARR+fwR5JMh1Qbs5ydTG9cT9ASP1OmmlhpYShEIgTYEsren0u6h+n2233paokvg98mVtHA2g8TYATASL1GbvzP3D7DE8QS7lw1uH3KMFRPb5Ln9bFTmvvfg8U1OTZNv8FSJOcczfgSYhJVEkDDAJeGy5n4ZnubSDYJM3g1R66JPAaGafE+a3uSIwbgyDYkBzeoooTk0BOH8it8DapZmjBGKkUXzt3itlir9IbfM6iwH9bodi0EcJkFmVOKsRJRXn6jLv0QqhZiov5dp6xV7rMjRfiiF+XnoTgnOgXV1jSh0jXCerYLvX5d0OvW6b+tgcc/iDFdD2GWFdBm3Ply4UGoXQmkhrdJ6T93p0+z10EhFnGUlWRcq4PL9CYJMc/flyOeUOySs/VisLwmghTHGw0Azq5xrsezB1Pxcnx/utaXq9DtnIGEJEpfqgjdz2hiIblbHwqh9yyFug+Ytr+NBJNzMYDFAoZJISpRWIDMCWOjRPmRMknTwS4YjLcfq8cTe+YMTlrHUpJJyxt5yWDSkX6KJg0Gkh0hSZpOX5EILItvE071UINCLPUd0uvbxHISRJrU5cyUwhIl8qflh+loRjZUdAjwIvGpylwMt/bfnEcNxJOT9VFJ5G46JgamoT1dlzkDIBsCldEKGICkAVFIMeg16PARqyCkmlShIl9mxpr3P6yBo3FoKB6hlqoXBzNqvs1lBbY5BxRpRnwReZEyDzAc3pSdKRuo32EUQI44XTikGvT9EfUMSaOE2I8gI16BELyLIqSVohihPDc2U5+MiGUGNHL6UEISgsW5CRCav2ax4sr9LaV7AWbrza5jSLYG+FCNok2TaL7tyLkjadM8afD7cvWlB02mza+AfyWDIyNpc4Sfz6CRmZvbH6hxDG+x0JAUXBIO+TK9NuM7Kh3Y7llbSElyFeBrkIHlu3x+y1GW1e5BQqJ+926HfaFL0eqYyoZBlRVkXGidG5hUTZXvRSSqMPOxKSM2nVrZAgPK/huSjPenlmQ72yfEhwprb0BlHystAJ6unXfx7q2aIch90vpZSNSBDEMkJGkZ+fe4/hjS7CqeRHKhxb8EoXxeE+jgHdz2mOb2CyM82G55/d4rr9sesv9li7KQ95oLcEdpmx3DMX2N0w47vPrFrKM68HoN1zZv5tM0AdvMArU56SKYmoPPwi2Pghyg/eK4LHltcarnfeZPvIofvElsluePx4UOB/f737tnS9wffKec14jmfA2FwoUX7maVzQR/DShnGmJ6ZIKatIm6rGJkw5iiO0rbropEC33yfPC7JEgLbEbzijHZc5NHEiKdCMT4zTmp5mVn2UrGJAeprE9PN8qPy9FOYYaucy1cYbECpSpQC0nyis0mAESKEU01PTiLxgtD5ClMSGyQdLGJYjKSGk/dsQ2PfwMnyjX0/n8UVAr9ul22pSSVPq9Qb9fh9duPZA7osujNqAI2eqKIvKuJcIr7wab1qpCCm7iU4hUmj6RZ/mpgkyIkbGRpFpYvfLPU7Y6pGCQlnrMGbvsIIQrcv5OuXEroe0Sn+uCjxTFZh8LszflNC02y0mN20kixPmzJ2LjGMzXuXhfSCQgvUNz5VfA+y5tGGFwhCWwacuSzNQRtxjhd1rIRBS0h206UxMUpcJtdExRBxTaLMGWise/Pp8HnRfFEZYmZBbWdK8FWJOkEvhDCpuqbakkIVjkl75cZM3SrIm77QZtNtEQlIfGSNKUrSAarVKHMd0eh36/UHJ6rBjNIwahETKiEolI7KVkP1btM09tGBGai9SzTny6+6U/fKECMxElRDoQpu1LLpMjr9Gf3wTI0lGdWwuIpG4CrBCRBTKgJrCDNSOWTNTxIJR0JT9drmTLpfK0bsdsVRGoVaA0OVzvFJsjRwaQnCNSWuAptvv0Ot3yfM+vW6bJJMWeNj19FRaCmbJsAgq99SMQArTmkyjh+a2GQ0MjdXSl3aKoFMerIKJ6CNS+GEYmFoWptLlRwgk0rK0QoCwSqiQ0tY6AKWFaVcWJ6T1GD3oo3o9Bp0uvXYbqlWSet2AHiGItPESSFyIpiqfaWfkqUVoH3pcDjXgr6WmhEZTBFzVR26U1lO0Dnm+j0/wNOQBoX2GM6w4rq4xIaImbUBToBAyJYlTojRj0O8waLXodrok1RppVkXHMdrKMuWMOdqCCEdPwhjbZCRQhfY8CUt3aBN2qrTrpVrunPvME5NXHN09hgYjIRBejylZhqMtZelHavPOZUd9kmWWHuOsTpwWMOgz6HYZ9PqQZUSVCoUFsFJjKCogVmfw1XZXS+O2Dsarvfz1+2v1LOX0JyF8OyRPD6LM/3Uxu67AmtbuPrc2gDVWyDglqSVEecag36U/Nc0gbhLVawZ4iBihhfXQmvQIx48NqWrPVxx/9q2x3LxLCgpo1wlNc0aV1u4gmn208lIHayO82iopIqwcqVJLMopej067Q7fTJa/XqFRqeCOrVlZemS4SwgI5ox9EpfwJGYtwHwUOIyubpDAqcFEOqNQr7PoqrQ04tAdqgEDKhLSWQNKj05xAddukSUKWpmTVKiJKzBo43uN0AhkRlmGQUWT6nGuNjGISGaFdF2yNNwi7vFiXF++cz8p24XCGa4HlPRiPoxAY0G2j6vzztAoMVg7EGoO7lLGxx8UGmBqMYPiLAafOCB3IeiGI3NmTEiEjhPMG2HFiW4mZY+J0RrfGIc+2+4zERYbkxYBOu8WgM40aDIhEZAzqlSpxnEDkIgotXxDCpAwKwzFd20nLDQPeSKlv+u+buZm2lng+6eitPPtBopg3kNm9tPRvDArBQwL8EZ4g1wLQjUHb8x7q2fkgR9kq38ZxZ+vZmBlbj7N5T2isdGfS6bfeABiwpaGxYAz0SINnhlrU/ZnXHwXW4ab/Wa95o0FtCRDP/N7rAerX+9sbgXBzA0OzCYFmIPSG/j40hz9h9sEtbzSSN7zeSOP6c6431t83u88omk4pwCsgSkj6Al589RWmJqbJZOIVNimNohvFpqy9tgq4a9Le7/XJB317rqT1mAaHOpKoPEcLwUArxjeN051uMjo6QhLHICTVWg2FATfKjqlQhUNEXll1c7FpjEOGBCGdKm6stAhNITST4xNEGkZHR01+F1hpGyhC9qBuBqpD8eqYjWVUrvCL8V6bxymrWPe7XXrTLer1BlmWWUEnjJJgn1cyJaeSWi+TGAYbRpsLFBwCBoix6jqLrpLQ7XRpbZhgtFqlPjZKEUnrETbflUJYi7ErfGQEmrRS2LPTQCkqLfgKiUAKGx6tNTlm7aTN2yWSKKlpTUzSHB9npNGgNjaCJqCNIV1MlN4rEa59qUr70EMBwlkqraKnvLsblPVFakskQltvVyRQEfSmJ+lOTjMyMkK9Wjd5hmjbC1HhJLqwylwkHRC0yrsdX5g7KrxAUf7MuO+7jTT5QMb7qIX2610CKasB9brk7QEjY3NI63WQBuQ1RhoopWg2m/4cCMpxOhEVyZg4rhAnMTKOwdNMqSw7cOvoe4glBvxEOoubFMZQpTWF0gyEBdX9JhtfeQm6bWY1RsmqDXJsex9hzsfA0peIIq8UgCgLHQn7nxAYBmTvaF5I6YsuuWJYTvdxCoXZKPOvVspWC7cPs78LoNDGi9htTdMc32SUEi3Ip5v0Oj1kLSPOaiQkRDhQpRHK0pZwxWfAp13YqSitUahQq5mhUFHysiHFIgSGTknGFh4yaykUaK2QeujxeEOx/Vdpo6S69QoXVBV2rHFk+KXNT4y1gCQlSRKSvED1+vRbbbrtFqJaJWk0iNMqKEOzcSRBmxzdQWHmEgmNiMq9cdErXsa6Mdrz40L0zdEPgKfT/L2KIEq5HQAEKwBM6xV7vnyUQagCIDyIcEBWIEApcqkhTUiTmHjQp+j36E9N0W+1SBomUoQoQmpp2pZZ5c170gTGUDFDD/KeXdvKzIMauwYqGKQ5FlYeBTxQoYgxHqkhL6zlR4blmEOg7VgiaQ124XOjGBlFVJOUpN+n0+vS73aQ1QqyUqOw7ZWEBm3DPfzyCQKjtraGBu3HISnTj5yBxaeGweaRjh58iIAfmHc6fcHrY9rxedvaUJhzq5OUNI6pZBn9Tofu5BR5p0tUb5BmGYW243KGZrs20hpznIFa2Pd5+eeQW0BzHojM/K8do3I8SpjCe5G2wxfO4GLXJDJGs1woZFZhJE3p9bp0plu0O12iRoOkknngLy2AUYjAaFryTG+MC3QWYemirHug7ZMKe2xcmlAp3/2lSzkmJURCo7od8naTFE210SCpVJC2T7CR4cIDxigEuUKSpCm5KujnBTKOieLYrnW5vk6+FDbCTAjTRUABuihK/dGBdxfyLRwgdkVEXXSPBd2FuSeKInPW7HelBaNaOZ3BGKCFs4g7UI81kjtnAyF/Vwz6A7RWdh2Md9WJHs+H3ZkQLt+91FOVVkQyQgJFntPttum0psh7PZI4plptEFeqxGlq9QWzd2iTPiatcdRrIAIDXIPxmsM5bHB043A0o5xuhCQYXmkwdXxXDxcDC3OaQ93CzdnpdH544fnHhWSX9w8GAwb5gFjGJGnF6kV4HcnpONoaVLxeZsertLL3GyOmSdPT1vancEar8swEdCOjMi3mL7j+KLCeqdT80WtLwDgULm8AfgXmUL4hKH/dL7/+c4OB4JnH0Ge8wUSD74SC23ww41a9+afh1IdudsJTB5/YzzYz6f/llwiV1Te4fKN47KvtLz0N//XSy7SmWoylNQptqnxKy9RlJMkqFX84CwtEe50uqlBU0pR+p1d6ErHKoDTKVyEEAwnTm8bpT06z9ezZkEQUWpFkGbkqGOSDQCjrkoFr5QsQyUBxcMDKz9/rbhoiTUHOxlc2UiNhZKvZQfi1zZV1zMRbAcq9cZ/78KEAUDvyUKrwdyuBN1J02i06U9PMnj2HuJJ6QWcUzXLHwt1yinpodQYCJuWULjyj8AqNKgFhr91meuM4W43NplavM5Bmribs0zDmyOZD5XnuQxodqzNCslQCZeCNMu83eWGO6Qqsl10bz4kSmlwMmBqfYDDeZJtZc6jUq/S1RtuwYK1dxdaSKCNZGk5Kr7x/rVE2vHItcGWqlNbWo1OeO8dMNQY0i8goqdMbN6E7Pd40Z2tUJaHQoJVmoAqKorAVj8O9sMxYO0WlPMdSOkBrxuj7eOsALAUyzgElY4QRvsq41X3I1YDp8Y3odos5s7chGp1FbgVfHEV0el163Z5/L3YP7E6ZlI0oppLVbPVSYfLdfOEuZ9G2CoDE04wO+1V7IVjSZiksLSCXBVPNcSZefIFaFDNr9raINEVRIFRBJE144KAoTP9vBJFwngFHuDPkhgUiTnHygtzOU6HLM+vWVZrPYmnnS8ltS01BezCFsM9QmunJcQbtFnPHZtGWCYNuTrU6xkAXdFod+t0eMqshsypaSgpHF2i0yimst8HiLL+n4eUAdCSjEniJEnAORdkQFFRTLqpF2MgQwy2Mt9jRoZ9sAGKdl92qPTqsAG0jYKzyrPIcJSCOrQFG6RKMxBFRlFKvZiS9Du12i267TV5vkI2OkcZGDkgNUSRNBwelTHisFr4NnbAhkn7uAa8WM8FoIHOVMxTJ0nNSegidF075+RU2BN+HZ88AZ6VBSfiCa1JIRCRBFSggLwqiNCNNU5Iso99p0d70GoMsIx4ZIcqqRFFMjCC3fU+lIFBcyzBmERhb/PsdYHb0IiSFLb7j10W6SIdgTZwR3D4TGey91j60ObK6hD9aDohZXpZrKBIDsOuVlEGnTbfZpNfpkNQbxGmNQmmEslEh9n0uhsobFKxxygawWfmsPW92a1AqF+V5LiO1rDx1/McZKDCRLb4mgvtuoVBCI6IIGUcopelrEFFCEkdkg4z29BSdja9Bo0FaH0FHCYoIlJXTUqKk8fzLMpfB6xIyNPLYtQ+V8jBqrWQrLpLJyMlCFcR2XtrqTKpQliSFMSoIYQzdeWFD2Sv02h1aGzaQ1zNqo2MokYBSHuS5tZIIW/0/IHFRpgE5Q4Tv12yNVCKK7c3mi9rxAWxkUIHxwApNIhQiH9BtTkI+oF7NqGQNZJyYAnjWMKINqiWW0kaCGB6TpCaVptPvI6OISrVqi+QVoCGKYq/jFKpAFQXSgWBRFivzup4FVEqXYFkrZdM6zDo4HaVwBhK7HoYfGYNPZKMK8jwHBGkUIyIT/K7yAUWhSFLH34O9Fnj9pjfom/FKE7UJmAgYp9SpQE90wN8ZzqW0dAgoGCgTVt+bHKfbahIlKY36KGm1iogiRBT5FC0f8RFJf5ak1WPdXio7T298c3TqHCNYo5t2p7SUFU6ehEYtH4UUnEP3r0tZEv6cmJ8LVwPJftftswPqzkmh7TkvCqPzSymp1etD9G1SCYdll7L6Z+ToAl3yH1uIzBWr86lUsuyKAGWNnEhIoliSiwRJmXby515/ssd6JjSzeqH/19/jLBTB9zcrWPZHXzqszP3JX9viu5wG+zozCe8PABlDhDisAPjYmM2etdkPm98z43MPpnEhFmJzMDxzse2f3n3IQnadtMXSZl5eudJDv2+2aW6p3RQxqpySgmae89Ir62k329SSigmJDb4fxRFZlpncPGFyWwZFwWCQo4uCSpaxy4Jz+MgfjuNbN+KBkNKKbq8HsaRfFExunEB0+2w9ew4kEUpopIwY5AObC1MqEaVlTCNEhBbGKuVBtd++0vIVLmSv26Y1OUU9yRidPYcc4+nREDDOUrkrAUv5XLdfM61v7lBL5zbXoGyRnG6zTd7psdXWW0Mc2xBrKFSORlkPJE4qmmfKUuEKvZx7LF7K8du/wKXHX8TaGduu9z6Fqw95FzXa/OKWhZz7ALSnp+lNt5g7ezZZtUYfTVEE4TyRAV9aKYoiD0C7C7MpQ3AdGMMO1YBy6YG91toKqRI0CgFaFYy/9ho6z9lm661JKhUGQoMStu+5Rltlz8j5UnFxe+At7sOka+8vlSEdCFEfAicMzFQKkAZUD4o+7YkpogLGttoWkSQopUz4d1FYy2hUMmNhlBgZSQrbFsTNM5KSPC+Zt1N+hSrXxykZnn50GXFhZJeyYFEhI8h7PdqTU2RRjBwdo4hTIhmjiz5glH6K0gruFAnjLTLRA5EN/ZY2fxKGverOoyLsgqqh81I+1/3dKbSOc+lI0EfRz/tMvLKe7uQmZmd1aiNjKClRukAITRylxpCmXeQAFCjf894r6TZ311n33RjdWEoaDMWE8AzMPW0op8wSoXAAx70C7aNhBt0e3akpJJI3bf0m4kpKu9UxxaMrEZW0RlrU6Hd79Nod+r2WAVyVGjJJjQdKlvzNexJFyeNL2ih/numP92Fx7uCLUoHRFhwapd38KbIKreMdQuM9Ft6jZT2jsTSgzSk9dnBAGbYXWbmnBjmRNDxWRsZbVCjFQGvQEUm9wWjFeAY7rTbtdpt+rUpab5AkFZxpLZUSJaAocooixxndIowi5A14Yjjn2PHTUGo75dAbnzDpKsLz3JJOvKyw66Cd8NHDYEh4FFi2ZTFht8ZzJCKB1gU5GpVEJPEYs6p1eu0WvfFx8nSarD5CnlZNOovz/Nv2LY4O/TvtOpe8sVTUZ87ZXUIYA5mPGdKGR3gG5JUtWyNAWiOMxjvyS4+9KME42DBxk8ahYklSHyGtVOi12/SnptGVPrJSgTg1Ff6VUZBlqFaIgMKH8s7LsHEPuigPrjMUlZE1wh597fdW2r0tz7Pw83FrlxcFkbQ1PCIjW3NAJwnZ7DkkvS6t5jStTpe0VkdUa8g4IbZeSZOTbnvXg1+bmfn45THTgNoMVBuFXdiQZHNebZ1hq18ERkzvNTTvN1FPQGxby0UJWRyTVVLarSadDZuC0HZZ1h9QysrNss2poWLhDQLhGTIjL4lGWP6vlPYVsxECkcRGl5EFMu9RtNroXo9apUI2NkKUxmgbdSJkhAtVNw1gbF2OorAeaUleGBCcZhlCRuQWGAsR+XOqVGHAlgvFdfRjgan38itl5a/wocfKerLR1vGC9qHhQggSJ9vtHjhZqbQGpTzALpynPUqQoovCVZl24dnaekAj8qJg0O8jpSRJjNHYGZ40NtzdRmQ6mlIqNBwBqkDYWgF5v0u71SLvtok1jIyOkWR1ojRFi8jDmEgaDuKiC92eCtvKtDSmDBsihOX1HqdZeimjIwN5okv6988MeIfTwx3r8QaxQP/WSpn0LRlEr2DkCAKfNgigC1P7pxiYtp7VrGoiHLXy8swbVNz/3Zmzhv0i0Gu8PmoIxvMc5xWHUhcrP3eyQyAjwWZFL/6M67/Vx1q/0c9W8wk/f/e8hbxvcqkpQrbLPBa8d5IVK9eUjOzPBeC7zGPBHvDQslU8w64cfNLObFx2tWlltdlIh5/97nkn8b7JZWYsfoG9plaO9d79mL94Z4brVdtr4zouWLmGPY9cyJxfXmz6dDtSfJ9DzGlKAAAgAElEQVSd39VrgkUx155HLeatL5/Lz8eGC7QB0Hueu5eZNl2m5/Xc151+74VHWbHGkf6ufGrh7vD4Um77uR3GLvM48cMN1p27pTUZXhZXRXz5zU+iEUwP+rz06np6zR61JDUKmzTei88tuYR3/ecCvn1zRKfb9w9TSpEfehrX7v6m4ff8zbWs/Mfy1+fXLuDMGzWDXpfpiSnEQLPVnBM5Y8VW3Hvycn5mD7EDAO4gwRdYcvFc1py8gn877Bt8d+4THH8xnHLxbrx88jncQsAMdBkWLMShnHnxHFYffib3TUwze9YcqqNjDIDdvnZxWe37Da72b27jy+c+iN57IVftuYEvn3YDfPRkrjrkndQ2v5lLT7iYtQLef+pSDvjDYZxyiWDu3DnI5HCWLJ/LvSdcbEGxUWojBHz0FK78OFx7/EU8fuSZXL3V4xx17oNeeXFgYO35J7P2iCXc+O357MAHOOCvZrz7S0ezVsBAK1oTk9DPmTV7tokA0HhPjhGE0ntriqIg0PuB0EqrS2HtmSfWIlgWznG5UIX1+CA1/W6X1qZxsihidO42yCSm0MrnxhqdzylcpVfY7d/McCNjyKFUlCE4w+FaQals2wnbvGsDCJpU4pTa6Ag6MkYepRW5DS1zICBUwp0w8fpw4F1xtOrC0fyXYEYBK6P4lHRdfo40a9htNik6XeqVKlmjTrM1SYFV/qPIe8eU0sY7SOklE0KY0O+oQpIktlicMdYZq2+E0jZOQweC2Cn8DqmJ8G9YsFsqtloIBmpAqzXF9MaNyEHONrO2IqpkRrFF2fwzQd/lu9k10TjP7TCwVIF1P7xCQeqGpyyxujAut9x66Dul190J95IsjIe22Zomb3dpVGvUGiNELt9fCIhseouQiFiS1RMq1Yxuv8Og16fXn6KfJMRZRiWpeMHtAbLDc4ESbgw/csbYSkUXex7c/hCOO6Bq33/YeQu9Yl3ukaNhQ3OBoi2GDeAurHaYHrUBxLHXmE3YrLJFmKLYAOmsavJ0W206vS55lhFlNUSSEcsYiSaOY4Sy4bc20qigBL9OmRsCmP5fbO51aZjw4Nmn3bj1wBj+dDk3F3Y8tPfCT9sDuWEad6A8Qmlhon8wEVYykWSNiGSQM+h1yCenUEmHqJKRVGsgIrA06cCi9HyjBMNe3w75glNYnbGL4VQA+0RTTC5yUVOlDqhxRhKTUzx0jBwgtftvzpn5VoRAK5NTLeIK6UhKkg/od1oMWk1kEiOTDBIb0YOwqUk2d9nyZO1pkPKsa1V+PuNci+AHAUExIjw48HzJzjCUUY4/meg3U3wuiUzOvEKRC02U1RlNKvR7XfrtDoNeF1GtorMaUZSaCAvL1LXAy7wyRLQcs1IqACrl56HHLmRCwoX842hA+PDjGQuFSzsTNhWoAKhk1NKMpNuh22nT6/UQWUaUZmRJCoU7NuVYpI/6cLxFgM0r93VL/ILbiC/hjoUBypGUqEGHIm+jBz0qMqI2NkaUZujIZKs7Y5+LCnMGEBe9GEemRolSBTJKiG3rLFwutE1lUIUyUYNa+YJmgO3dXYInbY1VaJv7baMUncGpDBVWNidX+qigIjeALYqCUHF7RdazborwSCIkSWzS2ZTKDUFKF81o9I8874HGt5QNQbw57zb/36bUGHJ2fB9MbJ1CFwV5v2siRTptpNDU04w0qxNVbEFBa8SxiR/GkOFoTOugQKSt4xHkeAPeM6wRJtvLKTABvZYygyE+UfIry2e8/C2NZs4Jg6UDFT7XMG8v08yZKPmrtnqnS7dL0tQUJbOGFy+/7JjCGg2+DgLaYmdR4k5rwHQplD5yRuvyW073sT87+eJyq6M/IdL39a4/GViH7FBv4bMhIQ3+cOx55GJ2GcKGizl1p/K3UxftbH6wIPXPup5axQrmsWDRUWx73jq2vAxii5+aK0AIM8Y99PXe89zjwO4Wrsd++QoL3rs/PLWl1lklYQKw/1Hs1HqUFWsAlvFMMOp3zVvI3vyufM+aq01PaoxR4sBtX+GeZbfwDAGRuvnttzPbvbqW5czjxMXbE8L19y1ebHtxmx7atz3FlkH7XNcj21zt39zK8Rc+BvNPZ+UeM8Dym1Zw+W7B753nuPLkFfwMaD/7Q05a9hgK+J8nfYf9Xz2es2+sA4JdTzmX/QR0ez3azUO4eNWevC14zDFXXMIxGPD9zI4r+MfJH3Lcht34XvD+Y65YwTEAHMS1l5vPdr5iBfsCL6xdwJLrAqUFl99Y0J+aZqTaoN4YYWD+wBPnncITAUVr9uLUS/bg5QVncZNTaAJFj7eMweSvzOcPLuVoU80K0Oy+6EKOe9cU9y5YxhNCkPc+xO5vHefXZySMjTWMkN17K3h+HT91VTmltVDHgkM++C544Qes9QqRY0DlXmsr7Lnmm3wB0Po6brQK9qHnLOWvf3QhPxUw6PeZnJwkI2b27DnoJLatW0vvayRLoFoUeSCgrcKljaLkwpeMslECOMdgXZiVf7Y0lt9C5XSaLfqtNiPVOvWRBkqaMGwQ1ru2udcOXMjojLBQjNLsmbtb+vDvlLxoqDCIABUJiiKnNTkJ/T6Nap0kq5ocdKU8qHPPcGGAjrELC+II6AIPAsUwIPBgr1TmvaIsgvPrAIAQaAl5v0e/2SZSmpGRWSRZBYRECVv8RYJWRjo6kBEqeFJEJElKklSQUVIKQCeQ7OoK/91y0YRDHMJPFgfHyjwsOxkJg7zH5PgmulMTVJOE+py5yDjxRfRcCBeA8SFZi7oDMm4M9n9AUCQtkCfhOXRbHpCFH1dw5md6hj1NCae8a7rtDt1WEyEEs2fPIatkFMJUiDdTlyYfW0pPAya1IyatjpAkNmxv0KM7PUkeJWTVDJlUTHhqwITEjHk4JdaBhXKewykfhpiHVWen9HuPuDY/O0+AsODA0Zz0a4yNECjFUlmILVD07ZA0oISyVc4snQuTa6lxiqdGxJK0EZtQ6X6XQbdLr9NFZxUqWZ1KVkPZ70aA1iUMLLFusPFO6fI0K0qvjwjuA5iRruBhuqA0SgRr7402unyXFNbLqEsjmgP0WgszXiGtkUihdUGuI6JKTJak6EGPot+jN92k3+0iqhkyyxAiItKaCBNq6QwBwgI468cpz5qLutBY788WdBcHALU2HkMXTeIU2yDNwxO828yZYNCulasSD7YWCNLsV5xQaYySDnJ6/S6q3ULHCSJNIU3RNgdba+XDnN3yh0aM0htd7nc4HQ+k7HhNyKzwRaDKcxJ8b8jwUnJapQvTeURKD2K0Nm2W4lqDNM3o9br02l16vZ4pxJdlVIiJibzB0PDvYVC92VYEYyivUn6a8yKt/sHQs8rvBAYDhKn3oLX1UBrDdiE0MsuopSl5r2MjZnqIap0oSQ2ADOSUAcs2KUrrIY4SGoot1C75jrDpXnkfuh2ivEslTahW66SVDBGnNrcbH7TpPKJKW5BtQ9O1hlxpRBTZ6tjS04fn1zrI55UWMGIBlRb43G9d1kuRwvBjtLbhvSHv115PkdJ1s7Cg1Of523Vw6Uva9MgWQ3LIvkcra7RToG0DP6tDGQ92SQOGj/hjZvQULB0L6Y0ExugnUConH5hikINuB6E1WVohrVaJ0wxXKNZpI8LOW9t1wfEnpC8K59LpnIHBnYnyzAd8z15+XWCIRjw79nx3mH4dLy5TR208ilUhPHcJDGPeQWGsHzbk36Q2xGnqiz86niCCN7qxhbqfpuTTZeTP8Hl0xr9hA74O9Fi7X+5EKEWv12XQnWbQa/OXXn+03daJr9NuK1Rg//i1K5+aN5fVq9bY+/dj/klj/PwNwOqfewl25aCTdmaT9VjPHNvM9l1bunovPMqKVXOZvyjwUG/cyPpGk2Zzexovn1t62/eAh5b+lncv/DA7Vtz31/HStjv738Nr/dPncv29+zJ/4Sx+vuxmtj3yn3jry+dx/RpD0nse+U/s1HqU5aueHB79LvM48cPbwwuPsnzVzz2h7XnkInZhHResvA/Nvhx2JFy3Eg5btB3Pn3c1j+0yjxP3gAeXreIZr40C2nq2X22yHetYfjOlp/spJ2jhxY0TTG2a5NCzL+SvJid5O09w0sWP4vIX3POcdVQ5pnbY6ayc6bGecf3XT49mwdIpapWMer1uBIr4AmdePJc1C5fzxOGnc93ub+L5tSfwzeuEPbQa43mey5qTl/Ozw07n0rlPcMJFsPDi3fjDKefwfUMIiI8sYPmn37G5J3noeoU1X1rCzQh2W3whx77r9e9u/2Y1R5/3IJ8/5zL2/6vwc+PFFkKw+6KLOFzfw1HnP4iWgn77g3z9qkOCPoBtfnnzyby05xVDz6D9Gy46/EzSJSs54f994xHTfpbLFmxgv5V7wE+P5hsr53POtR9gh9e7/6VHOPy0VWgpKLAg1lmTZYTAgE9XndPjKa19qJ/GMKBms2UKGKUpYNpgSRmZoh9OAbZ0oSNBv99ncnwTDHLGGqMk1apvieQAkPfKhFq+q0YdMEjvwXEVnr2EdplmZSiz0yFNTrNm48aNRJUaUSWh1+nQnJggEYKarQKvEeTKhHuVqbpmDK5ViAfKQaG40IsdxzF5rijyYuhvYBVdvzDDXkv86M2fe+0W3WaTkbRKpdaAJCaSkkq1wsaNG1BK05g1Bx9ub/fNhQBGCOKkQpJmJorACRwdhC3qcqFKoau9YJQS+nmPZquNLmyurNC+R6TRaTSqyGlNTcFgwGi9QVqtUtg9c9V3CxtW76umI/2cnbATVkNTRcGg32GrreeSpRkulAxs6KJXiIwwL0LAKk3LLR92akGVA9EWZ5k1iEzKSnNqil6ny0i1Rq3eQMQu6qLc74n1r/HKa6/SmL0VIq54MnWeC2GVYFXk5IM+g34PXeQoaVo0VbLMh9F7JUG7M+VUkmFJ5ZWGQBGwW+jHJhEkUewBiNaKTZs2MNCCpFYvdSH7Q2Tf7YxoJYa1tCgw3mOrePk1s+FxLtXHPTiyBRdlkCvtPUBaQZGj+n3yQZdcKUhTolqDOElNwS1twladd0sFxYecN8OHK3s6cDyCcl10EFGjjfenPT1B1miQZnVM7aAggsnxtjBawK6Fk19O8QfnGS2LXLmbpT13KIWruiS1gsGAvN+lmw/I45i4ViNNq4AJw/dat6+aHFQ0D4pdhwXmvMHJA8zyJOkipzm5iWp9BBmn3mDnvhV5enOUHRRXczzAhdWH/Na+R2F4f6QFWhWQm7ZQvXwASYqsVhFxTIQkdmvnxuuNIq4AkqE75TA+hCjHnw9nTC26HfKiT5KZCAAhZhR78gdGB9Xn7e92f101auHSbQAKZQpXFjlFr0u712UQS7L6CFGWIYks/1IWoJZMZCaQL19ZzsMAJye3JL12i77KyeqjxJTPmQkYZsq7YDoIyt7NkVaIImfQ79Lr9+nHEVG9bmoAaGmKDRqCx3vPKSPJtCr8XjiQiDVWS1WQd9uoTotECJNHnaam1aDA5vpbgCvNWXW4XEQRrnWiRiOjyISEi2FQUxaY1P4sOn5bFIUPyRXCFhizRlrhcmu1LmtN2LkVynn6rTFFGwOL86pjDWeOVpw32fN7SkO4RpAoTX96itfG1xON1Kg2xkhtuzS3Zh6AS+F1ArOm1lDgjIN+I0HlBUrn5P0B3U6LfreFUFBJU7JaAxnFiNiVinei2hmlpJ9vKTsdrYiAZkq9YoiWBISGumEas/LMfRaC0PC5JfIeOueeuwhhi7tpX8BW273D6Z5AMchti92IKI5NPQjKlDh/v6+5VtKx49Wbn8XQaCe8PdGlDZU59o4NK2ycOmjjWOr3OvQ7HQadNvS7FHmf1155kb/k+m8D6y19vtm131EseEeTp5et4jG25MU2ntTVT/1pgzbXrhx80oe2CGKHLuttJgxDZ0ZYuhvj2DpWrHoS7Bjf+vK5XL/GGAGeWvY73nXS7vD4WtjDANHVPy833DxvLc13WHC/SxkK/u5DzLte+Oty3r0XDIgW+x3FqTvNZf3T62CnndlmowPL2oPqLU1x/dPncd0ac8DfNe8kDrRGg/VPn8t1rxlQ/dCyW/gPNOx3FCeOrTOgXYPY/ygWvKMBr65l+eTOWw437/yWyxdezC8O/2cueu8ovPgiG975Dt76OsvcfvaHHH/Rw6Z3XsCy/m7hdzjw1RM466YGOjJFzaY3jTP2mTO56tB3/xHwa67n1z4Bu+/G9n/0zld54FgDsNX8b3DN237HvsddjCy+wmU3b8ddR3ybtRzJv6x6J78+Ygk3Wwb4/kUXcsCGr3L6taD0Xnwt8FiLI77JFVs9zjEXPILWmkO+dSHb/firnLfdGVw193G+csHDaK3ZfdFF7L/hZE77Hkw3pxg09+Y739+HV044m5u05pBvX8xfP/b/MfaJudxznMmN1vqLfPuyrbnt1oJjD3sb//+qU7jgfguAj1jC1Vs9zjHnP+SBpA8PFXtz6iUHwF0LueABwykUii+cs4w3PfBlTr95mlmjY1RqVR/GqimrJAK+0IMThB6Y2p1Da1/ZVQhoTjeppBlJJfXKcJIkvqCNtqHOOo7I1YBNL79KgmB0lmlb5X3HIuQRQUhQoFQ4IeiFCk4Ilzy29L/qof+aZxnFP4nglfXrSesNU2l10xSNrEq1YYu3IWwokglV1LbVRWQ13CEFSNvcLxs2b4SdGVscxRS5CvpnlpdJjXIARdkqtE7RN63HBJru9BR5u0u90aBaa1BogYgEjXqdvMh55dWXSaKU+uw5aKXJBwML1FzBJEkURVQqNSOsrKdEOg+IAyEzwgTdynnlQpo+1p12B9dfXghtjAbSCPN+q2VC+ysZo2NjRGlC7vbPKu0OLLnu3fh9DhWTQOlXin63xVZbz6Wa1cynHliXXgkPks2mWG+JJnLv0sIWf3TKAkabl+bzwaDP5GubiBCMzZpFmlYM2EaX4MYK7ckNG/jD+ldozN4K4tQDVm3BkQtRdGZvjYJeTt7v0um2UZEgqddIK1XiKEZaQOmCEFWhfBi/B6hO4QwKNc1Uvg2wNmBD2iI24xObGGhMtWpn4HAhq7rc7WF1zwFrbVozWQCrA7oPKNkrxJGtoOu8VWasJr9XWyOV1JpIKcSgR7/bpp0XUElJGyOkSZXEVgs2+4tNv7B8xylRLu9NlfvsQTJGSVeF4SxSgC4KmlObqDZGqWQ14zEjiLBxeqMqiSgM+Q29iN5XpDH5tzPWTDqwaJV/U6BKmDnnOf1ul3a/S5HEJCMjVKp1YkAoM5ZcFaZHvNX0whDEcIuMUhhUITaEb5REVTA1vpFqo0GUVnC43d0dOfQkwu8GnhoM78F6nf1l1yVs12iAFwih0b0evU6Hns6hmpFWMmLbd1koC+ACxT9sH+gMFGFItfNqxVHsgYnu9xjkPdJqw3pJXWX3QMmeITscV3Ngw3vKLI1aCGKLVykirZFFQb9tUxiqCenIKJWkYg1QkV3HwDOth0GJEMICQle/wpoNlAGXRadNb9Cl0hi1ucibg+eZxtbNjAch5SnTz1dqQ2edXpvOoE9kDYQS6UOGQ4OKdrJcG8OCDcY28qHoo3pt8laTCE21VqOaZaZYFsbb7COkMKHTaE1e5ERxQhRH5IX9PUlMvRZMHRcTHm6MK8577AzMwu6Jy40t66LYlCAHhqwruFBGvrow8LAglcmrNvTuQaebe7Cuztho+IctmhXWHNGaRER0pibYNL4BkVWojY5RiW0lbktl7vnOO6xttBCWxsxQtDdooBXdbodua4peq0UEpEmFNKuaFn7CFCM1eponDJzgK8H15rhXiNBDHTgCPF3ZeAlhowAo5aent2BdtAW97p7Q41waCkp6kLb4mNJlZJs/J07oK40qFINBnyiKSCppoAOAkBG+E4rbMzd3K5vcu0Oj48xUMhHwMseD3MY4XuH4miss2u+06bSm6XVa6MHAFNdLUiSa5//Pr/lLrv9WjjUMA+kts4P9mP+OJg8vW8U2Ry5mARuBdVxwXhk2veeRC5kbfH8mOBdb+AyeZPWyJ4N3bsljvR/zj4RngHf/ifMRdsxvnQvbzF3MfNbZMT3J6sd3ZMGHPwQvPMqKISPAfrzvrU1eOA/mvGMuuyxazC72L6cuNqHu65+Gx1aeawD3HvDQqrkctmixAdLnXmUIe80a2O8oTl10JE+ddxWPPbWK5cF79jxyMe9jHRes3Mi7dyk/f2bVUp6xHuon1+zKp07ankoFDli0iAP8XR/isP2e5Lp7gTUreXDsJPZmRw7bCX5+3rk8xq58yuaoPwy8sGETHSC98V84ia+zbM6vOeu4S7yXURx2OsvmrOX4Cx8aEnS7nnwuR79zRs7yu67h2g+Wv/7Xj7/M2f/6XY7/kSpbBvB5llyxG1s/+0OOv/BhL9DNhnyBM//2OS4/eTn/hjmn0uVpOEVMfJgTL3i/OfBS0r/2TPb+7GncfubHOGGp8RooeSTfvulv+I8jlrDK5+aZA7r9By7jhg+UY/zbld9lf/tz+zcOjOzFdrzAT+9T7LF4DN66Pzes/FQw0cu56QMALX550z3GCufhsGZsz79jhxrssQ+sfaAEXNzzbY58qEqaJICz0OLXQIMXbMaj8zAXLHjIM1OFhkgwUJqiM8WssTlUapl5UnAoVcAIB3numY4LDdeE1j1XwdEpK9IUwLKXi1TQmEqKKgIdQavdYtOr6xlLMmbNncNAULYK0y4XSQ8r7wH9uNC10ltWIKyyoHFW0RJkg8u51pa5m0dqKRhQIAS0JyYougNGGyOkWUZfaLQui7a4/D9pPSPGC4xnPKVFd1hIu7ArMWP84Ji69HOcWXgNqzDEWjGxYQNRoZg9NgeRphRCkCQxWa1Gr9en0+1gPIQGyBUUHniZgjvCV1xGWB+dHzteIdzsb5RKthk0poJpoazC61UTTOXsnO7UNP2pJqOzZlMbGQFhKpmCsECuMEUOnTBz4ZiUa2depUvBbsPevN/KacjSbmggrJU5Cl5YuOJXw+tu3uvu0xJyoWg3m0yv30hjdJSxsVmIOPZGBqWKkuYFPv3BKPIO7BlAXRTKtrnBuAWdwoZAVmPSSkqWZbS6LTrTTXrNNtV6nUpWRdmwSGkr3ocKjgED1kClVAkmAtrSSkEUeaVUuD3F7h3Wk1wU6EKVINU/g+CySiLCVBvGKFj+3eGd4d7Zn31/WVUQydgU1pNGicx1jhYRscioV6qk3S7tTovehg3kWYXa6CziSubPcByZljtK+/iOoMuDM/CJ8ixq7XmF6znrohmw43IP0paf+CJI0vUO0B5Qh6YEp7x6nSwEun7NzcNlFJnCWYUBi7kURJUKSZIyOqjQbU/T3fgaRbVJNjKLKM2IdOTzkkHZVjnGSODbR1HmiZcKsnDwCJcSg9tTe77B1GFwpBswWd9D3AFtYdfe8aqwuBba1RG0fEVjwsOlQFar1CspaadLpzVN3m5DrY7OMhIZG6+qMPdLDC/GAg/HUxxti+D5pRfThcpbvuzydhFD+aRuamEkRumlLT2RqBylzJ7HcYKII5SS9LUZUzY2RqVfpdmcov/aBlSjjm7UkTIiKbRvceUBYqE8MBzymll5oAvDJ7RWRFLYAmwM3TvT4zYTaM8E2f4zGyWSK4FOBbV0lFq3T7vVotXukI7WSSo1JDHCNogSlkDMHABhis/FKOh36TXHEf0eo7UaWa1uvKbSAlVhK7drE5mFMJ5lhCBJMzSa3iAHGZHV6iitfYEwIc35QAeFyURZOKyMdDTAWAhTndvtYRzFJqLOAuiyF7UmH/RNsTpX1dtFVAlJZKuu58pUFpf22coZJYT0QSOmKnkZxSIF5EUfpDWCGqbkeUQYqYYOisBafcbjSLtnUggGvS6dVpPm1ASqGNCo1KjV6sRZBkKa+h1givW5IrbC7JOjK2FzxbUFrE7/cjxdiNJY4Ly0OLYgoyE577y3VlAO4SshhKkxYs+XS2FwRlRX1NXRf+lYKVuFloDayDFVFOT9nCiOqNVraFytDWucjaTXCz2X9XutfDqZjySyPNAZUNyagMnnd3OPnDFW2DQpt7BCgC7odzu0m1P02y0Ggz5SRtRqddKsipAxeafLX3r9WcDaC7zgd7sM/toMXO+3HdtU5rL/osX0XljHy9u+E54bY/68XbnBeofDZ73etWXQHr5nZ3ZsNuGkxcx/7lxuWANilzHGmPR0us1Ow/ndM/O9ey+Yfz945M6M9Xqsf+5Z40XuPT/0qkrdenjtBu55pA0d3w+abDSgeJdDWPDeCVasvM94s80gmf/hBk+fdzXPAM8ExgV3IFlzNResKWcsKD38658+j/PXaGDX/8veu0f7n5X1fa+99+fyvZ1zfrcZQFdJ6jIhJA1JWjRRYiNKTEdMG0MuRCMmDomiwIDokFQN6AptGUQGQVHDJUBEUqMxq2kmVQRdFWxwVlaEVYPWGKGiwzC/yznne/vc9u4f+3n23t8zP5CBsNLafFjD75zv+Xw/n3159vO8nztPftq9POPzNXT8C3nW01Z84LXy3NdGT/gLTj7A9//65/HCP3bK97/xAb70uS/iWV9wPz9xx9181RNbuo/8Bm+97/0iwK6yYs2vyDtj6x2L+bJv4bVf9Dj41cfzwld/P0850Jm/mrf8yFcD8JH3PZ+XvzXIzy/gu98aH/THX/RKnvnw83jpP7BsTtf8+Ve+lWdWcyYjzPc538lbyvztJ+Vn8tAv8jf+3o+C+VFe9uJ8izEGnvMdvP7q/8G3vOZn42fh3dz/knfj7Zdxz/d+NX88ucK/jre8Kf70wnc8CYDf/+Yf4i5iKPc3vupdBODDv/A8vvMtEHgG3/a6p/Hbz/9ufjQEzN0v50euiafkz/4R/gDX+V5j+Wsnp/zct7ycd0jF2T/1bd/HM3/7b/Li105cuXaVYL6CF/+Fx/OVb/4hUdC3/Jsfu4e//tNfwbf9wP18O/dw378ETh/h3QSOzdfzPW/+kooxXU4AACAASURBVAte+Wfx9rdkxX37oR/nb7/qXfjJ88UvvZ9nPvIivpOX82N/uogt/6b/hR/7JmD7Id7wLd/H+4ICwawgZwU9h6fqCUxh4KUOWLQ3iJfkVkpBI+2/fHbzlPMbN7lydMLy5AixJ4MvvEIWtPWUFWVEC98QQso51s+i8pG9rKV3Io1XQ7TzLEW6Tew3a8JkOD65jKsbhhBiAZVJGXl8YfZokCvQBqS1XA5lwpBau2l+fHQ8mQQMnXOiSKsA8AnMmyhxiQXUtuxOz5nVDUeXTsA5gjHM5jNMZTnfnONHzZuNwitJxyRkSCGupd6uc9JCRqpgWKOGiHizD8mXIcpkDrMzJq6RJ9APHfvTU5wPXLvzTqr5MgqrWCY4AoMxKjRBQoWV7hIAMKUSE9c+WvPlHkhREqpwXgybjB42k9dADU8CA6y1qaNCCDHEeex7dufnjPueq3fcSXu0jDleaiEvAL4Kaivr5QMSkia0Ku9X7KDhhqJ/E2zAW4tt5yybmnYY6PY7xu2O9X6PaVuqtqWtmgQE05ZJ8SJdi4tKdelZyNKBNJYgtBwmjyVXUS1B1qEUz2ubTUDE8DgM6sJXkiuVvNKYgYcxjEwCaowA3hBgMpZN8JhFS9PW1P1Iv9+xfuRhbNviVktMk0Nwa+2YUJxzE7JirFeiCzGQxkJIk4R5+mT0i98X0Cua8iGAI2vRgr3UqxaMSQY9/a7RVJVgwOZ7ra0xJobZBimkZZs5bd1QjT39bsP++iMwa2iWx1RVQ2VdPD9B9z6+X9uzBaGJNOc03jyPQ4Oa8nefdrc8fygP9v7gs9SKTaMkTDSG5h7JIRsafFSYe2NxszlH7Yxut2O/3RD2W9xsSWhnBBub1Ux63hMNZzIr5UkiK5tzcT1q+C72u+AVqfWXnMf4fSdVnBXZh8T7ILaS1IKdlYltO8cQoK5YXLpCu+/YbNdM+x0sF/h2yeTqCJRD5Aepz/qF86lV7tPaS+75FILIgNxhojQEpgiVC+uSeLR491GjkoltCr2PbQtdM+eobql3W7ana4ZmT7VcUjczKlwicye0Eb3dPX57jt9vaZuG+dVrVHWdeYzJHj1jYz9qH6ZYPdxajKsYpigb6naOdbErhlalB5MU1yBGO+tc4msHXmpZNy/GF1WyJwlbj0ujnUHUiOtyx5aQO1cEAl66c1QuhlWHEPOxrXMHBc6UK1qrCpzHj6OMN1BJ9XKNJAl6DgJoLdTozDdJJoUAwXgInq7r2G+3dJs1TCPzqmJ2dBzz1V0V8+mxydgVQojnpexokc60YLZEI/qdfI8xqjRno6h6/IMvznE6LELT8qPKtcT/ynNnpAsJZKU8hGQIxWgxupC6n3jv8dOIwdDOY2eSSdY5RzrJ/TrXQg7lorUlL1N+VhqlhH+K8q80pnx00lZ9EDsX7Xf0m3PGbss0DGAsi8VKWpLGM2AxBPvp+50f0zdLpbr87HZXuu+BN/JqnsvzTz7A69/5fuABNIz76+56P29/4Au5snpMY76NEv6F/MU/uOLfv/eN/NMH4c/c/VKe/+z38Ppfh9PN9XTXwx985aNCwd9ehII//yQ+6+rmA/zs5kk8lQd4233wnHtOyErxK+Hul/Kcux6Iz7rruTz1agzt/sjnfBF/lA03PsHqPPnZT+JOWu6896U8les8+EF46m3CsB/+oOReP/XZvKAIBb/zj97Lt5eGgSc+nW+/+yqv+uUTPre9yufd+1K+gOv80n1v5OcvPtTAz73pfuALedbda/75u9f84c//PF5479MPQs2/6t6X8lXy80fe91Oc/YljfuGf/BqP/5yHME+ModY/geFZL3stf/r0n/KC1/wsf/LFr+K/KYf1xa/jTV9cfPCH3sqPH1QFD5iv/85YPXy7Y/vQL/L8v/cOEtgzEJ7xAl7/JeUEvpxvfc1X85SD2PG/wFt+6C/EH3e/xg+/5HW8e/vPedlf/8csmzmz1YLxz76QH/rzTwQC4daD/K2/81bqpkVDQjTY+FEe6ze/IXus/60wm5++n5//M2/g7a//E2xP/zV/W/pTdH3HboxWxctXLzFaS4xo+x3+xd94Ge8whq/5H17D52AhvItXffMTeMUPvoSnAXci9Gneynd9w49mHfful/HD197HN933MwIQQwJ9xnwFT3si3PplQ/eEwOYDb+XZ//0/49LlS7iqYuQ5/P0fuBZXU3KKJj8VwLpgrqHAlgoeTYbdQZUfuQ68n/LfMA6c3brJuOt43JVrNLOZVI6VcE0j4TcoyIrPShbOpDDHL0XhHsFWCgAqwMhh6NxBQBFBqmqPXc9wdkYVHIvLl2OIukgAS2AQMBcLP+WqukVXlzxnDUY2h4xfx6rC52IIXwhcCMsz4MCPA/v1mmHfcbQ8YrZYEmzsxdk0DaOB7XoTFSSb18KoElwo8apUJmVU1ipDSZJRI0kmU1qtgWBSSxF9F0ZBu2d7fk6/WbOoWlaXj2O7uDAKqJUWayGkME9CBroahqZ25pCHVyjIKsCjULTWitKbrdYJQFgrxpcMqlXZ1XXQuXk8682Gcb2hriqu3nENU9exujoWa0MCyFoQJq1XyCFuqpxYGyMnRuEc0XBBzNk0BsXGwcBIwBpH1Vps3RCGnm7f0XcDXdczNjV101I1Lc5YbNrJcoHymQvex/7K5oA003g1Ly09JGQvL8XTUosfpSGl48KjmyS9yQA5KbjytKwTxfuiwWaKIeVGvUI2hcx7D8FZzKyibRvavmO339HfugVNTT1bYtt57hSgFg6lc3+4PsovQh5muiLY8+kPibZRpUzoUfmdfJ5Rq/KgnNKQzr4oacmYIqMKpgizNNFTGIJnChbXzJi7OOeh3zPcusnU1DBfYatGKh7Lq33ew2BUHpqDcNU4xAzmc49rU9BPngsXKtBHEJwjIJx4BtHvBg2hznzWqJDApNDuyRi8ddjlktW8ZdhtGXc7pqHDtC3ULc7VSWaU/FG9komH6yaGOFJfGAXKiuOpCnUhtNL5FQ6TKrDr98k8Pva9l/xboleU4JlC5DPM5yzbltBt6dc7xn3HNFtAuxBFrTAIhBLc67rJi+WHQDREZP96YeiA/N3yczl+Qd6RlW6jRzvup7UYH5hsIARLtVxyPIv70J+tmZoOM5vj6gaMjXxq2DPuN5g+VvqeXbqEaVox6hZYICBGZTm/IYa2uxANBcGDqWpqUZamSZRnm3mwRkAo3wwhMEr9AKeh86L0BkShFnoWl+9hiH0IkjNvUsstXe54TzTEaNRHXL6oVBknhdFC3j+lay9FtKJnXtbbuDhmP6BRhGCS0UfzdSO9KiaCKUyMQ8d+s6bfbGDy1LWjXRzTNFGhjnVp0m7GCXjBSgXeMYa4ztJ5REPio3zLx1XlK2QDrGKSaEjL7CBXo9fIpFJZV6LL9KuKt35e5sgnqJSKpQWmyUt0QgBrqOomOiAU44XDCt36jBQdo4pz4gkh0YmelfJzvT/l5ivtyd4alV/jwNjt2W/XdLstjNEI286W1LMWU9UYqTtkjInOoLJ2w2O8HrNKflGoX7wO9gXgrufykj96FXg6L7n36Tz8wVfy9gdiWPXz/9hdwHUMa64XIc9/+Nkv4st5nyjij35+CTsM8Gfufjqf+7Ecnv3zb3olPw88+dlfDKfvBCRcuhjXo+bxwBt5vfz4k++MSnC+VnzBPY9n/e77Y9uqN72Hv3jPc/nSB94IJ2v+1w/CM07g5970i1y55+k89d6/k0PB782h4DqG8vq5B+ATFnN78J2HIeeSt/39b/7fSKflqV/Ikx98QELG7+Lr730SV59q+NLPWfHRX/4l4PNkvia3GHvTL/HkZ98Nv/5Gvv+dsh53PZcX/EH46HvfyI8/CB/52HX22z3VO36OL3jh3+UJHzDwJ2JY1pe8+H/iK07+Hf+n+Wpe962GH02g1/D+++/l/eKt6p7+zbzhrzyJh971l/ief3QF09SFkHsF3/BWj3nGPbzuL38Rb/6RssS4XA/9IgehoTzEv/zGv88/Ngae8x2xeNlr3g32a3j5q6+yPz9nt95ytFjRzp7Ly974xfy+7a/yhhf8a+563TX+2f/1+bzjbW9i+6Gf5Jte9TPp2e975JTnbT/CG17wWt7L1/KK112Llb0JhL/5Mn74mklFDt7xHc8jvOINfOXJNb7Iwnu2W3bbLa012PoohkL6UCTKFII4/obhbXznt0D4im/lb6q6YXKYU6JuZdpyRUBhCTyBS3yEn/ypDetv8GArLl+5Cs4wkuW6sTYVF4NPcHYThjbFPdmbbKLri8knzTvfaw37/Z7zmzexwJUrV6jqmlFhhMk5MMH73EMwqKeUBNYUvEdervPX4WX1UYFHCvkLJCYeGfPIbrtj2vesFgvGQAz5Ra3UqlggQICDOR0uVOnRJylxSclOwNxI2DJJeU2CTZQXG2K16b7b0Z/H4jCXTi5TNS3BGJom5qr1w0A/jfjRSzXnkMdg1DRR0EShnCrAz0KxWL+CBOMTcs6SEEsW2GIMGfqO7uycME4cLY+YLxZgrFiAI31NUk09BVppCLVsYDJ7qFFAleJCOVEFKuZoqQdO6EYnIWugv6vXQGkjt/KK9NqPA9ubZ4zjwNFiyWy1SBWUney7toUz5Kr3xaJhjaVKgly2wCgdxF8yKCm8fGkviIO0BtO0LKqG+TTSdX3MY+/OsfWOZjajqaS6LxaTSsVndUhD4SMxlfSH/GyB6OExXhR1o2MrvGQXjVJGzqIAvVQkUOaYVDaZVwLeshYKqOJyWNlz0IJ5CRwbywiM0a1PNZszq+tY5KzvGE9P6asN42JJ1c6wtornGVJxvoC+MEh3YOk7q3+3sZp1TA+y8ezLHpXhj4/ihjKR8jwEkGiMvMjKm+Mz5V/9Uoh9j1TBdpVh8hZjRgw2VlxuZ1R1QzN09ENHf3oTqppqsYwh4kZbCsVaD/m9ZZXnvA8Q01d8iDnyyieyIa/ka3m+ybAge6YFovT+kseoPAgXlkuLkCmFBFfjFke4ZmDsO6bdnmG3x8/m2KaNoazpCSnANL0hIAXZgvLyuMM+SGul4qzrmhwaMrOyxMF5lZovIcTToedX2j36MKScXYT+JyxusWRRt/T9nv12x27f0SxixeZYcTrvffRWG1QzNcLPCAFcRc77DJl/FDIljftwKkmOlAq3JtnozL0xKaIMDwap0N93jF1Hf37O2Dpm8znTdgtDR21htoi1H4KVMSR+G5+nhhelMWws8okxseOBc3hMDvtWfuEnNMpCQ7WD90z6mRY8LKImNBUo7klAFXQCOQzcuhR6n7pOaCstucdpJwbUGCPP0XMjM9SwfO1rrTVdorczASKcczD2xNaUihmE/iBFn8Xz4Bm6ju32nG6zgXGirRrmRytcW2NdHbmWsam3s5GogyCpEwkEBZLCa5xNqRHqSU6RJhT8WNY/5x8nKBJPe+KDmV9aJ+bcAqsqTWqRupLW4ic5hDvJD/FQT+OQxlLVdaz/YQ4V5YvRWJhs9NfvKnxJOLGQs3qyk7w1JhWjUz6vGMAT8MNAt9vR79aM3Q7GAWcdtVRfN3Udz6fiSmLEoWtq8I+umfOpXp9xjvXFy1z84IE38urbddESpdFwF8sWrpP1pzuX8Nu//Gil+tFX9Hz/5+sP8OoLYeXxOS2cHn726V1rfknCrOMV87sBeOc74a7n8oyLn5d9ug+uu6Tq+J7fePdrf9eCbbGa+ZoH7yt6Uf9XfyVVCn/dO3+Jfws8/e6X8tSr13nwvtfysWffwzP5VV71IFDkYj9uCetfh/DUv8ozHrfmZ96Z3/FVj3uIf/7a3+AP3/NS7vn89/CS+/8FAOHLvoWv+c9Oecdr4E8+E570917LM8yDvPS7f4oQAl/5ku/iLgLhpsOEib/88tfz5N/8Z9z6Y3+K3/z6b+XrNn+Xf/RXv4envfMWf+7+q9w6eyLmf7+X+98FaUce+kXufvk7UGs1QPjyF/AD/7V6EA9UicQ0AP7qy1/Hn3s8sPkVhvWW46O/xL0/9Fd4yuIhHnjuN/NdPhD469xFgB/5Dr72zTVf8ndfy9ve9BfZfugned597yK8+Xv4ut+6hx9+0w/yPODDv/DNvFcZy1u+m28kH/6vecUb+NLTn+Dr/t3TePvLn82/fN7rOF6taB2ALcLTAJ7AV/7DH0mh4L8siChZ6v6zExZczz1IQ8FgBDmXzAikGvLdn8cd//5n+en1mku1ZflffC1ve9vXHhLO9lfF8va1fM8bn8bvY8u/+bEXcd9Pk56p6xlMOGCeCuQVlGguMvL5SFSk+vNzNrdOWc7mLI+WIP1/kzKVqv2WikH2kiWQmwwIF8BcMZ3MiBXRmUQJ3orgmWIOsAmBS6sVrqm4td/FtmKFMgAGh+bTitdLBHkIIbeQMPEtF/tClleam45c3CkpJMpGQYqB3XpNv1mznC+ZLRbRimsNs9kMT2DXdYxjmU+mSo1JFl1K0CzzT/mIOg5VQHUfg+6xeDZF8UgaUlChAt5Eb+t+vWZ/esqinbO8cglX1wn4WCleNUxTKsSV898O90sFrwIHfV1ArdAxrDGYkMC+hnWRzpICv7IysAj4AMYZQjBMEZ+xOz9nsz5nWTVcvnwF28S2Y5OcYaWBVClXwHjeRhXuNikrB9qMKjc6Z194NNK+kGgc8ZpgAs42zFxF5VvGoWPY7+nPzhkqRzubxfY5dY1D+gOrYcoUqogiJlsWioz/Xyp7Ggli9H8HAjD/kjwIZE+IzjH39CX9oeQf5TP1XKePItLBMzGZCNOCNRBEmbOOupnT1C1hGhm7PcOtW2wrS7Vc4eYLxAxCZQI+9eKNg8uNYi5AP+WfoVybbMy7+A0O9lH3LOQcWjLPTkYVpOq2Kfm1fF14nLEGZyqMD9iqivmGxuJcxaxuYRrou6hgT01DszjCNQ2xbU6sdE8I6bxgIgY2xEgYm/ZLPcp5L0rFqFTQcq/yQ6+WTkTPlvd5rSjuS2fc5LVN3mdroW5ioacxVsnvt2vGbkuzWGGqNu6byRE22UuXw1QDooCFLOtNzDiR6Wj47gXArnNOtGkz30vj16ro+izPME5Y6d0cc1wlLLiucc4xawamfs9wds7gtrSrI2zTxnUJWowSeUM0ICo/Tnim2AtkDEkhlnmXdTguerQPzpusiy/U7JjaFcDC6A2mjRW96/2Gzfkt+u2ato7tAOumwdoqtbcSgZHCsjWMtpLOA+MYPZtRBsTii9p32JYGCe8xeGnjGZW2aZxEz4lSNeZMq9Jr07yDn9JeRpnrhcXlzgOTFEhVhdpLrncy2EOqD2GSQl1iCmFJ0l5UsZpGapVMwYgBwQ+acnCIS3L49sQ4jmzW5/TrNWEaaOuG2fGKqmqwVYVJHmorzg4nBgUDI0yj8s441hQmbTImSSH6kDypMbpFeXc+O1o7Qb8Sgp5R0HZ/mSZNlncyhqTAJ0dIEijFFZ8/TVPELEGqfLtoELUmF5sssZ+Stcqm7EgyObTf5LOtvFl5sI5PQ74V6wQ5V14i7qZpoN+uGfY7ut2Gaeipq5p2EVMkcE3hkRZDu1Qpd0K7ZU2hx3r9B1esH3Ulj3W8uo+8h9e/k6gQt/mzn0f37Qu5ujr0YH+CB/Oce58CH3xlUtwNMQw8VRzvPsy/eIytsS9eBqD9fTzz3pcWhcDkuv4BXv0Yem9nJfmVvI27eM69L+Xbviz/Pb/jOg/e91GeeO9TOPnIe/je+67Ge4lrhXion373S/m2e5/Cb3xkxeq37+N73xTbcD1T2nAZIDx4yumXPUU859d58MEv4Fn3PJ6Pvvd+zLNfxLc/saX7yHv43vujQeBDr30/f/DZL+IHvu/pbH/tp3jvyR/gkX/zAv4VX86fBH7t77+Y183nGPslfMN338UfmgHs+dD7VxzffQ9/7uTX+cF/+DM84bv+O776f/5R/luZ299+Y6wc/rLv+xW+9TX38SKich0AHv9FvOmHbu+xTgLLvJvXfOu7E2NUJvfOl7+QH3j4YZgm7rh6B437eV59z8/FA6d5JXKvAsT3fe9LeF98LH/tFT/IXZKi/OFf+Ga+482Br3nFG/hHb74wlt95Lz94+l/ypac/wd2v/ml2N36CP7/r+KpXv51vfPIC2PHLP3bIyI2GggNf8z/ez+cS4CtezD/4a38oVUP/zV/4Lnjmd/Kmr/8jt6mQ/izedlAcDX7zvc/jX//+J/DQr/w4V48vUznD9t/+OH/rVT+DZDBh3dfz3a+9BgSmv/F53PGhf8LXPfKn+eE//mfhp38mhXyWYDC1IyACSmypVKhwjz6xyXjOHrnBcLbhcXc8jmY+l3DvOPNSabe36V164HUOBeMtGKg5APUZPJWW/YQ9bMydO791ysLVHB8dYZwYAARExSImNhkI9PtJaQgXmDshCenUF7KIDCpEUbyKdYKUOomzUdjfvHED0/VcPrlCNZsxEaicYz5f0PUd/TDE+RFwKugFEibRUwpAk/SWAg+UHpFwMC792Uven2rERs+Js/gqMPQ7rj/8O4xna64cn7A4OmbyWiQsAtrRTxIia9LeRYAUR6r9R9UrYFPhlXJMCiAVjuaB5j2Q2wMJoFr0fTZ2xTbSKsrFnLyzGzdg13Pt8gnz2TKGYdqiyiyi4En4tirZggAOlC5jcjEtSsVW90cNE7LuVnvPlgqd98kb5gU0UDlssMwqR9u0jMNAt9uzP1tjnMUsl7Rty8zVCYzYYNAwR4KEohskhJsUtqvA9OAchcO1Lfcp7sthy6UEbo3BGF8oz3HdFNgcRuKIClSgueTxio3i03OtraiqChNgmkYmD9bVNHVNOw70uz27W7cY1muq1RF2uYqho5PHmVjK0Iect2qk36yC4Rx9I/xQAJov286VxEUONdTJ2qKwnJ69NNNoLUpGFJOmngGrQn2PSfklrqrifKeJ4CpcFRXsZuzoths21z9GvVhQr6R9ljc4a8SrJcDcRCXTEwsspvOg5Giy4U293IkujMk8VUYfCNHwJvddTLcpdhZVwIxGZZkcTeG9jx6qEBhNwNQNVd1Qt20Et2fn2GqHWywxdSO5pDFSxAZyUTJZcxMC6j+kANulAUzpScfu01mTxxAO9ttgJELlkPdov3mvipsx2KoSo0bAmpraVcxmPhocrz+CXcypVkuquonKZgg45XORoMRYG9dXe81r+H1a2aRv55Dvkn+nLhTFfug+a8qNii9vxDNpKxyeYbMhbM85qmvaxYKqbXGVGIukqFiQoo1Ofp9kH6u6ZhxGRu9xdYW1MTJi9BNayNTauO/TNEW5ZR3GxOrOsfJ6LHgWjTyecZSQb4kQ8N4zjSMYQ6V51dOUvKrW5bzYADLGqFBP3sfvCB9KhdFc7l99EHUheGKappy7C6R+1yFIioOR58SiYiEY/BgwjYmpMM4mOvHjwG675vzWTZgmmqpmvjqmbltc1YhBXcLope2bqyqmon1hVcdq+tM0ZcOGGLCiYqpKdjwTWJvGn/BSQTMlH1djgK55wsIhG7EO5YAo1DKOkt+pXFReF3ykhaHvqaqKdjZXDpGuVJRMYslLBTk5oKSmgnMW7Vpj0jvz2YyfK751kgefoUSMjqgYh30Mw99uGPcb/DDgKsNyeUTdzGJqitBfkC8753B1Lald0iIUPqNQ8E+73db/1y4ljAz5H9t3y+/c7hmfaBEvvueTLjYU1qFPNMIiHBUgB2FeeMvtfv9UZh/oQ+CjDz1C3w0C3HxqedJWjuViFhmGcHQXbPR0OcPZbs9H//2HuTJfcXy0Yrvfx9ZMszYWNfIxtCuHtxStDrwKyVAA9eJgC7jVfshh8tx65DrOGK5eu8oUclEMtdLpYfEEun3HrGlxlZNnq/W8ENy6QgLEdJ29cCnvR85u3cJO8PhrdzISpDhJSIy8XP00BhGOaQdkDp7AZr3h6OgIh1rsKDiYjM0YhmnixiOPUPnAHVevYiuXcluVGVkXwUpkaJ7Ac3jFW74keaxfJdXID0JshHkpU9Y8KUtUSEY8t27e4ni1YsJz8/p1QjfwuU94AsE56VWMKMskcBErVmeaTXl9+s5PRIHyPO81X0qeGfK6JaYXAv1ux9n6jNVyxXy5TGvsveeRR66zXJ7E8fiJadIwMvWu5ucmAVOMNQHVAviVdOKMpa4a+nGQ/CKprA4xXHroOL1+HWMdd1y5g1BF8FU3Na6u2O52hEnykGXvczhbfIirHGe3rlO5itWla4x+ytVTC6XIWsdstoxW49usackCTNoVCNYSjOd8fZMbv/NbNGPg8pVrVLMZwUehbyTUfvQR1MTQ8UMAjgDZFJol88gFfQ73vVCdMT7QbTfceeedzBZzUvi6KEMp9dRmpUBQApMJTH3P6Y2bOCzXLl+hamo8MJn8jiBg3RsNmTtQGaIRJMTcaICz6zf4rd/6MPNL17DtPIVI9lP0wsSWV2RDlUYBZEIVRcAkI42MBFVCY/GagJ08U9+x3WzYjh1UlnaxoG1aalen3uDazrCqKmzlknJx48ZNdl1Hs1hirS165hbVl8VglAlBvJha4b9QqoIPeEMKMT6QOcU5KBWAZDdJ89fvCZ1orq8oIdY5vEFyNids8FTGYiePH3q6bkfXdVA72uNj2mZBkN64BqR1kFR0F6/Q+uwmAKuTy7Flnay4F57hvU9tyHQuCsrTfhWrdABUS7oNsX+8/l0rRevyCK6VYlcmh9KLzAxTkMI+Ic1lGvZsN2uG4KmXK5r5UVTwZI/NpMpfXNUaGNa3YgGr1TExjzZk44DJ8iRVRE8h5SGdHzUOlJFRoXhO5nue5Iks2t8kIBxCwgQqq63spxn7mN84DjSzGWY2w7gaKy2tUucIGYHznm67xbYVppqJQq/n/tHGDh2LVikuNiqvBTAJXkph5+YQT2nNjUrCilUORaXS0xpL2O/Z7dZ0YaJeLWnnS8l3trgQ02hSpIMP7LbnVE1L07aoEHj4EwAAIABJREFUgdpepMFwaAR4lJJE/k55TjV6Q6MaKgdm2NGf3cL0HUftnHYxxzY13mcFS7GNtVrtORaUclXFFDz9OOGso6rqhKsCUdlw0hoptc8SxTgEDQWPZ60SZTwWJptSqLYxsYp3CLkauN5jjY3Vx0NgmMZULM3anLKgxRFL413yxAafHCpqwCcERlGoNeXFpL0V/GzyPz4ErA906w3n61Oa1Yp2eUTjKnyYmIaesevYnJ8ydHsq51jOVjTLBThHQj1GzldVxQgBmXv8VMYnCr22uFIjgnU28+4UnVHSbJxHSUM6dijSKsSwF+/1j1bCIRtu9LzLqcnxo1HuTbK2fppSi7m6aWJrrrKlnuKqC3pIfFfGdmk9Er4LiT6UJnQwGuWSzgYSwa45+NMg+dNrBsFUzlhm8yVV2xKctNxLioTFWJfaxQXtcCEOJRMCoe/54L96F5/O9dn3WP+/5HosivR/yGc9ZkX+kygct3/6J79f+Ao5Gex3eX2hGKn1rgTJSYNSniVMfTSe62drPv7Ida6tjlktFwQLrqmYhuEgnM1aK5WTp/j9kF+uhWucVc+DYRyn1MNQw5+6vmN7ekZd1xwfH9OHgLaLIgkeUdwF5BW849BrZw7L/yPCLzGuyJuYhoHt+Tkz6zi5fJmenBOUIJxWdC2UVg05TeDFmHRfAp2iyep7fWlwwLPveja3zpgbx+U7LhOcjdVMTVQ0HCZqBpSh2wZ4O991dywMN/msSKRQQZOZdl7zwuBhIoucwsiw37E9XzNzFSdPuIZ37jA0t6hyEflXtr6aUHiF0g2k6tr6WQ43LEN+C9JDvUmecZroNlvGXceV40s0s5mEqUs15zAVdBdpKW5vVvCTx9rkvZZON2LV1KrcWZErx6d9wEPgoM2ICRO79YZhu2E5X3J8fClWIw/QtC2TgfPNJlZvhqhYFGFvEBVll3KVsoVV84Fiwai8j2maxWIpDScQmpEzAYO30I97zm48wvr6x1m2cy5duwR1LW2lJqhMtvbHhQGslB2Q/VYwXSpy6Dm0yWuROJaet1Q8pahmGvGRrDVpnxIhCD/zBoz3rM/WdJs1x7Mlq6PjaHDSdShpTk1fysPI65KWjfK/Q1CQhH4i4PxPoucSEKelzl58XXuUzxox3llD3bZcahoWQ89ut6Xf7NjtOsa2oW5iIajJEvM5CyUkrl3814uymYAbIdHEobc284JsCzDpd4wqW/6QdhTIP0qp9mjl3nSrnG/1ZBrZuwisx+hpNtqyymGCYwoTkzW4pmFWN9RtrKjd37zJWG+x8wWujZ4HJ957XWMVSj6E1O5GFcdkKEv3ks+IyTuavKIF1dyuf7bKppJn6SPT4+OKJDJUpQocpoLKWfwUqxB7LKZZsKpaxr6LPW+7DjtrYwGqqqax0VySrUzZaOOM8oXsrUqRICXbDTk6JEUmBK2qnudfhpInhftAthqdlCjSEgBtcoSYntdgDTQtbVVTd3uGbs94vsY0NdVsXigjQUJI467l6A/htWQYU3qhyyrqZYm3ODRRoIoaDAplrNQE8OnEI7nksSezMTFNJRYAhRrDGAJ2NmPe1jT7Pbv1lv2uo17MsXULtk4KQgixroiGJSclvsgJVZor+cZFD3WSVwfnNxfrMsbG6IWhZ1qvGfdr5nXN/NKlWJytcni0NVL8jlPlFIkqqqL3t58mMJamjcYM7S+fQpOBcYqFK621UVE36pmM4eGVGLnGaUq00dRxXbRVlylobJpiW0wnoefTlFtg2SrS96TttKTAlOZoH8jMRCuJ2vFTLKyW2vHJGVR+kYreJdacz5a1FheiM8WHkXHwdPsN3XbN0O1xxnB0fEQ7W2BsHeWXEY4j368qi0/FX4uooPiyTKgufjedMaGVYDTKRM675KwLMjqQ++mYq4gUeRqEF+h9JUMolclEUyWWkFeM04SfpqQQN20bDSxI1W0jWIOCHxZ8MOGtWEEwFRtTfGcMmQfJOGxaisIhk05qfNswdHQS7j12W8I0UltHM481BEge6mhU0Yr21tUSop8rzdsiNSMJ9E/z+v+NYq3Xp79U+Trc4Ef/XEK5TzaOT+W+330Un9qVyfhTeXIuVU+QUCZrogdO/m6ClSqb0OG5cXrK+ekZV9oFy3aGc5Z63uK3O4ZhPAA03k+iYMcctACpKqMS9KRtFZyLniJVEKxlu9tydnbGqm45Wh0zEQWnLXB3QnaUe3PoeTi0sKm1m8SE4z1x7v1uR7/esKhr5kdLgghAKCoW6v0c0sgBwNY11b8EAWppHFnhUFay3+7Ybjas2hmro6Pksdcrtp5Qi6KG3oB6Dy9oK1ykgsizpdCIvj+IFdxEWuj2W8Jux3K2ZHl8THCSQ2ON9JTNgPyQmDTaIDLa7B0TxcXwqPWK/+a/CfxIfw3B0w89u82GyjiuXLsWe5MK+FAlLyQAnNc7WUh9OBhq2cM1gxe9Xz0QCqbDwb0q3I2L6zdOA935OQwDx6sTmvmcMcScHVs7ujDRdX3al2CQ7xoRZE7C82KlylSYTVChKYRNknyyTGldkUqqVodcAuLoifTBs1ufcXb9YXy3547jK7TLZaqca0Xx9l5BHMlCbLDCIxSgJJh4MB6Vr1q8R7+NkaGZmEusuVEJFKQiv0a8cDm01ZhYiGjb7ehO1xDg8qUrLGZzJgupI6YaSgr84n30WlsDPnk0SYBGz2ICuSECT5cAibmgXGWrflI+CvrNQC1RWtqHNDQDHmGuBCo3Y1U3TENP13V0u1iIyNYzTFvH3EnqBMBUccxjyaclKZwCOPVslNPO0w/FCDNATMOX852jR/Q8yjsuKKR6NkhKROEZNHElQwhMoyeY6OFyrmIienG8D/imoa0kRHy/Z1ifM+52VPMFVdNgrSPpLUQamfwoQMyn81KuewKvBQ8NMigtPKXe7aSoFnNSfqZrEgIJBF68UjV3eb6ucPLmuEpCg6IyETBUs4pl3TANe4aup+86pmaGnS1SDuOhbSBko6Dsiw9FJJsqvsIPorEtz7ts+aYGgzIcVV/0KDBPsfCC4PP+x/ti1FFU+r2NLbqWTcu439GPPf35GaZpcM2Mum7y860YCgikyJokZ/NbfDKcFxEVqpiEC2M1svJZj+ICBRQl4yTP18Q+1kY8XEaM6TZYqtmC43rG0G3pN1tG12FnM1zTEnDCcLSwmS+UaTXO5nUqvdMHnviLRFUo5NGgNRHGDt9vodtTG8NqdUzdNDHnHaX3zNdUlgSQivCxBWXwAVfFYmuT5DirMhuED0ZjQfSmoor6pKHbMWc7GvZ9KjiGKM+JZ8j81BDtxDurLbeMMakHsRcl0j0qNcPiXJHeIXtoTDxz+izlfskQRjT+6NlJcl0MTgf8S+QE00C/WbPbd/T9jspYVosVddti60bCt7XQVnQaxZQUmyId9cz5tPKgVKjj8AGJ4pR5FhgjydGiO0Dy4gay4qoPPDgvyrqzgUaV2IywwuH+qHHOh8RPjTHUdUxhiePVdYyh6hreLYNIOCutp9K1DQX/ynJQDQBGpyDnX+VNOt7ANPZ0uw373Yax7yTqCGazFU0TQ/GNKCwaf2mrCuuqXCGeQHTm5VpCGcWElMLz6Vy/5xXrki19ust08Xu3e06x77dVFC6O5XbPuY1cvu2bPrV5ZBCo1q/f7TIYgvF4j+SBKNMnHd58RTA0GcPHH7nBbr3hZLZg1tRUzjJbzDCVYyCAEUYsDHDW1Fhj6MaRQQ6ss1Zac3ipIhmZ6qgAIcoGzs/O2G22HC+XLOZzMd6HsqaVHNpyF8iMoASKEXkezN8QxHKoTwhsNptYGG25ol3MYvHnVBY1ezDzc5MKdiDEc3VQQ8yZAT3goWC4hpjL7A3sT9dMXc/J4pjZfJYK+Ih+mEKgPIFJe1zJpYApjU8Z7sHSZIgxBe0bGo0oAZiCZ3P9Bmz2HF27k9nqKHogyBUoffkYfZe+zpR/O/RaK7PXzYsh7dELVaxgepAn9oftNzv6zZ5Z27JarcDZGE6qwkVBBFFpM8T18aoMlVU4FZQlZTB70BWgWiWGklKS0Cjqa1vDdnPGuN4ydw3L48uYusYHaNsaMOyHXoq8IApy9uhH4WFjRU1TJUBablVuiUSKLrHGFIqe3Fcuch61xOdbBt9xeuPj7G/eYl7VHF25Q8bqU/jqJHwgbqeuaHyHN14wtYQ3i0dI0wiyPpc9pqTcMgW6NlZcTV4qXVsJnZaz4xNQmEThCazPz1lvtxy1c45WK0xdxfx/Qir6lNBIIZCtrJviTd1nId1Ml0rLKoCDfluFf1G1+eKao0Dn4BPUop/BjPwkgMInEAw4h7EzZk1DNcwY+o6h7+m7HWNdw2pkNp9T2UrCaYPkpcbLU5xBXVsJoy/5lY5NeeajznORf2ukFHsEQ6qgZL6S6PqCkqBRKcmfkfizntMYCjn4GL6n3jNjIEzgrcdWDe2yop5G+qFj3Jwz7MDULfP5kspVkqcbIHg0OEcLiVlMqmxtIIHWYsOS0qzgXZlg8moVAiZwQFopP/NQ4eWQBk3kTRTGP6UD62I5RS/5qVBR2SV1PacZ9uz7aGSpmhbXzjFVLWMQgyoegktg+6LHM07nUHFLioTRfM4sC5QWDjykKngugJ0EiIszYHRNpa6FkTPkjWG0DjNf0IQWOwxMXcfQn0E7o57NpYKynp+80gbFIlkJSHtmiggOw6P3RzCCTTwpgZqDMNNMDtkLp/UlQKLtNPqMAMZRuyVumtH1e/rtlmG/w87muNmM2lpskFB3dG8yDwqY3EngdpaZgm8kjmKE+ww9frfG9B21g/kiFj+MXTCyUmICKW1Bd9dVMd1lFHmgOG+SMwMmRaL4cYzjthZrqiQXvbSDdE6UbGmzZIy2zlLFN6YQ6PPUu3wxDNyQw90nUZSsRAtoCLEqYiatjfxrDEEMwJOk6hQkekDvyptSBeni0HqRUxGPBKYwMZxvAENV1Szm89gfvGokD1vpLqSWTamYmoLMQhZEZb2o8J/oLUYi+RBxDkZ6lcv30rky2YAbFc7UhbqIMsle4NIIlSLGijZ6eYxZ5hkiTpvGEZBq6xoZcMBfQqIFAgf0lYz+ugEik1N3Bn2GDNSk8WR5k0L/sRLNGRj6gW6/pd+eM3Udxse0KDdfUNV1dEZgo2FO5hrrAdQJK+taWqGZtDMXDHKfgV79e1+x/gzWBjhkzp/ss/8QY1H6+8yux/aEw3cKQYeoLDj56AA4qpJjDCOGh37nYwzbHZeOVriqom5qFrMZ2Bg25UOpqMbwKOcc87ZlhmcYRrphZOgHYfgVro6VVIMw3CkEJmO4df0m067n2qXLVHWdWgLoREI4BKwqjh895zLkI/+u1kXNTZuY2JyeMfYDVy5fwdWx6nXW9QWQhOLJRkF1+VnB8CCBjKjnBBH0Yl0LEGxkrmc3TnGT5+TkBFvXjEGD1sTiKMxDQ670vS4BwpynrlEIUYkT0KTMP+EXteIZcIbt0HH6sYdpxoGT4xNmi1XKoRMEKlM0hQFBQdwBSV0A8grwiscUQEe9Rab4vnqETs/PsN3IyWpFM5uD1Xy/Ys3VKyNFfuK+asiYTw80UOTHZkZ8IJFDwfAVEBFScTIF7B7P5uZ1uu2ay6tLea1crPo9jEOk8VBYZK3Jih6xNZpztQAOHW8UMD4EKhcHoAq1AosQPLFvCvmcFoKOEAtrRStsoBs2PPI7H2Xc7TheHbNcHhEMDFMflTTr5J2ekNpfaZiWCEIFhj69DG1jIhuehKXVdS2qWGtkiA9xTAVlyHlUOFmAZWvp9x1np2dYH7h6conZbBbpJYTk2Y7ra2NRMxleroquYWXJjJZASGqXQ+Ybt+OmthD+5ZW9IroG+pcDbiCfaO2FXEwJWa8IbMQzhKMysR/orB0Z+5h7fH7jJuv6jPlqxfHqONdZQJUHifLxGr0ReY1Djq/OmaxAld71IHg7CL9TWlRFWdvYxPDvONayu0EpI01BFyU3LiN9lFa0RYoxscdwzN8zBOsJ3oBz1FVF7WO/2N1uw2a/p53PqOfL1G4r0nwc0xQ8Ix4bipBwowagTK8leFWvjrbiyVpwEa1yuPnpH+8PQXMigYJnphzb4nneAEZ6/popVf1tZgtc0zKNPX0X+6GbtqVaLuVM6SJnL2N+bZY9pqBbI/IytfEpT1tpICjp+WAfswyNckTmHwqpm2ShPFnWfFKBaaP3qK0bqqGn3+/p9h31fI6btfEZPkjvapP2KIdaa8ipjN/ojPM+qUcyhwsfrg/yvIvG51QUKwswMEZyYDWSTgoBiqLUzOfUTcPU79mvzxn6PWaxkCJfEqauhh7DYdVzYTx5LKQ9s1hJgYvpLzZMjJs1frdlVhlm8zZ6T0VRTXQsdFZGKzjrYu2JSQpzihIesVZQbQxnYyvCGJIrId9IsTLxKldVbDsWvdFZeVZleQpTrKfjKlGWReE1RtYutqgz1lJJfvE0jWjqkMrrgEH7aet+BYIuKADTOEZlXKeg8lx5UamQ+swA1dgRTEje5HEa6XY7uvMzuu0aYw2r1RHtbImpazBOIszyXJymMxRh1crPQAqSyp5oNMlBxE+5aXKlwpkcOk8DxDAySDjB+/IscjCGzNdSv5MUGZDmT+bBgxRSraoq9m4vjDLpyQXfTEbLQDbQJXl7iP2ctWnt9SyY4m+6Nl6NsVI3ouv27HY79pstXb/B+IlZPWMxn2GbBqqYJqOFQoGIpWoxBFGsta6CYOYspzIfOxzZY79+zyvWn43r01/uz86VPSEHiKm4biflP9E9IgR8SFWmU2EROYHBGroAH/3I/00YJu68chljoGpqZos5hJBa+paFRNTTo6EtJgRmTUXTNEyzQN/37LuO/dDjrKOpY7uCqe+59fB1GEYef8edeGsYUUmVdEJIIDmHvGQmoxbvQqlWxUlbLgUBu0TP1+nNW9hp4vF33Mlk4mdA6leb+WG2nOrbbMHEsvUuWzcz5g6xai4yHWsYpoEbDz/CvGm5dPly9MhK+HwgFrawB4VByrkWQAorThd/qDAUWAkysAVtXRHDbD/28Y9xUrVcuXyZG7sdo0WKKPlC8NtUuCKUimtQoXO78Lacl6kKRsngoAA/Mjg/Tpxdv07l4OTSZaq6kTzqWDwu3ir7WFhkFfjE3zV030tv3MKDJ4NOufEy0HLcWf+zqbq2sY6h33Pj4w9RDfC4y0/AtFUsKFRV1LMmttTpe4xx4jE2EUAbk8PopFCMkeqhWCOVt1XxF9BlwY+Zrmy5Trq/KM6OvMDYGAExWji/dYOzj36Yma258+qdmLph9AE/jjR1E4tJTT56qosH2+JMJeVQxqPW/1ShmGhJN5KDp8A95r7nQm3GgLFOehHLqRAFWXRDyorV5+fnnF2/wWK54vjyca7cm85XJu1oAJAdNnnMXnJ+Y3/VwriUpqpAWb0lNoWzmRKw+EBwFMA+K8UHapfJhVpKBcMKGDJqgQoatRLPVzIW6Po7SzANbdPQzGYM3Z5+t2X78HV2Z7eom4YU4uhjDQKfnepZCdL9MJl3Jd5hS0BPOte5TmAoeCvFZRIvPAg/LEFL2pd8rvQeTdko19KHQDf0CZjjKoKmC1mHNVE+1O2ccb+n224Ydjts5QgmygdrHJWeEVE6p/R7GmQCVLleBJRh0GXbLVUaBL1nUavnRXme7HkqZhg8UWXOlZ4TUaU9kgUyRkIWDWGaYhV+a/CNo65b7BDDINe7DU1To54k4xyogoRJhe6i4iCAO2SDUgScIlN0Xw+Ub92jLDvUsKbjt9ahnsASoCtwRmRqKhBXyMQgaztVcY+PmpbQdZxtN7DbUTmwjcNIOpKzWpxNQzzjeKx49tJWeF9U2FY61BZAPs0tJDo0yeh8SOMXPPaaGoDmYEcsY11M15mmCZylmjuOmxm77Ybd9RtUtaVq52LkhQrdA9lwY1KESTpRIUgLQpv4ozMB323oNmuaaeLSYkEzn6eQ71QLwMfCY3Fdoge3kZDlcRyZMCJrLOM04oPkE7s479hCSXLMncPJWdC880rSEWKFbS04VmPIubjWxIJmEJVeD1QuRmGNUhlfC6cB9MMAQFXFcUdngU+FblHDR94MNHxcC3kaKwo4WW4kRak0tIhw0XxrEAzhJ7rdhu36jH67ozGWWdNiqopqvsLWs0izLldW1yJjRuSJ4m+lFcWceuW+31y4QsZMMi6rVeUlFz4p4CYqyUrXwWvkSX6Uzhm0YB2pThGIol7KBdm7aRqpqoq6bg6eoY8v8Z2OI94XjSQu4d7DukWaYgUR53qf5XoaevSEECxCFz7mUG827Lcbus0WHzxNW7M4OqGuJAzfqiE+nqmqqlNKQ8SHSOrXo6O1rFSa18/UkBqcBftZbLcVCgL4FOtf/Z66PpkSXaqn5sLnt7vnM31f+exP9D5UGN7+r8V348gO/hoAS85bEcFsTVYJvTVsx4GHH3oYN8G1K1cI1tM0DbPZLApyAag+qB6hIXYorhQgFkNfIOAcLOYt81lD34/s9x27vmNgZH3zjMoHLl+9xmhhClOiRQ2ViVgpH14jQDFNMIjnQRidLxhckDFCLMI2TZ7zG7eoreXKtat4bRsQFBAEYfQ5DEeZqCqbF9ddvVnGqFIamVo2Ekd40ncd5zdvcTJfcnR8zGS1rUwcqFqlYyGpwCThyAo0ohWSg7211kpolcm/T5HJJiBsrUS6BnabLec3r3NtuWK1OqafRgFf0QgR56F7GNISqAJVPld/LiuaxrXIoXYXIFm6L4ZCB/bdjs3NM1azRVwTF3sSx/UrQiqDSXUAcnE6Db3y6V3OSuKwAUwGeMkoURCRFgrRXDFVEDXveb855/zWTdqm4dIdV/FUeDPFcG5r2W63EpomtOGy6uVFsXNVTeXqBNSm+Me0fk6qWTpjJGfPiicHNHdPFbMsfE0C65MJDMOGG9c/zvr6Da7Njzi+dJlRcunAU9Wx0usw5dypUICClD8lB/mgyr0sWfDqZY25ewQFEqBhaKpU22I9jXEEP5EUOgrFxgTGfuDs1i36/Z6rl6/QrpYpB9NO6THk8DQODHuCo5KnNa0T+fjqebSqgCDePOUjBR2n792GWSt4N4bcfsdk0BREU9FweyAr+DLv4EtFEwLaB1WouK5o3JJ2NmfZ92w2Z2xv3YodAaqGsXWSHqC0LIoFuqZZ2VA6jySXeYQqQRmrqaIYEi9THqdjja8K6axouHVWYOTRCej5xHcTX8iHGa3w7KcBG1xSjoLJyrexNc28omnnTPs9++0ZwY9MbQvzFZNxQmNVXA+5tBpw2VYr9VfWsVwwmCi4N8aqipnZlswvKaKmkK3GJO9kfveFK7440X70NBN7qzoj7Yui7HDtjJO6JvQ9u/Up/dCDddTLFc7V2NoxjhqhFEQS2AOFM407yaLCCBoPQDF3RQx573MrmqxMHBgiQzY0lH8PRs9ZHocPMd0jYKlmc1ZtS7/d0p3fgg4a47DtQoacDVTGkFuFqXFI9lTQSppqOf7D6CndokIJknUpo1IuGn5BcZJJBnkjiuQwRW/u8rhl1nfs1zfZnd1k9BNuvsQ2c5hEniobDPksBVknRJY7A2HY0+9OMWPPSTtjOT8hGHlnCEkOhACuyl7jWLm5xftAP4zR2OsqvA8MY4wMsZXIPgmjxpDaX3nvkUBwqeptJUx4wBCVbOtcVJ5F6arEezgV1cBrqRw9Cu6oqqh6eMExlRg7J/F0WxOVHiNCLK9/SIZcPw1isJIImgvaauI7sqYHhjNrpJtJ7Gm93+/p1+f0uzXW2thhpJnR9T3dMDABleBFD5Kv6/ABKjXiiGFS5YTKMEMRTaiFHM3hvXo2IGNtpQcvfDJHhhS0IljUFHNOkRfyeanglrxY7528ZxrjPrVSH8l7jawo8ZzgRzkjXowwJn4oyx8OlPWS32j0UzA5YkdD/BF+6S0EphiZtd2w35wz9QNh8jR1zXy+xLVNjAwwLvINNaoYR900iU8rrrMh0wIouxZer9XAlX8bI/vqD87/Y73+k8f6s3CVx/uzYYt4NJ673Vs+2WfmE/wun4aopCSAieRRGEvf7dncXFMHw/HlYzAwa1vatonWbkMKBwMOiFbfmL2mNr06pFwcQ9PW1PMZ0/qMjz/0cWosx5dPmAQUZw9vYV2mFLp5VmVencpMBbnKoowwtckGdt2e3fmaRd1yfHQUrWuTBpXGb+iBzN4Nq7Gt6f0KHtRCGnNLMkOMjMcwhYGJKEy67Z5us+PS8TGz+TxFOmlOVwzHzWFbWvlWi1mp0LmYP3gQ/kJuf6SAOxAIEpO8vnVKt95y6fiE2XweK5+LUp+AiX803WT8dOihvujlOgzDK4VEwpZRMTPRy7Hbbuj3e06OT2gWM0YhUGWIFCAw6wTZH5DWOhGgSXRmCJKXGalJw8XRd1wQzKDA0OCnkd36nGmz42R+RLM6YrTgGaldzH/c9V22UCcQL7bVEJl+VKqrtJax52WktWRFDTnUPQKNbKH2yQNuDoSDgtoJz2ZzyvrjD0Hf8/jLV2kWq1j7QIS+dWqokcq7Joe5+ckni3lJT1pcRtddSxnqu1MhOUTJDSqkQ1K+MRHcJOo02VCmz9hvN+zOzqldxeMe9zhcVeO1IJbQpC/GlSjKZkWHC7RwyKAjcajxJaogAiBknIe3q0KeBbq+VD2TaqCJANFeAE7CVwulLeIlk5ZYParh4OUmsssQlQlro0XdVRWrpsLVju36nGG9xvcDrqlo6hZXFbSFerRC4Z2Oa5XapegYdWOLOQf0nIfivOd18eGwv7Wem4u9eJPhLBlXVCE9DJHMI4mKJUH2REFc0IgJA6aiWiyZO8P21nWmszPGzS7muc6X2KpO0SgKUGOoJsX7MyANOlndd8itrJRmhdcGHwoAmtej9Mjkz6JSXoJ8vWxxbks69RjqqsKFqATgPd5UVLOKlTH4WzcImzVDv2eaL6gkYuqGAAAgAElEQVTaeeyDLVpAzO8NiS5z9IaXvEPZh1DkaV5QlEMIsbZGCOnexGsKvpu+K5JF1zkZRARHJL2+4CGT1fk7qtUSYwLd9px+s8F1PWY2w9UtxlZEWZfX9XCNQ6KbtI2BZDg4uEJM47m4T2nMhEQvmRJ0viSlKbZbi/LDibwfApi6Yb46YTy/xbTf4cce3+xp5kucqbAhV6VO+5N4uccOHX6/wQ8d88bSro5xVU2QmgIhSL9mUVbUUBQwkeYxdMMUe1O3MyYfpOVkDJXFRNkyTCOW3E86UBqAcgtOVYydqxKtDMMgSpR8V2rkQIgF6URhDyHgjEPD/dSQlzzbWvnbRQ+8MUgkSF5zP3lR2KPB2+r9QlCTlw4JSrfFWSQfKSYCwzQwdnv67Zpxt4cQWMyWzOZLrBS/MhMwihPCeIxxqVhZIEYSJfdKEg1qoMsGtPIckRTu7LHXr6eSwIUyqPhBz5LuiexyxAaBtE6lcUgN4oo9dM802jG2gXS0s1mR3w7aIjCQyBPFi1CmMJJrwchngayQ6zMSfnFZqVdcpmsz4RmHgf32nP12jd93WKCuKlrpQ61FXq1GdBkT00er2GsdSCk0BnGgoW4rk9anTEPSiIikE0yTGAoO+fNjuf6TYv1Zvj79rfnsPy9c/F2AVZnbATF8zjjHvtuz3W6Y1w1HiznOGNpZQ9PWKYcvPdeIRzdkdTQyn1LxDVJ9Wk9YBBHeGM5Oz/j4ww8zrxqWyxVBc1SKPpF66JN3vRSwxQ9leF+hH6d7go2HerffsV9vOWoXLFbLlBNlggL+7BXUsNcUrqPMPOT3RkWU/O7yjwKwY4/IkfXZKWH0rI6OaGazFHZOwQxU2cpFNzK4yXPl4B3p7yGHMiq4ShjaGIah5/z0DOMDJycn1G0TC0EhIfDqBQj6jMP5prUvGBaJDlRAFLSmm3dhnjqJaRjYrdeE0XPp6Jh6NmMM0To6ZhGS11feFWnkMJwvo1SDEY+7NVIkJA3zgkGAYr9UiIiXtN/v2Z6eUYXAyckl3GwRxyS3+2mKfTqNVqBO2kcUpsZIj9Aq5Uiq2M+Ki1FtlLK6vc67FHgHMzRSyM7G9nDrW9fZ3rpBaxyry3dAU0tImFYGtRL6nfeqqKyTx61Y36hAv7D2xRom5fiQJFB6TGfPGEzwiQYDcs6MYb/fszk/xw89R/Mli9WKIHltvqAbU7w/nqlAPh4hfZyNESa9rxy3rmAGZSbReSrahDlQ4stLQXFu66QAxKf1Kz3EeS3j2HTMpXKS+WYh9GX+zjnpezriXEs1znHjxLxeMAXPft8x9AO+qrF1jW0aArGYX1YcZXF8Xk/VluM/eVxZg87AEcPBWE0C+kqfIYMoAS8HBis4UDBVkSkNR0H4r+a1x+KWaQtRPpoMLK6CdsZssYRhYtzH9k62baO3UGoYoGHFIkc0siERp653YT0IkPL4DwRMMY9ESQquH0UlHOz9Ic8p9j9z6Eh3k4+uS0kBAhgBVzVUTUvbtkze0+229Ls9djanms2xrkI7Q3gB7HEQJofEH5wnIwaIRJDFHofE90scEmlfFUtdwpD2+8BTFJA0B1VmM68I6fmAsYSqxs7mcW7dQL/dM1Q9ro3tx3BVNirnIyy0e2hkLwdc9vIuK6LHlZB1KL5fgvKD/Qx5zSAqlEHkXDJYG4u3FjubM2tbQj+w2+7Z9R1uNqNq51SugWCkwFgM+Z6GjrHbYcc9C+eoV9E4hKyxGpWzp115qhYJkwK01uDqWDhznOIZcVb3KaS8ZGedGLND6shSGpXjffF3jfoZp1zVOwgOU6Ob9rCeJHxclUhV5rIRICQnhVYHh4zvEirwkp6kKQimUHwC+cwIT9CdU0meU25iccB9t2e33TDstlTB0DQtzWyOq5sUFajrYlAnjk15MZqzniM88h74gn+V3uGCRAulLYiYlzSFQqhGhc9GGUnpddbQ5jT5fL4w6Zxbk3Oo9Zq8l+iXKEOquk4hz5kXZSVZxxrPeHxfSm1KPIxkRCh5YOYDys00uoSDgrDee4Yh9rnfbzeM/R4LNHVD286omgbj6thyVBY29km3ca+k7VfSCcjPtUYRgvIZWUerfc8LSpGfrbWxlSef/vWYFOvwmbzpP9L1icLXP9Fc9P5PKQS+wJ7/McLky1denI658Em47V3lXxUwF3nRBqI3wLLf7em2W45mM2ZtG61Is5ZKi18oMwmBolcO2Xas4ClkYFa83pgguXGGR27e4uzh6xzNl7SLWQrjJIRcPKucTXmYP+EMo3cuiXhV5okHan12jh9GLq9OaNs2Ca4IrBXJEb1FhgJAFyA4gbNidPKP1aURxhhMDHsZp4H96SmL2YKjk8vYpkmeeAW02YI8pbxZfSbCJA4uZT7CgHT+kdNlYal5d91+z/bsnLmrWR0fYSpXKPaAj5WWk9W0eI0CKO0XqmxMAasqk6rgZpB1IbZAOLGxsN/t2K/XzJuGxeUTTFUxiZEmVzuOe5i9/wVdmDw69V4oVNUbEiTS/TFqxRQYJeAzAWsbvZGb9ZpuvWbVzFksV1A5pqSAZAuyPViTDCwxBueil1pblmQFWodXgFnFtwRI4UkZ0Bms5I3K2QWChc3unLOHH8Lu9hytVszmS7yx+Cnm3yHhxTnyIQqtnHemwjIkgXMIXEKhi4UU4gwmtwyRMVoroBOK9myBMOU4kFzkcOLs1k025+e0dc3x0SWaWRO9ZcZIz0yjpIw34IKCWNllGwX3WACVfC4zJWTFTGgluYhFWdJwd6Hl1L5N9yUY6b6rkToF0EKjQeLaGpTvmUNlQxVOSABTdJe0y2LOy/su9BhrLTRAoHMuFjZqGpx11E3LNPSMQ0/fd5ihiX12myadF41+iB/IghaK3UH7gAKAlMqIei50b+PPGRInIEnmjwce6QJgJvBWGBz0OVnxhYL0IK2LkcAN8c1WFVUzp/EjY9/R7/fs93ts01AtlrG6tnUYL4BYcut8iGfIybnNkjEPi5J2ZIcm5dmKKNP8S/U4X7fzaOvaJxmRZhn5YvI+lfU7jI0dJJzDtXMWfkHoe7rdnv1+i2lb2tkCV7XEFnnyvCSeCtBJfKeFcoHlXGhXBbLSGfI3k+FUDOXJuFLsU5A5RtGrnlqNPtGzUBRqMlbCblvqekk9drFexeac0TrcYkFVNVTG/j/svXvMb9l51/dZa+3L7/Jez2VmbAPBxjZubDOkOGHsQoiaKC24IXGJpZi4mEYpSv4hatVCUSWqtqjQUopKmzhVXVeBtImaiERJDMLFJUpIcBqDnJAQl3Fs7GY84zlnzjnv5Xfde6/VP57nWWv93hlje2JKab1Hc857fu/+7b0uz3qe73PPnjGReaGqu3G45hYhkud+Azhk8E+hzZQs2kPmZIkAJb9UVs6MP8YVIgmf8RDgPe3iGN/NmXYbhtWG7XZLM1vQ93NcaGAaGLdrGPd0wTOfz6XWjC8VomWcGv3gi6ywllTjJF5IC023Wh0+BAJoATKNAAlSxdrCem3euYBrzqUXI2zUgmbG14J32ppL6/DU+bwpSQ4yPt/jnKYJ5e+gudFBZVyFC3S/ci43Ytx3mXlbDRWXI8+88RA9gnUk0DROTLstu/UV280aSMy7GX03J/QzMXLbs1ADePBEJ/jHzrKNwSktHHijsQCyYtjPPFBT0EzeGR4w7OFSEmU9P8tlGeyq9zg0f7mi06JUFrqvo0FSFGN/TBJt1jRN9pbbfG3ZkhbJzdgkj9dV71OklOVV4fdZHtR4IZmMqc9VZNzt2G7WbNbXTNstOOjbjq6f0fad1NcwXuJkDZumzUaOLE8Uf+UoRuNJdj7yeMEKsdZyxOabMS1Fd3k515c91v8CX1/Mtn+uew/FqjKAGEuoonOsr9cM6y3nZ8e0rYQfLhbzYnGsQEb9ZAfZewjloNeKcKzCtvYu8dn791k9uOL89JSuaXKhAxtcUTrIhyX/DuMDKQOAw/eiDNllZhxj5PrRBW5K3Do9l8rfFZMyppGLoxgTShyEMuq01HpXAcZk4YqUVZaFYb/bcvH8PY7bjlvntxib5gCMZKsa4gUVa6Qw4JzHSAGs+VKGIYU8DPqXSkbGRJKXVmLbqxVnyyPm80WOPHCuMrCk/C159oFiULUeMUZqyqiNzZU1sdxG0Q2MQZMZ4Obqms3VipPTU+bLudCIqRYVss5ePFdvvCkDOk/nCngylpkk1NrCzvKKqIDwOSzSBubESh1Hrh49ZNoO3Do6o5/PmRzgHbOuY7ffKzDRYjrKueu+3T6IQGu8CAaJ4pb43hxua8A5k0/N+mvFR4R6pFKGAwxMXD28z+Vzz3EUWk5v3ZFWVDFBmmibhjglLU5WVLZSxj3mfaqBZbb4Y2NVD20usqVr5Vwp9mVnIldeJxd5MgMVSTxp3jtcilzcv08zeU7PzpkvF1K4z4vlnaonZgZNtrMGoPK6HSrVFv71ovAuV86D0E/Kz67brslztLWZUqCFipuXlYp+siGRYqnPXi/jf3pO7DzlfN+CBfP40T0qsNPpnLSok45/UprzoaVpG9o0o9nt2G23DJsd+y7QzRdSnEYVEnuOHdQDdl4Z8ooi6NRzVCmGhT1k4GWXnKuiYNbefvNaFmPOoWenPKSslQFCoXtrEWjg35Fr8QYPrqGZB5p+IQr2bsN+c584mxGWR2KIIOg6CLj32vIxVjzG9iuDyVRkgxlVzGBkKQ/iXVRQV8+vOsPZiIGBzvqein/aQupS1DzWeScFfHwAnwjNgqN+zjBsWW9XrNcruqMT+tmRKFw4nEtadkTox8JZc/a41xoQ6XA/c/E7pftS2M2AeRVtQ8mlNK+2kJR4tw+jPmQdQh2u7YucnpyDtmfWtvRDz363ZXPxiKlpSMsjmrbHvLkpSgX4XLTScq0P3ldkzk0nRO1ZK2NThcOMCtV+1Pt6GD0m6+CdtuhCFbcQaOdLuq5nt1uzu7pg2l4T+pZpP9D7wHw+J7QNjQ/F66h/eFVEzdDSakvHcRzxmh6SUklLCT5kuV5CuUOe9TiNpETOc849oFUJQ3lntK4kWrAuxsg4qYc6iNcwqrfbeKPUgZFxmSy04mZBv+NVVtYFrSQfe4TqzEHFE1IV+ZLPn9WJ8Kr4+jzO3PN4vcLFSN/3zBYLXNNJSLzKMTFANFI0LcEUSvX+TPOVYdF4W8FEFX/InxVcVOO1uiibsQwwvAmOKFXc43SApxKHNQoOPLXGZyv+Mo4jKUZC09KqscWYvI0vd4yhjOGQJxf3gEWMmRfaGa9wh2PwzinuSPmZ3sMYJ/Yagr9frxm3OxyOfqbt9loJ6w62Pgj+kLo1Ict6U6gt7czeUU2w4JgKL9h3SC/Ozc9r6ciFfF/O9WXF+stXvpxS1GTC3MPlxSXDdsvd81s0wRFaz3w+yyBQUvMyIlCQpp8lJe9aRikjTPpCE4B7n3j2+edYP7zisdM7uBCoM5ujgYnKOVuDHPs3FMyRbBzY+1X4p0h0wrivH17Qu4az8zOSWV/tuVU/QxuHCcsD4FchHxG+gWrGhUEZ9/ROKoZeXnI6X9LNZ0QVhihYydbEVKyeuUVCBezyC7Tyqgia0vYCVepkLbzoiEkE28WjS7abDXfOb9N10r4sUoCcQ70PprxWGNphyldRuor6UYBHrpwqIi4DqgwadZ4xRi4vHpL2I489dheahlGFkQHT2kKbh1PTnCtKESRR6BTYmJHAqpEb/eY1iknBSiyKmndSmXcYuPjsPRoCt2/dxbct22mkbVv6TipT7saRNE7KqNF9LNEB3kslVins4pUMbB9NQS35QKRC3yKbLAxZCVuJPDrx2gq9Rq4/8xtsLx9w9+Scxck5o5f8VLEPSNj3OOo5co5iiNAQL29KqbzKu9LOoygD6PNcbsvldYfNIJdzNQ1cJJfD+MzYkRKatwbjsGN7fcnxYsHjj78K37WkYHNO1KFmkA74TsozUKpNNreY6SsXVkual15FrJihRYCGz+FjQfPMspEld2rzJBd1nYIq4V7CHvMMU/4pZq9Dnn1WyDJYpQJYWVmtIiaq82/gzLwPspiehBh0ZKhCG8G3tLNA18/Fe72+ZvvwEWPf0i6P8E2PhAVb3jsYY7cWacaHDExFNUoV/kvmif6GsmLn66UqbhfY4qopH3px6+x+ywmuldOYIrmPuwJF78zj7HPuX/KOMAsc9z3jbsN6s2azucbPl8yPz2lDI22gkqNBFIcpJc1BLP1PS69YO4qFPxY5hMq+ElFj1eX9AZ+uI3lsf8t6l2ryehy9A8XYyuHUcONxPhC6DqZRPJZNwDdLTvq5VBC/eMj26pL50QntYsHopPiS1xxEV3oJHl6VIlmAtky+nDvdV+9hKgXDXKabmlZenHNv83UKxL3m/9uZmGJEayGCC9AFZv2M+bhke3XB5uEDpvmMsDzGBam5HRzUZqhMizq4mt/W+1gbPDKN5/mV39fGx4O9NBluK+AcaEu9XG/BiVe56XsWXUPvEsP6mj4lZsultBrTaCbnNEpH6a1trNL2RNuLcWwYR5LztP2clBKDVvR2Gt4dkxSnijFqCol6ladJ1tZ7bZ0F4zho0TNJVZpiZBxGcJILHZognt84ZSxixVBzEbIQiNPEMElBLFO6p3EEJ2HizgS4stakbb1SElwWzeOtPJtKoa17Wtt+Gq34INFtDlHyx/2O1fUFq8sLXIrMFwsWi1O6bqaG8SD/K92Fpi1nXAvS5U4xMdI2raZAFyOaFYkz2ojRcMiNyB7IPMopzVn3gLweRqepKM/WfjTPtVLca7ouPEMO6TRNTKMWrJvN9PtOC31puzM90DW+FfYfD5RpIK+rvNNC9ks9futRLWdHohSMT1mdls12y2Z9xe76inErId+L2YLFYknU+inZqKiG5KZtpbaKnaeUtPNCzPzEBEj2OWccomtY6cgmi0xxTroGxrNyH/LfxPXPTLGurYCH7O3L1z/vy3bjJukktRBJqNDAo8trxt3A7fNzOdwustBQw5SZHSIAEljzeHu2S+ZdLXhNQIExRA/esQeeeeYz7NcbHju7TfCiVOdKxPZMe76Ca5cPcQFzoqQUdTpp9WRhREVAjePA1eUjZk3L2fGpVBc0cKRKdUqFaeWDada7SsGulYdsOLDib6pAJg3xiVNkc71hWK84OztnHEYVw15DKWPOHzLr7sGa1mus+3VQudo59WCZMlkpupjFNPLwwSPSMPH4+W1C22QjRs6p1vtNYNVeaqOc7LE78G7GvNnFU2+g3ABN0rGIsh2HkauLS4JznN26LS3WTDnWqqupUtKt+Ilzaq2MReFy5v01IOyD5Jq5Q+UlCzQ7D660kAEnxdxSZHO14frhQ077BcvTc2lHRWI+m0nY+nZD189kbsFnRdWEoTHxGMsuGl3llhzOcnENLHsJCTMazCQv87JCW5EkVTRdJA4Dq4ePcPuRJ24/xnxxzBAjcRxwLmRBFxMSVm3boleu9pzKukApKIMCvVqpmPIaSlsXUyez4aOuym/0m4X0JMX8klSh36+2hOQ5O71F0BoDGqSeDX5WZKsIP32otRWr3+/UKGC0UJ9Xh1aBt/0wL2jtmSuDTlbB3qkVfkoHVnyzmJsRAtsqyOMx8AJo6L2MO7iqVVDFayw0MNNndf6KkqtXEqNQ0Yz1/gQER3RB0lf6wKLr6HfSrmn/6ILYtzSzOX3oshIt9Fa8fQfRKlSeOVsrBZFRgaIBFANBtUKMrkcu6JYqkHygmJafD/gdlM8PeBJlbzXlwTXqvcpG4Ilt9DTzJctuxmy3Y7fdsNs8x7SYkxYLXOjBN1gsgvfajsUqpisgi5N2d3A3x1bmEW2MJkeccuBqzAdGBM/BGoVgOedlrsUooVEcakyMUYxNPnQEL3myU0xM3uOPjjmbLZi2KzbXF+y216TlMc1sxsw1YI01LRXAqSFIBbfJMlMiXmovsgJYAWtAIyrM+16mnmWXgXpfeQZzLq9Xg09J0xl1zWOCJrT0p7fo9ju211fsdw9I8xlhsSS6QOt8thXUedU485qrQmDyq1JaDjzTVOM2eUh1Hq3wn92XVHKaHLRCnMNA8J7WB3oPDBvGzQqfIqenZ8xnczGQe5XbZpDyYrgzJdl7TzfrGGNknCYtJBaypzk0bZ7HGKWavHeetmsBmKYxF1ac9b0YL6YpG8qt1dI0WVXv0vJqP+wBtEK47MswjtkDDeRiZhZuPE3SDis0QaPoKjlCwVmTtuGClN9nfCSqMlvz/joCwepgxBSJcWTY79itr9mtpU7L0WxBP1/i+0bxhRkk5QiFpsm9qRNWfKtSgqdJeZbyGG6ML5V8XutbbjSTZUUh/ry3JjNu4jqLGLDOCc6Zd7jCKZkPpyyHnNN903Zws/kiyxMbm4yptL2kGtuBLNOxH56DKs1TjSK+Or8lUsyK/zkSI/vtiu3mmu1qxbjfQ0zMFgvmszlNOyPiSttFNM2pCTRtk8dZ846SWuYLb7IB4TKdGW/M+6D4GPJWZn7tjbebzLpRf+GLub7ssf7/yPW5lOXPdX2u+xKOcRxYXV7Tec/ZybGEhblIY4JEH2DCKIOB5Ep+cBKVLoNpU3yU2EEA/vV+4LnPPAvDxNmp9Gwea33amBXlYGRAlQy7mVcyHgg48wBbeGZKwjj2ux3r6yuWsznL5RJh5ZUF0Poym1Jon+dCUs6+oe+ydZGjmvvlyaJo7qr0kNxcrYjjyNnpLdysY7W/ZGYFSSgMwKxxOFeKcVWKYPZcxarnrav74yrIcUUxi0T22x2rq0tCaLh1927O3cozMKsjaB9NzZdyLgPJ2opfg0SD+zLGiJXOSFV4dq6Uqeu7Xq8YVmsW3Zzl8TF4yRlMOZe2rL1EVcacd3xgsXWuvMdllnkwxEo85D+TjStGnBk/SIzjwO7yinG74/z0nPl8yZgiPnj6tiXGxHazL0oGZUwen+fpTBijhog8llR5QEwprMLAi/6qtKkNHpXKjLZinNiurhkur1mGluXtu4SuZdDIi8YHIuIJkvzRfGiU1si75l1V1Rqy8SELYCP9PLJY9iCDEEOWKc/BxuqsAm6S3Lo47VlfrSDC8ekJ+/2W6C2M3kBuWVcJe1egmkpYXXBl/Wy9vFgmsjJIVgQLoMurm8FSoSWbbGYBlPNl/C1TjyntakAzoivAT/mkvVV5lo2peF6KMpmNPjd5Xn6incAEzpOC7HNKSXvN68LFKKG0+syI5OLOm5Zu2DPstwyX1+yahqbr8F2L901hGmYoqnl/BYZl7XQNK75s80mZ7uv1oFT1zakShV7K3hdIV3t6cyREpkP56pSi0If+Pk2TRkR4CEFzhK2nciDMFiy1d/Jmt2G/3+G7njhb0HYzjcIwkE3mt3ifDTPp4BwZrdsBLoe4ztE16rrptRWAW6IAbgLoTJ8VfUUHMRuSpaCZgMeg/FtAYvSBbnEi4cebNfura+J6w34+o50tCaEV+W10rOSZ5Q0mZw+VmlSNKSshRZqUkGV7Uq24VsYmu8zAJc8z7320WslqTpS1mnDgPL6fsWhauu2G7X7LsHtI6nvCbC75vJT+1fVlcrYYkQ5pUHdE+W81Rlc88FnRcodfrXmCU+A/MTHFAT9sccMWPw5yDrVqfXRBecOYV917Lz3sTYYESRfbDqPkTDedyCxVnkPT5qJhprgFLfI2TWMeX9uIkp17QDvtx41V/nZ6PoMqZhKhkxVjSivFpmkEr6iyY1W+zTHgnZdq0HouYopVcITS5xRLJAe1TC3tpuwr5pXN0Q8UWTDuNmzX1+w2a6ZxpGtbFqdL2tlCCuAW8pJzEgJNrrBedlBWX8Pu8blwmm+awsvNwII7rHtQ4b/SsSU/NCvauYp1xjE+e7vt86BRb5YnbzzRGR2m6oyrId87R9v1mnNv0UKCgUsnj4LJjHZvesBzLr195upoxEL/YiSYyvP072ESA8d+fc12fUUcpL1b1/f0/UJCu0MQfuEcPoF1unBBqq8Xo3OluCPnrTawZP6boq5ryrzMjJq5kFkqPA3I0YtiYIp6r39Rd50v5voiFesK8X2e6wvxUhdokL6gz1/O9cUWXHup+7+QZ3ypC7t9scXQvpjX37y37Kr8OQ0THZ6TxZFYUGtQnUNd0W9UyrP9nYwtKQuuhI4ImUDy8Ojqmufv3WdGw/HZifaotjAqZapYMZXqQOtQ6yWqww8BnCaNJdRajhz+9fU1w37g5OiEftblVkD23IQJWLU4Y39DKeZTGFC2slfCwABlSikrtrvtlvX1isYHTk9PJdQ9IVXRtYXAQQueislnLEWZsxVxOwQ1JpSsyJdY4EaESW6uV+x3WxazBcujJQmXvdNS+ZyCEJyBCttT8s81/Rye0aJWZwULq8tVhbU6qfq9urwijqPuxYwpey10rrkFUCrLb/O3d5nAzWsuNwbT4ajm4xDl26Wq/2fZu0mB6G6zYXt1zcw1nN66A13HGKFtW7x37IeBMRdfqayaToBxod5a0MpnhcrKvuU1NOGe0BjYQ9Whls/Jw7jfc3XxkDQMnCyWHC2PiSqAPBB9YLRCNVoI6KZ+XFp72Tjr3Mcb/D6VuZiAN8BTK4LZMKN/OjV6TIhCneLEfrVmu93Q9zMWJ0f4pmE77iVyxMveSkEzl+mqtGVWxcqAfw2IlMRqpSSP3YhIPeVUZ6fsB5ke8GXt7Q3W2zrqXh4Y1xI5/eCmIpQqJdROUSIdCO+bAKzQrSt8uL5Px5rngRnEyO+ww1TzqREgSIuS0PV048Buv2PcbHD7La7r8G0nLUzwRCvCp0smPK3UeKhRiinc+eOapx0oG0YvMtbsCaeq7VAee7Bf2Nra9Dl8Z8Lhio1VeqSnknuJcxBs/QN+sWTRzwjDlv1+x7h/SGx72vlCwqu9tBbyNtYkAC5CTjUwKq2Ha2O9GXmV1805yrKkPA/7nd1bTEZlTeyeqJxwSonWFQ4THRmMSoubiSGBb5NKxJoAACAASURBVHt63zDTPd9cr1mvN7TzJc1sTmg6XAoiQO2YVLSUJftNxbjoA3kfUSBcvGGU9jsH8rySYbahtsNVqorXe6wGylQVbJyCxy+PxAO23TDsdwzDnqntaGZzCFJk1bp5ZGWiMlrYWa7P2YsUieqSCDiLKijnUKVdlk2iAEI7bBl3VzgSs7ajXSxpu94IWEYgzLTIc5WXkmsb1WPv8G2LQ8NznRqMECN49sypV1baX2m9By1sEeOUz6p5mnOBMew8pdyuyFJkYorqRfWS72r3GJ/iMETePM/WZ9tggShjqlAjUR2W/pbPsimuVpxVcVx+pOKXKUaG/Zbd9RXDeg0x0rQdi+Njur7HhYZkqV/ePJM+r6sVKc08HrIBVXJ9A0OaJIoqFdznUsprU2iiOueVoC08r+BJwy2ZZjyZz9l6ZhxZkBjW9Q7EcJH33FsNF6uSjdJFLDwnP8XemnIIVRY5laKaO5oYHVc8OBm+snXRFpdxmthtt2w3a/ZbUag9jtl8QWi1yndN30j1dR8kagBvnm4ZrUVoCekbv025rRZ2fEC/W/BUdqrl58m9VrfAjLqF97iDmkgv9/oiFGv3+W/5F+j6Uirv/yJfFSbKQsp7z/FyiQsBo10DLFOM+KwoZHlw+CyVMxYGl4ETIsj2LvHo8pJH9x5w1M5YzOcMaGhMIp8SY7iptjLUjA2qE2Vg43Agzmn17Tiyvrpk3i84Oz0htN2LrNjmPcxoTT48UF6Fn5kl79Cymi3e9WO8Y71as1ldc7RY0s/mEtKaUmk5oEze1eM4EPYuryFZma9O5E2QY6jBy9z3w8D15SPcfuLs5ISu76XKdsX0jYkdMOAEtQelgHUFr4qM63V3uSKsgqqKupy26djttqwuruh9w/nZLXzbMKn302gmIeMvBpMC5sqcC/0VZloMIjUjTXl8JrTj4Xp76fl8/eghrHccL46YLRbEECDBrO9IKbHf7zVMCxW8NjsjQKMFKkWgvLe6W4Whgxxl6opHJtX36v6roSb6yPbqku3lFX0ILM9v07RdDgUTgxQM6rVItq+p6jN8oNik/PwaDeR1zMp0+QxStgDnM2/AFLPkiyCMMWavwm63Zbe6pkmOk6Mz2vmsKAiKmAQA6cFVBcZAdaZzqy6uGp8BwXw2XPHyVEcZ8wKUY+XK+dFogaxcG70rcLH+u+V/PWT2sFQAJfmdZjF3Fe3ZoG4YqYwe7AXlF7ofBfzYF81LKF6TzIXKnPWPorTq/JyCjeChmdHNepr9jrjfMWx37Ddbmr6nmc1IXuoCSN6q5nGnWKaeXE4Fsv2/eRlYzbymVp5dzVeqfc68tfDEciwM3LrKkGCeIp8VpsK3IMVJ6UXb+jgnBf/iRGoChAV9PyMNO9J+z/7RI4auoZkvaPs53jfo0klOvaZqHJJSvfcV0K7nkvdFwTSu6I/567Uil6qzWa4cOaEKoPFwa8eY5WNCK0SL1210Qc5P1zEbRuJ+x269Yrdb0c3mNPMlTdMhSaiQ0oR5bQ/6n1dEdlPpLEC47KUpQ4Vn6DgVL+R5VTynfq7pHaA9sSmKqAHnFAJ+ecSynzHtd8Jvdjua+Zww74k04DzhgF5sbbUsYTWWAyU71ffrApi8q+RU5qc4vEv4aSANW+lHPe2Z37ojheSqHsiie0ZCE8CFzKudevyHacJqp9g5y4prSjl0WOqzBGVHpbVVE0RbmDQ03Dmv/aLlvpJ3asXLpLVlUAN0XSDK2muJ8TLRhEY82jHKevgS2YPts5FLKh7qsq/uIH+dih4MY+S9cJBykbqJ/W7H5vqKzXqFixOztqdfzgldT2g6vd9kiic0ll5gdKPyKsu1zJpzoVXvAmkasgw7oH3gUD5a7jEZG5nhQ6f2It4nH1Xr4ZwW7Z3yHtVG15QkrSWOkRSlbZYPofAYw383iqLmdniU4l0m82xsNi2JJCoyNeUxGM7V1BNPxsXTIH3Bd5s12/U10zDShMBsLl0YXNOCk3QAO/uWy48PxXOcB1PWMdNTqvCqKefG83R0tQzOJFVhF5OfVmQ177sV19MB/GaU6990KPiLrB9fxPXPU6n9/7tC/aIrKyjqNW4aCF6q+CbxzE0xsdps8buBvm9pm1YLYVQH2B7lErUASklC1hzw2QcvcPnoEbfnx3Rdx6hWd2+iKRWPb10UwsZ5aFvMapcyt6KAJUX80ziyurykAY6PpcBJTObSNgFd2MoBRtDQp0nbPQAZYFSnNS+eU3A86vzXF9cM2x3nZ+e0XVuEAy6D/yKKC7C0gWRrfgXSDiCMqz1jTq2GAuSjl1zyF+7do3Oes/MzglZaz0aCl3iezMbAmVMGzAGzqs+Pyb7a4+QUhJedirjk2G5WrC6vWC6XLJZHRAPG0WkIJ1jLiXojauNGHrPRbLXneYBWURZK+6cKFBWBmsR7NQ1cPH8PN0Zund2m0ZZrjQu0s16qfo8jSY0qVqQsr5bSkbNcPnsJJcLCaCR757IA1PWsCEHmY5WaFXx5II5c3H+eeL3meHFMv1xoRdMCUKYYNfQ7ZWXNPNG1N6AOC3POaQGZYsmt1/TQi61LXIFsOXsmiGP2DMU4gRcDxPbqku1qzWK2YL44gqZTI1M8BG7eZ4EqCqP9TH1kKW39Ci2YRyuYxcXoLxXFR76qXuPqrGVB7TRHyxXvgilypdKwjMc7x6R76015uCFa6rV03lOH0xZvXtJ3kPPzTXFKTiB/3b/e/jePjoXFOfVSxThpGKcr7zaa1+WyavukRPIe2p6u6en7kWm3lcrLmzX0M8Ksp2ulZVM2gFFy26IcYuxQmGembtOSgabRU11h+gZvc7xoqhmYZx6g4eFW9MirhlLv20tJ+RhjLsrovITRJ6wKtsN3kvfXDgP7zZr9w0fs22vC8RGzfkHjm2ywsvNv+X2Wv2fzT46Se8zhmMwwEK2WgHM5/aLwX10Xb8YBe0YiRpTOXSm0WfHtXDBOBLLyQKkcbmkDruto245mnLPfrhiuLlmvVvRHJ8wWx6LEJJ/bXVpROwn8sPGWHapp2lseqyt8xlIA6px72/S8mqnCDk48qaHiRbY+YiQLGqasRjacpL6EhjAPzPsZ43bLdnXNbnVFc3SE6+ck1xCS07zlKbcaFB7i8zMzlkiHPDsbDo3HV+Gkcu4SPg2wXTOu18ybgFsueXQdwUsP7kLZMlEffD4vTZCQ7nEY8U0j3UqiUoryCLwjjqPugRYgc06rfMvaBDWoTNPENElxTQmPF8/iOE10TUPTNFrlW0J6GzX25wJRwfhKZJqsD7XIFfOY+poPUc618bEYI+Oo4eiuMrm/yChTeRRjld7nnUZdRYb9nvXlBZvVJYwjfT+nPzqWFA5tZekqfhCaRvHEoQy0qzbskYpn2jlHEzx+jBAnCicSGpQaAkH2zx/SSv2MZHTinMzOovAyZDH+jH0gc6DIY5PNwzAwTSNt29F2TQZDuYuFzQEVaxpNEVPK40CNKCmnPRYsG0LIrdeMLzld91KFhiwjp2liv11LnYP1ijgMNE1gvlgQ+gWuCRqGb1xd+G7btVIZPgn6z1deFHtPFRGAYdHDtLgDWjI+mKrPSAdrWfBA0V9SEi943Y3n5V6fV7E+tKlTTeFQZBV76YsHdAjC3Ut+/vneX4uxL+TZn+v6skJ9eBUgU7wdtUerOqoFBMbIar3BuS1d29L3veTVOEronwlaFVijk/C09YNHrDdr7ty6Rdd2DGnKLYOI9v4yprpcvo3BwpOMcdlhM0XBBHNyEr53df8BAcfx8Sk+NKWol3pta0tYOVBKd8p4fAYoFKVar+KVQtqH6TOuHl3AbuTurdvSNkj6K4FajM2D6zV/uOT/yQrWinvi0LqI3YIpYcogZZHwwbFeb7j/zGc4OTri/OwMEwspWUOaQ6GWz4Ype8Z8IBs9wKyzclP+2XGwdzhry+AgOFyMXF9csLm65vz8nNliwQil4J2NXS8Dy2A5MKUdxwH91gp1pUQkXT5MuOJwlQXXFEHnHZvtFat795k3M84efwWj8+yTFChrQ2C1Xklxtyrf1B+QSVHILGfPOwWfSq+konTU0qAoPeXZBhpFSRSvgE8RP05cPPNp4jBx++w2vp8xpEgLNB4mHMM0lVc5bWlSZEwuRmZeZTNcpZQ0QiWWdlnVWpf7RMAWpU0pJ4GVzfbJ57MgFWJHLl94CLsdt0/O6ZdL9k6U2hQVrFcKZkplTWuDg9GZeORTVtA8BvB1rNRr6PMYb1712XFOC6bo7/Z7qY5r9Q2c0bN630PwFS1JTn1SLfimASMr+1XuoSnYBqhq7469z+n5MCBkgTt2v6OiOcjeK+co4ZO4XHgre4GM1pSPxWnCxUnAjXc439K2Df1szmy342q7Yr/bEPue2WJJ2/RM5Sk5F85bhcaKjRxcGaClgxBqbOxOKo7bOZY5FyX+gOda/p8r58bShpyDGNHIqhKJcWgoMh6WsnEl+KD8Xopk+T4wazu6ccdmfc3+wX3Gfs78+ISmm+GCL3zRBam4r0qHAee8H2Ub8w4Ulao2CldYJ1W0ZTKrxju697LWWiE9tPKvWN5f/nL5/SEEfBKjc/Se1DhmR6fMpiXjZsX1g/sMq0v64xPamRijfZOIw1Sl6Pj8PNvxm62IrAODCavc7cK+lspZrTthOOOVtTKkgDnLQkrfWudMYMnToxOPcQzQHB1xPJ+zX1+xvrwiNiv641NoZkxKe8IzhPZK9w3tdFDxaHMyFIOzKqAkUpzwQGBi3K2ZthfMpsTx8oR+vmCz3+JW1+AiycXSc7lSvkLT4JxjP06ifPQzEoptrPVW1BZKyHqaQh3jxDSqh7oRaD9NY67y3bYtzlWfOS9dLZCK3ZPy9SYEVaAFMTShEcyQpANE0HZUkyrm3jupVq5rZ8Wsohb8sgrhouz73M3AvKZm5A3Z2JIYUyRYQnTGQNI9YrO64vriEdN+S992LM5v0c/mJNfKWmr9A+uuYgYLOzP1dWDczPte8WXv8I1j3Iy0RGJM6qUtp1cPrXj5jXdBpvvyjvJu6bKhHnEdZ0ol8oCK9uIkiUf7QYq7hRBYLJdFIXUmDzQ/3o6n8UbvtAK4MSAz0hm/UXmha1QbPwyHZuUeq8ItxVA362s211fs1lekYaTxnuXxCf18SdROC6Y2J9Cq9JLXjisYPu9HrNqxGuao9sYMiSiPN15Z0hIKDyi1PSwWpaYBdYLcNJr5qMbyghVfzvUyPdap0Ej17n+qYtt9Levf8VVcnD7OmkvOLn6d41//EN3+wct4+5eV4y/1ZZbulGDM1X6NAE25koMhxSfE0rTb79ntB0IIdF1L34QMunPfSidVgC8fXNDtI6+4fRe6IAWWUmmpkCADZqvO55KdfLJgq5UQrNhSZdEzb/V+t2P14IKToyNSozmmNXCRiedxihJSqiUKQD0U2FkZygtXGPMf/SrHt7/S89c+MPG9Dy4ICc5u3YYm5KJRBeyrYLb/tNLsTUCer+rnooSUudv8cY6BkdWjazYPLnn89Baz46V60FEmKcLLwIHOrFhaTZmhAhOeg/U9KGLjynrZOKecZwXjfsfVxRVxP/DY3cfxXcdkoDZqSCmoByvmPSl5MOYlrjx51frnddF/Z88hxYCQLZKVQhZTYvvoiv3VJbeWZyxPT9kmEay9eqwvN9fyTC2I4bRKsDFn6/0pCnTKgGxKUx6bq/fP9rxu3XJj7c2gERGJMO22xN01V+sNy+UZZ3du40LLmCKN1zVWoRKT0qzu21S1yaqFvlOFiFTyxF+q52PtsbFjUOfbZRpQcBtjFANOSiQmtqstm+trZqHj5O4TNE1XQonVQBb1HHsNKa5lS50Oneyzm7wg00MxmhALyLex26Vphrl7gBgFbQ3Ms6PVpAXVyrmJEa/9X+MUpWhPMqhPVqLqKJtaaagVSlvMDIAMvEBWlkyxzECprrxqE03ggzvwmNlpyPwj8w6Pd8U6b7qX0bIVK4wWSRMCfrHgZNYx7Lbstlt2jx4ydjNcP8e1Uo04ACEVr20xEsj/KZN+0vW/UeAxFU+2KdT5/grUWU/d2ruSX5NSZexyxDiCm+XxyNprOHSmVyAJ35UvF2Dsk+SvDt7RdDOOmo447Nlsrtm+cJ/QzwiLBa7rCb6lIeZCQwlp1eUVCFprsUgqxYxsXDpz27baSJu0ij9IyKTx3VgZCOR3PgNUW7Ni/JW/IwnnIWr/+BSl8JlvpRiWGCMiKTSEoxNOZj3D+or9wwcM/Rq3PKJre0LTCgeNtp+mMJviYDxMPXhaPd3OqzI7VUbRjiHSM/jAg2jg18Yfo+YM3+CXurbIVqrEMMOhPDumRAyB7viMdrZkt16xv7gitTv8fEZqWpLT/t7JlBQz2BdDmeHO8rfOhYQn0qQI40jarWninuPFgnm/kMJkOLyTlIo4lpxYvNf8DJEhBuibrsN5xSOZb6vigBrmTMFIovA5HG0rRclijFJbwCVt8Si8WVpgedpGoufGXIXbi5c8RmnXBVk5z2HmzhG8fDZqJfCuaXT+LhfOIkHSUO9hP2SsZJihlh2yvSkX2pJ1l5ztCWtPNzHu96w3V1Koc7elaztOzx+jVz6U9AxYD/nQNtTh18Xgc0ORgiyLczRRKi3hCmLQ1A+qmjH6X47CyAaSgjmUHel7M3nnMTnrdOEOFT/pMy+Gr4Qo1T5If3MriFrPQYz3BVvY+8QLqz36DBdYNxIjX1/4Rjl7hR/ZiC0aZ5omdrst6+tLdusVDDtCaJkdHdPPpZ7BqIXZGlX8g5fWZa4R736dAlFsgLFEXCJdBspauSJXVc6YTpBdgqmcepMt1k2goB6jubpdLHkNnZOIP3SfX+71JagKnqfyue941ffw6d/Wcufpn+KVv/Z/Aq8k3fkD3P893wOf/mHuPvOxl3jil6//p68E2ls1EQ4+Lx65xWxGIjFqL8NJw4emaWK9Gdl6JwUU2obdNDKkyDDu2VxeM5sc53duM3lyjs3Nfs2F8JXJVvnVWTBXwJt8ZOxPAZ6bzZphu+f22TntvONqt9GCZnYQy/0WhlIDNgHsChxukHYGFKacAG7p+NbXJH79QeLb33jB+3+uZXlyBM6r1U6NE1U12QSg4bfCzIt35UUv1euwwq4BUwVVzjEOe64uL5h2e+7cvkXb9aJUp8NT5bRydWGiZkzhRUq8jSZ7eCgeBMsHwqlHzJizF46524pi1YbA8d27uKYV8IDpFk4VEl8UJSrjxYE0qrx5xoypQpKr99tIgdIKKkXVnxLjsGd1dYkfJs7ObtPNZgwJmiDW/jGO7IdBes/auoTKS6f5bk0jXoAMiJNogwKkD0Eg1doW4VsARq0Y2vg3mxXXLzzPuF5xfHzG8vQuk84hILQwppTDTfPc0yEozPtZK3a2b+nFYMPWvgizovjY3jhc5TGq3kkijntprTEMHC1PmS+X4Jy20bN8enK1d/QUqs5bqF/XwrzQ5skzoYoq0TXN5nkmy4WvlMeapJzso3131FD/tmlp25bdblPRntJ0FuZlfNUhPNhb51zu723tWPLJdkURqoaDFSEq+V+VYpi/q3SmClSqFixphIN9Tz67wUucKTplHF7BTqKOEtLIgNAQ5kcs+gXTbsO03THsr0ltoOk7UCVAIm4KXQlP8cVjXivTB3vsqk3JXJwDo0lW1itFytYupfyI0oecAwUOqt7ZBv51/uYpSzGVrhbmRZomkvPi1W1nLNueNOzZbdfsLx4R24ZmvoRuJiG2FS+38FfbnqBrWuHCgx+ycbg6m8bzDvt+V/Tihf+N0WRS4c1lLVGgjipiB4SAS46653GKE7Q9/XFLPwxst2v2jx4ydB3TYglNR9f0eAOnOQ2hyG3L78w8JfP2VGih2kcA601re+1RuowpK0y2ZDWPyKyfEkJcqQaZlvYp0TQd85OWfr9jv94wXVyS+pZp1hPaGd6F/K2bl/C/UhzJDLguTqRxB/s9Pk7M25bZfCkKn9Pq5VK8BucDQ4KZl6rHLiUmV+XFOzHUTinhYpTIGD2PEsxWMEf2cGK4wBRq8UY7H3QfJDXI4WhVEZ5UEfN13q19pkp7VqipIkpicUJYHduE0ay8I1eojlpdvObVlHNbG08KHzyM9tkPG7arK3brNeOwow0Ni+NT+vkSFzpVTgW3Bue1j/ahkbHQiUU1FVlc5DnKE4rh3TlH8gEXWnxyEpFT0YK9Q/YoZb5ljomM51wxnN001NS4t/BjuXeKk7Y7C8xmMzXu6w16xM1AkXllKileNw3q5swoOM8WRt/vynNMSc2yPol83O827NbXbNcr4jjQNg2zozPa2QzXNNLK03l80nQs76V6fSgh67WzQ6KMDHe4jCnkrB2eN8MMdu5s7Oh6g/Jy3W373OabDeDWnjUL4iJvrbp+xnIv8/r8ivUXWJ76wAtIxZjO/wTPPv48v/UXfpgQ7fNncPd/iLsPfjerJ7+ZR+uPcfqwFqwOeB1f/+4nufjBH+UjB296G9/wjff40Aefhqf+EP/q/Q/woY+/9BgOxvLat/OuNz/kh37s5+Gpd/Kuk4/yQx98+gua2z+P60tdZby+PteWinwXL1ejByp91b/Fn/1X7vHnvvdviddS82okFLJlihPjODGMIzFOxJgYhoH9OLIdB9arFWmKLNoZJydLJp8O8jRILdNvfwXXT5yxPYf+3iNmH3uW/mrQe6qFyLGQrmqtVQEuB2mU6tcQOTs9oW86BgXYBriyjH4RirfLvAaHnoEyHlVqKyXkXU8m0j9e8e5fHPlb7z7hz/yjhr8SyYYBhxoREpmhmrLiv+bf4T/9o29gDvDMz/Dv/+UPmANN9AZleMGUatT66TLUJnoY9js2F5f4BKdn5/i2ZUildQaYN7QAtoOZZQBUzm+tpOnKZD2itBI2S7OO2CWmNLFZrZl2exaLJfP5Qqq3qvCmujcrP9S8rOy1PN/ON5lZmp2l/F3G7AGiMHfx8sCkazdu1mwvL+malqPzUwgNk3eETsLwdsMgIalJ+gyXNll5woSmoQlBw/nL+h2ADKWhepld9VMiaX9lqtWT7+wnqfi9v7ygD55ueUroFsSmkbYpCkSkqiqFHk1ZcwaoM7liK1mDWlniYmm/Se+lwJ/LXjDz0hr9WnSKRS3sNit26zV903BydovQSV9qn5IaVSpgVdOVKngSSl48lf5Az6iAwQFd2uqaMlV7mep7lLr03d55zTUcCT7Qdh0+BPbTwHp1TRx3TFtIszXNbC6ROqAGSDIvk/FVeWLlw3ymbMzkc2xgptxn4840Y8CGChjo56YQJ1z2Xtk+14poSWPRMDsqI5i2D8xgJ69jOVvRaCkE/HxB1y3ohj373ZZhvWbcbaFr8N2CxsCfKQr5HJDPBdzImzdCwsavQz+Q5+nwlxhtl7UyfTLZ8w/2gYy/KlNG5l35X0rfuTaAc+qiknsmwHc9i7aj3W8Zhh3j1RVbf01YLGlmC4JvitLhnURmOPHeOl9A/MG8jafZTqeyC6WAaL1HCjSdJzoPDHo2aorX79g6+cIz63VMGgUqBkvxok3TRPQe34Xcmm2/37B/dCGF3pZHtP1c6FOf71MtZ1QuWbpVtWnFgJ0XoszNWeSLRf840BBruz8D5doQkUr6UI2JM09WxSfa+vQzZk2L3w9styt21ytis8XNlqROiiyFZHUNRFGws5iA4MClCbffkfY73DQx6ztm/ZymbUuNj6T9A5x47LzT3tJ5PuqddKoch9rwKbnRYkDzHHZwkNu8FhdL6rUGxWi6PraOlsuaIBsqLCInRku/0KJgqRQzc055gxpGTBaqbVfW0mv/6JSImt9t9IzxqBuyJXeT0AIoVlTdDODDfqdy5Jpxv6dpGgmpny0kaigEklGF1zxoC9HPpFZ+rnlJXWDVikXKmqaD7wlrFKOTJ4B68m8iwqSYjqT+08x7lWKnqqm1/iLGG0/RQ5liYtjv8/q3bYcP0su5PriWMpUdH3nfYqb5+hyIzLc1MB5Tz7dwF1+tYQSmcWDYbtisrhk2a1IcaZqG7uiEtp8RQisRAyYnkPQE7z0peMxYbGti64aNp96nPKYyV0s9Ea+1K/NxHHzXQXba5HWpMIutn3n0c90JpWPh2RYVVSJUXs71m/dYO/eSipoR8dTe4+6v/TghAv5rufqdj3H8az8qN8WPsvz4V/Ebr/tWzh7+6Bf2vqdeyV3uAfCWVzyOu1+L3pdeCIeDOwuun/0AAK85gec/8fTh7z/PM36z102F//99XnllNZkBKvG94pgHn/zBAj0qkOScWECbpqGLrRTIGCb248joYLvaMK02nJ6eMVvMGStmkEjE3/kkz771CYare5x96prZPWB2m3vf/AZ2u8/yWz74y/SX6SYny+MFOVe/+z1/lm//yjkA6196P//Be/8By6Ov5Tv+k3fxhiXAZ/jbf/K/4CcO8r9K6HjW7Ay7uSrM9MYbc7gOjj/ypsQ7X+145QLSZsP7P7DhdHHMB36j5U+8E/4Iifv34Kc/4vjvrtUaR8yWYLG8fQ1/4pu/gn/yw3+G//EjiW/69/4C/+4f/pv85Z8snszGe5wL5f3OSVXIlJDWUZ71ZsXm4SXH3ZzZsbRJEybjcjitKamyboVB2b/lZ/OzynKUnFdbgBJyWXvOMyh1kKaJ60ePcA6OT45p2k4KPDmn4P7Ghvpa8BVFrqxRodAy5kNBdbBPynCzOqPjmhi5fvgIt95ycnxCO5+TnJPQuK5ljBP7YSg9djPYKPPz3kuumvcKdsEkSi3oalMD1XqZJhUzRHM4r0AkeVJwbLYrXvjsc7j9nrPlEfPlgourCyYXSN7hooBtg2cZFJggp5zRsob67s9hhc17mb+nQCcrZZViZAWWlB6sB3iMA7urK6bdwPHimNlygQtBz72AiVLB2TaK7PXmxvDMim17bsaU+pyaUMxrnO8Vj3X2lBidFwIhJSkOBIm2kfZS0SWumxyiswAAIABJREFUrq95eP8+++sLyV0fdoyXFwzbLdNiQeo6vFbJNu+1ZJ/Juc5W80QW6r7iL9lQVT7SH/RZlcfYNjhV65WVJQxEHOY2e1cgVDkiqaJHZ731ikEl33eDFlz1Cz1HY+txoafvWppxYNjtGNZb9psdaTbDz2Yk5wnOE6Kr9kufX/1bXlOP1Pi6owzXPD43aDez7XRAC3WahdkOKpWv0AQG5ItXGMid7uxMmRfDezH+xJiYkoO+p+07umlk3O7YXl0yrle08wXt/AjftMpH5E1J+V8OA765R87CQosCl9mmpf3YuChn3edWepqiZetRrWgxqFUe3UxeFopqy+qkeGlKEsrtwIU5Xd/RDQNxu2N7ccG+uaJZLgmzBfhAQ9DcdwW9uq4ecioU+Rzf8NLpuOR8lzQi5zV0OvMge0zZcwHDphYUPnw4/0rm6T3Re8K8p+kCzTAybLeMVxdMbQuLJV3bEpKGqWfJL+kUcdqTNmu6cWTed/TLOb7tVC6YnJOXheBFgYyOVunV2/nyRRmbYsJNoxrQxdqRC9CldGDEEwXDiqyV9UqgudGiOFtv6jhNeQ1CkH0y77NVEa+jK7y3Z+saapi0RaJVR1Dy9KP2p7Y1N+WesnYloks/00gjS11yRMZxz2Z1zfb6imm/owstJ8tj2tkC17Ra3d6UYp8LphXaTXk9DxV5f0Bz9e9fpFDr/8azQ5Dq7sSRGMdcKwOEV6dgctxwQKX0Otkne7GdNSlGWVYxJanrgUYptE3DFJMUYlNeYeM3PhW8GVmqftM1Y7XZGP/LwrOcH/MOZxTnTDwkhmFkt12zXV2JQj1OtF1Hvzih6Xqp5+DNWI8qvtJLHZu7MyN4RbxJMiBMeTU6MAxQ9kjHWdESN3QIo7csw5wWTbR/5zVXLqj7XlIKfX5nps1UrdnLvL4EoeD/tOuV+PU/gfC7GY/Acclseiuf/Je/lVf/gx+VYV99jKPma9gCs5d4whPv+C7+2G2A+/yj9z3DE2+6Q8fX82+840lu3e7h676Vt9yB174CuH2HDth/+kP88Aef5i3v+C6eePb7+akPw1teAc/9mANey6uXaz555528583P8AM/9vP8nnd8F2+8fZ9ffd+P8JGn3sl7Xn/O/rm/ww99EL7+3d/Ab+HT/OwPfgC+8Tt4691AvPfTL/m738vPqhf8dfI7ndD+03+bH/rg07zlHd/NG2/rxLbyvU889U7e86Y7wI4HLwDPvp+f/PDb+KbvfJJbyLx/9X0/wkd4G9/07jdwNOvpthvgnnz/tW/nXV+34On3/Ujl2f8c38+f7Xjmp9/Ph26/k297pa3bjmd++mP0X/ckd4Bnf/4/5vv+puMPvQY+8b1UQEiPoAEZYxReLIZN2xEcPH/vHqsHF5zPpbek5TeDfCd+1Vv59a/c8Vt+/H9j/mjG+g9+Dc88Dme/+H/wW//uLzO+4Xfxf/2bv5e7f/3DLC+VGcSSF1lO1Nv5uq/4NH/tT72P//3+N/Cfvf8b+bbTj/Mbf/wdfMWnfpg/9QMfZXr7n+Qv/elv4af+4k8Voe7qkJMCYgUcl3Fmq21dLMcBEd75pOPq5yae/MgFATg+PaNpAj/4Yfirfy/iQuIvf1Pgbb/d8b3/SLwAJezNikX8Vk74FD/zD+Tg/8THP8Ofu/O7cO6XEEbgcwhQJEl/VgOjLtF4x8Wjh1xePOLu2R3mi4XkuFo7HQNkijoPPHw3QQ4K0vV3Sd8vPMkYs4n30hpBliNJFfL9jst7D5j3M45PT7CehJGIFbm2JcxXyssv78N+dpm+sjKdLDzZ7jEGWPbP+u1GkvS5dLDfb7l6/nkaHLfvPIZrWyYiTWhomsBu2OVKmGYtLYJGfm6aBq851Ta+HHb1EpORERtTlxVOOjjLMjABm7wn+cjlowe88NnnWDQzzm/dpWkD0Tup2nyQWyVVgc3747xVZy6AE+cOCmbV3lBxJBWhY4LGPNQlZ7IGsbEgfeeksBSCEra7NVcPH7Doem7fvotvWiYnZBOneENJKiD74CxT9tvAUx57imhz3kILGTyXeRRKTi8WkFk667dixPuGppXzNbrIowcvcPH8PfrQcOf2XdarFSFBO18yjBObiwvGxtHOFvjZghDE+OKdw0fJrTdvhAENl5zQZcVLxhi1UNhhEa+UpOBbHRqJE0t9jGVOplrZebYz5evPU9TnKyXGSWlXeIdSpISexinzFFt/XMrtnA6AapL8XNRz1Lct/Thj2G3Yrtbs19eE+ZwwW5B8Cz7gkpx/r6iyBoj2XK888RCUFhkj0Lv6t6tooTp/dfumEokRJVIga5MVf9EFdFTnCZS+ZY2mNIm3OgQpcpaksvYUJ1zT45cdJ9OccbtlfXnJfnUllbWPTpm0gIgoLEGME+OEc4cFdpKudc2b9cc8x8wbK9gnY6UKqXwJxcHJYazxre2BhbLWvzGZnvP6pwkmR2oDoe1ZDDv2mzXDw4dM3Yr29JTULkVRTD4/u0RL6Fk0ZbgC/6YMOIq32SlYxztGlb11hJhVhM9GpczzyvrU/KO+SsROYsSJUaBv6LsZ/X7PZr1i8/AF0mJOvzhi0jZrjXMEIsP6irhbsew7js+OCU0rxfyqvQSNvmmkXaPzAdd4XNMSp6h1LewsCo3l1lYxkdKUi3BJHRKrfG+5pkWZ9o3S46Q9pr0VRkQ9yOCDJzjtGDGNoPIMtFhVKlW9Y4zSBcVLZGLGCVItKi/1qHnc0yjhypmT6T5H6zJh9Ke/T9LCQtdLDJJxv2fcb7h49AL73Zau6Tg9PadtOnzbqUdUMZCD0LS6hkWW1MaUupd2kSuFV5qcizFmeV7TikRK6Jl1jsY7hmmQPOOMC4X2rBtBbaC0itlmjE7xxcX5vI5jHAamaaLv+7xuUrxMUi2D92D403vFDFKNKBe7TWJoiG7KfahdRSuFv1SGPozXK3/SDh3DNLHdrCQEfyMh313bMz/Too0+KJ8y5VYcbKFpRNHW9ZAFJp9DK1DsvHVOMaNzqeBen9WUDIdwgNUzPkiptPXV9+X6HfYAx439PUxB9WqcwlF62qusSdPIy72+JDnWn1uxfwNXr/0qNvVHriWevIlHd3+R83ufIvEx2ultB9a4ct2BZ9/LX/1xx1u+5bt44qkf5ad+5VV828lH+ckPPs1b3vEdnP7DH+EX77yTr1yu+dn3vZdPqAL5Fp7mIz/2/fqct/IEz/CTJNxrX89i9TSf/PAd3vidr+KreT2nyx377TFnr3V89Svu8OD5T3P02Ot5DQ9ZsGM/W3Cb13P6GHz2k5/h7qtf+nfPf1i94K99PY+tfokf+MGfr+byNnj2vfzAjwG8jm949+/n1a99G298E/zq+97L3+f1fP27v5458JZ3PAm/8l5+4MNICPu7386DH3wIsyueft/7RYF+6p286xvfzht/202lWr5/9Om/zQ988Gle843fwe/9xtfBsnzmXvt2vu2pt/Pqp6FbrvnZ/+G9fPKpd/LHvu5V/PJ//338+Te/g7/0mn8NSLyGT/B9LqsZWbE0WVbTQfTSZuq5Bw+4vP+A07MznPNEbQFUGNtXcO/NE6/6nz/KYoL05id5lk/wuv8l8fy3PcnqVz/M8mMf5dXNV/Px3/fb+B1/41PkXBrTzjAL7d/gz/9HGy4ePOD8tMMjwOXv33/At9wuVQI3D3/joOCWgRcDMgIyCxUWQFYJ5QzEhDv9Nx9N/IW37PhzH4f/2t8iukOr7/f8/sBbdo7//NfI1uFamT1QdLM1MTE/exXO/XJhjFgkAZVyA+C4uP+Q/XrFKx97BV3bsY8xhxcbw0TVjTyyDCwOQYcVFTEIZ+Ajg03HAThL9ngnFt3N6prLh484PzpleXqSi1iVCuT1U40h+iq33ChJ19iUaso6ZYZKNcUkOmcNrEQIyT92qxXXD17guO04OjtncB7iRNt3OOfYVaFXWflE8mNxAgQaExyqVCat6lm8Y0JnMaWDfGABeFOuYgwJYtLWbY4J0RfjNHBx71nWDx9y5/ic5ckZKXgiI05zu4Mp0FGFQCm2KwJX6bWEiSWmRC52YgDOvKo1ys5AqBb+BpCSjNklTUsI2s8ecESuLx+xWW0413GPTOysCN2UVLEsXizZWjP4lP1OTiuuZlCswtQ7pNipbbBWgK7OgXOVAmFzsjmmUvjugMZCILQNeBiHiWefeYbt5QW3js84OjlhiJHJaYhhv2A+c7TjyH7Ysrlecb1as1vMmc+X0ubFCxgzD2lCwG4Imn+sdGKta6Yk7WcaL/mKltuVDK0lM47pc/xhG5BE1UsUDWVLBlnQPMkp76kUQzLgULY/e9RNmcFeb0pezQ/IoGViEk+Q9/huRtd2tPMl43bNbrVmu97gFnP62ZIQWry2RvJa9UD0JpfPt7VVKntZ8YvMpIv3IXtmtQBQ5g9ODRk33lEiBQp9gUU3VLxe75uS7JUAOJUQ0wh4Qmgk7N0FqTOi6xWWLYv5jGmzZv/wIVdXV/jjI9r5ksY3Qukp0betKjniSfTeeginIiNQnWGK+FBqc3iNxrAxByd1FgCNHrFCUDod58qZqmReNkblSrp6VsjsrCgKIRB9Io1RcjXbGbOuZ7bfs1lfsfnsZ5kWS5qTU0LTEvASBn+g8MsmpvKqg4JENsbChz34IOGoKVGxMb03Sygdb5lnImV+dmigUeOWPqmpFL3oHK6fc9LPWA4bVpeP2K7v4Y8WzGcLmCa26xWdg7OTY/rZTMfnNdxZuj+I3A5lf5qWBAzTRAwNw7hnSuT2nZkGsSgtOSdWVdv6+zpQpVcU1lB7o3VubWuttCz3tshBy6EOWlhqGkeRV96LFxuycTn45kAup1zoSYr9TUkqfTtcNojVMtoU27zHmfeqsUaje4Zxx7Bds726ZL9Z47zn5PiMfr6UEGjlL1lx8pJDXbqGHCrNhg1sn0V0TZm35qrb3FB0bxii6kKp5WwOariQhS21I4wKjX9Q8EQyHuOybDYsFqeJcZS2WfPFApLUyJHx+2wAcDZ+2Qjp7JGNK+VMmcHEDBuy51M5M1WRUigyX4z2ME3SXnB7vWKzuoKoCvXxLcJsxuCCOkpqRVYi+HILt5SwloxxiqrIm3OGnDZg383OfKNZd+PzjGVsTpWnuqK3untCxgmKDUiHrUVreTDGUd9p3EP2db/fEUdrOfbFX/+MPdYf4uSXPsSJ/dP/AR5+9ddy+x/+Fc5fsGrgX83OX5V7Dq77PPcLAIkXVjueyJ+XRbC/988/zSdxOP4ez73wb3P6WkBzr3nqVRytPgrAq1/zOFz+DeBpnnvhu3jiqTvAZ/n484/zxJ23Mr99n+fe9zSn7/59vPopOFp9jI+v3sDpU6/jLp/lF37uadKrP8fv7H0f/wBPv/m7ec93PgmYx/rn+Qjv5D3feUdv2vEbj59z9MIzfARwPM0nnv99vJHXcbqEW2/6bt7zprIOt3gI2zW5hvqHf4Sn3/HdvOJX3nsjB12ebaHun/jg+/kE8JZ3/P4S/v70Q66/7lXcBvbP/2M+aV974Rl+nkT4zBXbV4P7g6/h1sXfxUjfFI5EyuF8JpGTc+zHgecfvMDqcsUTdx7jetxLUSU0XC2D6S1NPGL7Kph/KuL3A/HWHVb/Eqz9wEkSSL2/u8Ttd/L8osVlBSXGxHazZbO65l//09/Pt79xzubX/ld+MgE/+d/y1//4n+W/+ovvgs/8DN/zF/6+FJqiMJ3aIwq1YNB/c6B7ZEERSew3W37i71ywe3jOf/ltt7n/o4n/KSlDJPGtb/X84c7xZz4IP6cFRezKwdY3QLIByc2jz9A0IVsZhRHqrB0kD7vdnuuHl7QRHnv8FcTgGESDkDCzahbKjzRXNZUiMZT1PJy5WfzKZ1a8RG8ov3KJcRrZXF0xbfc8dvsx2tmMMU1Ynp1zphTdWM8qX8a80Fapsb4PBbYGo7KBBwPe9bMNNCWalBivr9nvR84WS2ZHR4xaMKbve9nH3V7XXgUSvjDx5Ag+4BtpEZFDSpMpnMp/hKikgrON3dl9ArglnMkU6kR0ojxNKbFdXXH5wj38fuTx20/QL5ZieSZK6JurwGJ5KLax3oCoChPLt80hT7rB9rl5pkvJgheDk5uhdCZ8kuYIOmA37hiur/FT4rE7d+hmS/bTJD2CE6UFlldhmY1Luk+p5ilkJfhg6/WP3G/SibfecZNIXKabA9owJVJBmIAaDGmwjyOriysu7t0nRMcTdx+n7WdMiuK90lMKnskFfAjMuo6+nzPst+w3e9bbPa7v6OY9re8ILmieo+z7FLVPri8hhM5JeyfnHGj1Z/MelyKABQyEClzbObS5yvlxEkOS+Zmci5x36FwuamTraAdZhyDrmmlLz9qL8la1oqvRO2DRK2OCpmnplie0s4UUutlu2O12hG5G08/xoSUlKaokVaoPwzPtRYcGR5vnYa6ic04MN45cBM/h8CEwDFJNNyvkum5CT0mNFhy+oyLBm5EcRrPCi6SwEHGSiJcQcDESm8CQJpxvaY/OafoF427D/uKK/XrLNJ/TzGa0jXQccN7R+IZpskJPRscujycTC1qjL5lyjRQdc2QvvoVNkvcqL2wGlvUjhcTEnFwX/Sph1ynzi4SscYPDJceQJoY4QdvRnZ6z2I+sV9fs7t8jzGf08yWh6fAuZH5onT/sPGbjNaZ8V2ucikzM+kot/yue4KyKfW0YR3h3NtrxYv4GSStPG9h3eA87kuTRn9+l267Yri6I2w1N03BrsWA2n+NCU7WvQw2FEFRuo+fbaCUCLkj4rk8TUxxoXCvSIOVBl733joC1vRoFV/iqMJ/T1nT6s/chOx6S9hrPcipKuLjMz9o6yT1BnxnV8xlUiSxXyvuQYiKOkiqVXJ1ipHfpRLwqLyBntmAF+yyJErfbsFldMmw2OBzLo1Nm8yW+abR2ifAaq7Zv3RuKp/MwAkNe7vOaplTxQOcOctAPEY99tXRzsKJ8Ir9EoRz3ErnScEDImUadMzRSaNsKq9ZKu7UyC6FhsVgqv9E/vINRUE5K4JJENiQSxJR5bzZEJbAowtpQgPJVk4Ekwa0Gow0z4CRiYbddsVtdM+42MEx0bUM3P6Fte0mRItGoYu6dz3nuvsqhFro3AxPaxYG85zg059/OrtCUsdYQ6lzslNvwFqMcWQbEHI2lNGotCZ3VG1GeGY0vlkhIqxROctU7pa7GtB+YxiG/7+VeX5Ri7SpiTF/gi6fX/ofcG36cJz71MYi/wvlHfgXGB/ZA+Io3s330Mxqi/Pmuz/3O7rHX8er/m7l3i7Wtye67flU1b2utfT3nfF/7cxMLO21ISOJEoYVza2TFlpFQzBOWbClKhGmh8ICSB6zwAEREgiAFCZAQ4SGyFQgiKECkxFgoEAnFohNCG7vTdi7drbYSuy/fue3Luq85q4qHGqOq5j77uzsms9Xf2Xvuteasy6gx/uPOV/kVfi/f8XTNt79W/vbdVU7109Wab//1dP+L33rJj33mt9Bt/wE/c7/kx975NLz6Bl/kq3z38z/A93/mU/D8q7wCvuOdJTz/El/nK/CefyvXF//KnxOF+ffxhz7/u/jsZ/45vvedb/AX/vxfRj3WvHvD5rd+ms8CP8/38j1v93D/Ve62P8Tya3+Ov/a36xn+Pn6k+u17fvgn+N7tl3j+mZ/gB1/+VC7glq6e5TOSYeH3/Ch/9J1v8Mv0vP093wtf+yrxe685O+x4xZLPPFzZQPYEfd9T+Edf/hKSBJsOjQo/YSrGpMJQ++OBl69eEabA25dPcI3DeJsPr3oAk6B7l6c/95Rf/YM/wPhLf5dP/T+/wPd0v4Obfwbe/tkvMfRPWf/w9/F8+S6/6X/+NsoEVVhgUhXk3XZHHD1Pr5/yy3/xP+ZPhsjv+qP/AX/iD/0iX/vNf4Z/6fZ/5N/9yV8g/si/w3/5n/xb/Pf/4U/zpUeoqQ5NnSvb1ZWV6sB2s2XaHbg+v+RLvoN95Mv1cw385Tv4Yy7yf3kVTLUKWN5r+FXu+f387n8RfuHn4Q995ju5+frfTdozZE+MFuAKBg67Hbv7DX3jWJ2d4zVkTBBHUVLEolopISZ/sAIyuvXZa1BwZFawbO3Bl5AZIsfTkf1uhwuGqydPMW2XvCdZmKRZG6p1NdU7ooYgx7zHClLSsAuzLOCofL94OBJdxJjWyI8nNre3uMlzeXmJHQZGmWs/9IzTJO0cxPNsrBhFTAL9UoAjGWOKMafwvQIqdAkLPC+rGmMslW41p8gYgg34MLK5uWF/e0/vLGfXT+n6AW+qMLYIY/BZz7LGJqW8freAbL1h9MzVuUZI4ThZL2d0RedhVjUAzeOX53nJkY7Bc9rvmfYHlt3A4vIM07YCXEoqhSqvBQSZvDCqlM1Ct4hSZKiEceq5zCAFNfvEinSLEayse1IU66Ho+5o21Ss47Hfc3d1z3O24HFacXVyCM9Kn2qUxWpuDRLDJ0z/5iGk7uqalGzzj8cRpPHA4HDi1He3Q03QdTdOlFkFRvbABcHldEFCPcSjiSa1zEGWxeCkzaNMzqOBVMETG26gyWe2jGC8wVowZeXvL93LBo2qxKqUapY8KJFocJQk7SN5cJGCJTUvnWtpuyWncMx2OTMd7TNdiui7nS+b2KhXwnCvV9c/lUl6njKJGJiChkhXDVR5RwoDLp+u1VUUtDUmjTspLNVRQxzNOJ8RKInn3DYgyEduOru0YhqREHLcbDvstp+UZ7bDAugaHKDcVf1U+XMKmC37PfFGUGf1cXkNjEtu3lBxW+V7msVTPy8QgbbhiRFXsYkyR72MkUsbQGIvxKUybYIldk3p+n45MhwPH4w2u7+gWK2zbp/DRQAH8VnoLy/iywJntdamxUfzThWjVsJKNisJfVLF8SDOZR+h6ofyEKsw8ZgPV5EcinothYGh7+sUC27bJE5+pLopCKvIak1I8jKbmAM6lCskh0hiHnbwoi9UzUEMOpaAhqiyJXBNP9Sz/WuYTYgAvIchOZU1pk2WNzRESRRE30tJNlGxTxkJe05iVwVQoM5YxyL4VZUl5tXpyq04Vcv78lCrqH6VtliOyWqxSle+mTV5qpQuTQrDVa6/7U2MDlc3Z+JNJpNB1NjrVdFMZ7LI3eRY+ni6ptoJxHSHsCbEyQAl5aU/wedSdys6CAYL8a62l74eU8kMstG+RdCdSaodVo4h9ZF6JzjX8vhL/FU0pxtL4nILFQwz4aeSw33Pa7xmPe4yfaJuG9nxFK9EY2sYR0plPEQPp/7UZq0T7oIPIsl+jh5KhuYxMYXfeE8jRM4YSaUQs0Um1TFN6UA91Tluh4As11j6MHtDcaq1gP/mJME0YOVNq6P6410dSrGNeYvMBnyyX+/oXGD77o7w+/QxPvvULqaymAXiCf+fH+dan7nn7i3+HNx/53pPqvusH+bEfjnyNnk//wL/BD/7amtN2yfd//o/xOeD1L/03fBEkx/pvsF/t+PrXDEZCwn9GH/RyB7/9GafnL+DlNfz272LzS6mI2q/cr/ncdz3j9f1X+RV+J5/7rnO+8eWvYjCP/u3XvvwVzO/5Uf7IO9/gL3z5mh//ge+ik9ec/vH/wc9/7S3e+YHfKV5syad+9rf4mV/61/kjn/+3+W0cef0qeWe/+Fe+xI98vvJYH/4xP/cXb/L8v+eHf4LPvf0uP/cXv8DXP3PNj//Aj/LZr/0il3/4c/C3f4q/Mfv+S375z3+BLwLvfP6H+KOf/yHgyK/9nz/F15/9KN8PWhg2rXr2jj7j+y43/OIvihpjtClVRXDG4A2sd3tev3hFZx1nqwXOGIa+Zx8CR+nZGB8e+n/09/hN/8sr7v7l7+Mf/kTLcH/DcITXP/hD/Oowcv0P/h7f/TPPi4VW3hudJUwTm/Uah+HiD/5x/vS/Zvgr/9FP8/8C33k1wMs0vtcvfyF965tr9r+7vL8OkysHtBK4CjBU6MtnfPBs7+9hClxdXdF0LeEauIVvXcGf+Sz8/nP44t+FP3sTif+s4TuBb1TvilkYSpgPf4ef+qu/lz/94/8p/9mPAd/8m/zJn4Hid5Vx2OQtvL+9Z9zsOFst6ReLwjArZqqrhdUQmZhBoQKqWg0xNcAhq2ZktpUfWyzEFsN+t0vVn/ue5cUyAXcZd5BPF8BfhEI92lnP38z4qH6vAP+DZ+hYiUj19bS+h/2O035H8J7lxSXNYskpeJAiROM0MUn+jAJ7M5u/o3FN8j7o4ONDgUzOfSMWIZr+JqFuuopiGLAGvAFvIqfDls3L54TDyMXqgmG5TGFSJoinJYU/+iC5VGUVUVs0xFKdtQbNuocVrQmB52iJEHy+N8/9otrvB2RlIuPhwGG7pYuRq7ML2sUy5bKHEpqaF0hDQc2bIDdfAuRTVEt5mbbgUi939g4pHxEQVyBupYSJAJ9p+DHiGkfbNRynkc3tHYf7Dc463rp+SjMMOX+vbVq6rmVvIrEG6Cb1iY1xyiF0xlq6pqELA9PxyHQ6cdpu2e+2tP3AMCxomi7Rj7U5jNDqWs8OSJqJCcnrpIax3BtWN7PGMPpVARAhplzQaGyef14ZVQprMFcB+5qG8zdVuVLCqJVQuScnD9AoBPGMGANNQ9OkUHlOY/LybzZ4Z6Hv6foBKzmsVJQdohb3ebP4XiQZmBL5PlgM9JxKWGBerzmwRuaQe97n+VB+r8E4Cu7s/HzI2QsEPEHaEFmc5qrGSGjbZKSbJqbTkWmz5bDdYIaBbnFG23ZpXWNq9+e9T6GiMiT1ehUxrd4mk89ORPZe91xaS8oRwyJRR9kwU/bfxBKRUEeCqLkqR1jFeu3A2oaWAEbrCjhsP9C3HW48cDod2B9uoOtolyvJz9R3ajIAeVZZDujYTGqhNE+tKbytPjP1fpiHTCyzlRpLVEtAoWlLxIwn4mmPDRNd27FYXdK1feLP8u0YI84atH2HqWStViZ2zqHRImkvI9bhbWn/AAAgAElEQVR16aXaj1pkMqJ0GaP4oxptNoLGHL3mXPFeqzGmbo2Y6Fyioyh/172LBKJH0lIqeSFrp4pi8CFVMY+SalIp1LrYapSrtzPK+3WPg/ccj3u26zvG/Z7GWFaLJd1ioGlayWdRQ56pvKEKBtQRMI+mirL2MVaYzczpKa0Fb9xL9+dKdn3liA1nME2T2rWGkOktR9GUO7IO4kElydkwpZB51zhs2+bovCi4Q3EhIeYnRRSHzw2Bhd+mSWWOHYtxKZIiCoiU9oEk2g0h4Kcjp+OBw2aTOjqESN/1dIsVbdcTndRz0fU1hsY1YuDQCLpKcgjNmQpsRMgVyo1ailSWVM+tGbcaeDDkaDrFgEUPqM4+KgceMGTI5xJiKY5mlCbTc/004qWlqhoU8znQs/AxL7Pf798D8aTrj//JP1UNud749/5aUV5k4+3vY/s7/hW+Pey5vPsmPdesLz/FdPgy3/nl/4Hm8QTrD399/4/yYxe/yF/6379axve+s3rPgfM+03rfaxZyNGPg89/nn/29/MjnP823//z/xBf5Xn7wD/8B+Ns/zd/42nx9Hz7vn8yVLJb3+wO/+q0XdE0r3hOtngfLrmcYOvRoe2d4uV1z+61XXLQLlose4yzDcsA1jm++vMH7iWXfE3w6DLZmBsqOmoHxvE3z8wfc3SmHjdX5ENZZjuOJ+5sbVv3A6vwMrON3/pF/nx//rVIp7ps/x0/+5z8L/Kv8iT/7OT4NwJ5f/u/+PX76Sx2uaWc5JrVSVyzZAt5IbC1YwzSN3N/e0VvHapXClQKRz/4uw3/124DR8JV/CP/1twP/5mcN//wFdJvIn/qr8L8pqDMVZzEw+YnjZsf5xeWsCm3Kyay8h9biw8Sr168Ip4knl5c0rs0hrXU+j5JwHU44s9jKXgYBjuTPFgtzqRSZvrPdbGmbhm5YEEwqbLK5v4fRc3Geqn4bk8Kao9F+icpLK29oLJ7bmVCgCPYQS15crlpae87imx6lSFKApuDZ3K0xx5GL83O2pwO7MbBcLvFT6gmZCqaQf1avXwKfyZLfNF0JHaoxW1ZUbekfKfPaHQ55a60xqResINpkrLIMw4LRGe7vbji8esnKWlYXV7iuz0jPuYYQI6MvhpUQI9v1LX3bs7i4xvsph/dlkMl8nA/pu1aI6v0tIKwGr2lBvCnKUzCB03rLuN2zWi5Znp+Bc/igOd1RsbCMm9kYHmLd2rilwGy/uefq7Jwnzz5FJOKRnrqAjwGHGgZMpoWoMjNK/re+R3K1jU9e4aZvCRZ2ux23L54Tp8D56oLl8ozoLBOBxqYw70ZCETeHPV/5+3+f4APD1VNsk/4+jskwo8WKUEEMRD/h/cTpeGQcxxTK2LU0iyVt19G0Kf/URQ2tT4PWMEVXLaDyPeXBrilFzSzQda3kZhv8eOL583fxxjKcXacq/BVwV6Uqr33mD3LubSqumEPuo0YJ2PyzUPdsh0tI7+MgVQvDpD6wEaInTiP+eOQwHvEW+mEprZuaFBUQyd7MGAtAqp87B40ZzyUvz/HAdrdmcXaV8gcTQ8wGntp79fAq8wmzIolCqeWnaj0Die+pjDKQe8xHozUKxLCX0DbhdOR4ODCaiFus6JdntG1LjT69ehNjipRQXqpKv+wUYZrY7TZ0qzOats88svhyyEXo6nD6Iu+YtbR5v6t4+JR2fKZfYyQ8WYtAhkCcTpwOB05+wg2porDtUs6xFdAchZyUflR+WANNmLi/fU1/cU7bLNK50JZZKqsqWp/JDGJ+bpB56+yUXyUyk/QpPxL3G6w/sVoM9H0qnGVcg5rukjGmMggb8f46xziNqKHSaCGyKHRjDCZE9jc3vHr5ba4/9Q7dcolTz31NY2oMMkUuRqXxoFKhhDiXvxeMMdtHFWT5PZVzwVRKi3qYY8RPHkitVxW3pVXW9cu6it7J50wVvEDEx5HpsGO/3nLY77Exslomj6hrO6hqCyR5LJXMjXphEy1rhNxjnufZ6hlDjIplqs9UfOkh7puFUFf3csRMCOzWa+5fvmDx5JpusZQ2Z2nKjXO0zuV6PgiOGadkvG+bVgoBqqdUJG1l/MyGkRAYx1M2Jo6jpx3aovBV8xQmWOGU9FcfsvdSSCkp+odp5LDbMu42hPEEU2Doe9p+mRR+54imin60RnpQS8FWpUv5e4mYgWwcUL7NfFx57BV9Zmxande8l6GE0Ze9eKBbVVE+9T7qHmbMiJF6K0EU6ilFbgSfO8BUVJy93TFGvvLzf5OPc33sUPCP9JnwBVZf+gK/2X6GsDwHJs6/8ku53vxjiufHvR4qbR/6+gTWiY9/fYFf/sc/wec+/8f4FwBefYn/9msf9J1/MpchEo1NoV1EPTkYJM9QCiUYk4IOJmd4cXfDq289553zp/Rdh7GG5Sr1qr7fbJnGsbSeUSFBZXhRZdIfaG+TYqIWQPlKAg4kT/XxcGD98jXXT65ZrBaEmDxlv/DTfxrxTVfK1s/yX/zkz5J6KkfGfWQY1Cr7pkKtOUFKQTk0xRimaeLV85ecL5ecn50TjFTFjfDFX4z85K85Xr2Gvyceii/8r/BbVoZnJ/gCD5Tcas1rT74yFWukYJYyJ2c4nUZePH/Oom25evYUg0WLQQZpb/JwXvp88vobKaylhWBKPksCDGE2TtD+zxEfQ8orMuDHide3N7SN5emTa4xxAh5DzuGpjQfKGBPwEQFm0ltNpiu13IINNu8huh5kLIjmWKnnMlk5YTqduL25xWG5urzCtZ0UAtECSynEVtfaimcpgy99vIxFadNUiXRFiY25ZkAG/Jn+0sxqQBuAaCNjnFh/812O6zVX51cMZ+fgLCaGpAi6Bh8jp8njFbxJaGDOrZK3GQGk2Sv+QLkmf5IMKOtQ0BKNgSioEWIgmORVzYXQbMSFie2rW/CRq+snNIuBCf1eqAqDaJupSsBKMaXamGWEtyQ5aASglE0wsq8Z2KiCGPRc6r4YNC+4hIDJY2IkBk/TNDTDwOQnbl/e8Pr5cy6WS66ePYWmx8sJ6Ls2eaXU0ILuc9U9AAUWxQChfWS9l167LhVyWbQdg/ecjkf2uz2n/Y52GOgWK4bFGbbt0jnU3EcBHFkJlnGVSr2R8TRiNAdS1xFK6zcZno8h5QUiebnyN2Nt6qVcgcsaqKoiWfhzKlRkrHqBCv8MucptzUXeVMy04ng0Bi/Pd9bRuZYmLjketpw2a067Hd1yhRsWYEov7CwjqivnPRf49sh7hW4gRzs8VPrnALpWqsscy7qIMlsZGvSz1qRq8NYYkPZUWhzLSGEobPJETyEQHDTLFcthiT8dOO427Lf3nM7O6FcXmKZL77ZIKkEkTBKU6kRxCTHVMjA292QvqTy1V7rImeIhlvu1Mv1gjfR6zANYziVpjqLcGmNKwakAEU/sDMuhY3E6cdhu2e2+jVutcKszXNtjIzkEPciYczX2COrFJOMF+b8pHrGSSgKlF7PKoHxyK4VT5xtxzhC9x++3xHHLqmlZnV2mKAJnU7XvSq62rUMN4Jpn6n0Kq3USIhujyekjzqU86RBTXQrnLKk5Wh3hkyYWqNvymbymaZVj5n81v8v519V5tsYkw5+xxRgXg+Q+F/mquEf/Dql4meYAa6/rPAJtIabfo7wv8ZkSrh2jZ5xObO5u2K/vsFhWixWL5RmubYkaDRZJhdykO4diLsUQdaX1h4plbZDQfVWPvlbD1qtWnms+8PD86+fU8ZBkZIqaSHgrtWcsRynR7OS9ALLU99mHQNO2OZXMGCPe2CpCQemxUqozTWhNDVsiCbTOTawK2FmlcUNp42pLznOIKaVhu91y2NzijwecGPmH81IgLhiLFwWZEGhF0c4VvIUus3fapnQyH6rUL9kvjaYBcpFX/ZuQ0rw3dbW/ilUbmYO1ktYT57nxIXpiKNhAOzVoO0TFOGqgCCEwjiPTNKb1Fl3DFlLDS0RjFFr/MPrue10fu3jZe3mu9fd6UNlzHb6G3bz5rE/shf2//zJ/6Y0BFlD26BUfLNonGEIGt4885LHNqQNHvv7Xf4pfeZ/PfND9XzcPtoDbSdquKOhOLTMiThhoNKkC6bsvX3D/8jWfvnxK13YYZ1ksBiYTuN9sid5jY0SCoWbmjjCrpjwfRLZkZWibtmq72bBfb/mOt97CDS1j8AlcxwcthnQy+rZ8z2R5OvPwVoLKCApT8I6F/W7H3asbri+vWa6WTBWzhiRc/9ZNAaJWIPhXNvAPK9AKFbBLHCWH1aQ/KsNIyq91aZ23+x23r24461dcnJ/hoydHQchXbTSSs6Ye4cepwlCEU21dBDKD1whCo1ZfCc3BGE6nI+ubO876gdX5Cpxlkrw53SuoFGmKgpoEsSgRAvGiAgkSuApaPVr+VryohYeUZ6XzHW3gsD9w//KG88UZy0vp4Z02uijGGKyzYhmW0KhY3pXG0PBGfqWCKhUq1fGraTXtrwprgw8KfgxYwzgeufnWN+hGeOvJW7SLZWr1En0SGNZx9KkNUyrEFPPz6j3L+/Zwbyvw9xAIGwWtJCCeQ0v12eLVCyEpYt57gk1Cadxv2NzdsexWnD+9JrZNqgabKk8J+DWFfkJIAjkfEPuoQuIsuWpvjKkatBKQnkVtmxQzcT0852SgEkVCqlRyxuKGDtM6NpsNty9ecdod+NT1M5bn5ykKhSRIl/2Ctm2YQhK2QQCLnlNtp6X0IIhABpvG4HIVYM3XT3u6dB19vyScDuz2e3a7G/bdhsXFWVIkmxYX0h45FCCV8GdViqwxmLZJytmkvVSN4CApP6Wfr8cma6S/qvJtgkawFDqzmsoRoxSdilhXqsyX6I7HFVK9CmBMNSmMRWgl8ZtgILqWaCJD0zAMK477Lcf1Pcfdlm65hG5IYJvkwfamfleaTToXRQlTYxMYvIRfqudbedRjSmItByrCyrwrhFJhvK4uWwP9undqltFRqohL0rO1yRsXgieGyBQjbb+g6zqOhx27zZr1+p7u4gK7XGFdmwqUQape74MUA405siEZBhNN2oo3FMNDLQJrmRvfWIt6Xrq/tZysP6OMUIsP+ZAiPgyAc0QbsdEQJ5Fp7YLVxcAw7tluNxy2W9zZGd3yLEUIGUdqISgpNIngMgAPEp6lcrmemBUlNKOwWKKcQDz+UmAvxKgBUzgCHPeM2w1d41heXLDoUzshH5LBxFb0bIxhknDdtmkIEU5TUpjbtiMyb8tp0RabUiHbGFzTYK1j9IHOWIzWVzAQvSdoC7aoVcIrR4NJ+63RAcSYIpxCYPI+zck1opCIwW+a0Fao9Z6KJpPOjuSZeokOMiQvbEbQUaV1uq/Kq+iRKQ/ZSJh89JymA/v7e453a4L3DGcrlquzlA5ik7FC99hK8b86n1ZprDYghBBzEbNshMkrU8m66ntQG+HKNTeehfzZmqeRaV7kirUEwceKG5wYFLz3tK7BS+uxxln6YSB1QUj8x6BLrnyr4IcAuQK84gcEf8QQcKYtc5T7lpgL/qXc7aKUBlEax/HEfrdhv9swHva0ES4WZ7T9AtN2yeOrxVqFw1lr6RZDpeQKFgzC2Sq8mDlJPh8VFgox49TZusq5tRI5iJzJIAb42mCT+bfKHlTJ1r0WY47uI5EYTY7kAEllmCbG8VTtaRYJQh/F2FSMeA9wxke8PnFV8E+i1f+Tvz7iyryPHv7BX/2neR0+xCX60ySWMDmxoGDFQLCW4+R5/uIVh/2OT1+/lUJFGkc/DJzixG5/TH0aMSWvCzKh1uDmMcGebgjbljDa3WbHdDjy1tOn2L6TfE6yMpcZZ94/kw9WrWzXzEDf/1AZwSScEkJgd7/huD/w9rNnNF2fqqCawhBt04hiX1U7FrCTGGcK+8nPViZrkiIcp2IRJVv1CiPabtbs1huuVmcsF6uiUGOSt6LaO1UqlLmi/1YCSPv01db8muTzWsZYwu0AfOBw3BAjnJ+dMSwWqZCazDUzViWirPyK8qzWWJUu+jFhw1YYWo48zmw+zphh2teIsmw/juy3KcTs+uqa5XLJKLFRTSMCIxXVTAA1pBrPVsPvlB5JypOKhbJfmgdfgUoZfK1M12A13ROhYC0xevb39+zu7lh2AxdvP8V2LllHSUArxhT6HSKpJZJ4CevCMiImQNYztUXRkNXiXcvUXgGErPiiyqwqIPKR3JolKbzGWEZ/4rjeEA9Hri6fsji7IMbINKlnY8zCNK+NKZ5XKppPeyznwqj3qCgjmUcAmLKuWpEblI/U4L4oU7qRsqU45+j6nlMYuXnxgt3dmtY0fMd3vEPTdxJqGmldQ9/3YnmP+WzrZY0R8KTKi4Rs69IKhRus7Fck94EWphlMxLQpz/iiH5hOJ/aHHfubG3bre7rVGf2woGs7orEpZFqUz6wsWO0Ja0tYHmr0FFOeWPPLvpPXXUGcGoas8A9dMFM9X/dR56ieKFUyHypbtdJV81K9b03VczefEqHJaAjGYVrL0LT0i7Pkwd7tCIc9tu+J3UB0HbWRruxPlZMpf0/nTgpHIR5dObMztfkNRXH+N6WvGhSmFI+YFdT8rZg4Um6JoxugpBlT9ASSfkLjpGjdxAjE6LCLc86HFfGw57TdMe33+MWS2C9xTQc20jqLcYbopcqzig0jhqCoe13ClPNBt3PPblaMowLU2eqUdkmVAaJMt+LLJhlMUy/lUqnXqmxpW6KklBEjtl9x0Q5Mpz07qRjvhyXdYkHTtMmgHKRQmhy7pmmkXaGetxIpoHKvyMISRZGNMAYmMXhBxMQJMx4Jpz3Oj1yvVvSLJTQtSvra29tK7nSADPxNjuwztG2iTa+9cGVTNHoJUoRGwlMp2s8TmELqL01Mki7zTrQYFmLwLEpEbdTRjYsyLocqWCHTYtrJRLPGxVkVcd0/76dUlKySy5pGoIqnnl2DFsBUwgFElkY/pWJY2zW73Zo4Tqz6JYvVGQwdSGSbFQ+4YiCrnsZKuZXTk+UomBRZIHSX1rQ27FWU+wDTPUxlqbHnY8XK9P5cyU4OlGgdY0jh/a7aX4PhOJ5wNinUzmqHkyIH66gnPTfEFHFpZN4qO40mIRpDYx3Be2mVKB51kXtxPnGMvOd02rPfbTntt/jTEQecDwvafpnS9tRoIjzYGDDOSR51iQxTvCakLWnL6X69drPq7FG/qzRY7Yfsq7Znq4efzohE+mRgr+lSzD7vtAq5iTlVJvFA4Uchpkr83jOeTundaqAS2e81+gPzBm3ksc7Fwke6PrFi/dA39lDBrL2zH9a7+pg3vH7uY17xx8byka+P+fVPolR/UoX8sXV9r2iCD3pSNIbJq0c2zr7vjWV3OrK52+BPnmdnF0RnabqWtus5+JH98ZD71ubTYapl1dsqdGsgBkU5NAnsTaNns77HYXh6dYVt21lucH1ca2+w0cOoxt4sNEz+XgYe1RXlcdM4sV2vMQSuL69wTcNESDknUMKjYswWaivMBPSfogzWjCV561L4XjLCz/cqWsPkR+5vbxmniavzC7quT4I7M4byjQxwZ2flzSt/SyyDNVcr22Ly+qe8wch4PLJd39PblqsnT2iGDvWZU+2fkalE6jNP2VdVtOvByRbk1hxVIaL8HFW08gwswQTGw4HdeoMzhreevoVpHKOERgK5P2wB3enFdShcpZ3JOmq8QaGF3IO5eobOOefnxHJPfw1Ejscdx3XK+X528YR+dUaUyskKtqYIk8/qYw600erYKt+oxhAVtGeaNnntZ9IqE0PMVFHbXGaEIb8HPMfdnuNhR28c12+/Q2xaJqX1mML8qq+k9QqVp1b3WmjNqEKWR6trpVBZQKKSVDb4VBEHUQrwPFSCIuIpiTTW0rQN0RruN/fcvb7BjxNnqzMWyxWmcXhpE6Nhjmms8u46xFgEtc2rn3iTCvoYCqBXwATJWxxNuZM9qsZgmobWOZq+ZRpHjqcj43rDdrvlOAx0w5K262mdwwoPLQqxKhrlbKVpCy3Hkkdt8vsLn4yx9FfXczFbx+q5ipkVRD0Eq++nlL5xP8oZMpRVijGfa2SUAYNte5qmofee6bDndDwxntb4pqNpuxRCai0mKvQsZ0n3Qfeu5omzM/0hrtpokObCzIA2M5RW850p25QccD2uqfWLzxFTjXPJyyzeHUyDW5yx6HrG04Fxf2DaH5n6gWaxSPm+xqQwUZ9yRNLvcuaidjkouMAIQ5/x97wHc8NYVrJl0uWEzmWUGhdFfUTVH/1OXrRMu9J32Hip1m6xixXn/YLj8cDhsGd32tMPA03XE21qq2QwORxac2b1mdkYSxlvfi0SkSOevyjzdAQYj3A60ARP17UM55fYpq16K5f1aJpSEdlZ9YxF6RrQSIpLzEqo7kFpl2eKAqhjtUgLvlH4aGmnqL2Tk6EmiNIzN+zpRuXYCNkeVa5jDBAkUkT2iZhaKjmJxiJqJMzc+1f2r1J0VaYpvegQhMd775nGI8f1PeN+h/eevu9ZrK7ohwVYJ91M0lycsalgWiUrH/KQh3hJ68885DTZeFdX1JcUFT2zanAutSMquVUZYWbvrc4+iLxwFtO4FPJdj03wX9d10rrMvvkMcVbF6r52Cske9hBEjgWq8AtCDDSmkeUyWe4kY4mYTWOKNhhPBw77PYf9Fn880hjDql+kApFNT7BFfiD53s45jNPe4op7hJdE/WihI8UeOu5M6g/oRWlMF7uWG/PUjULDObRfzrAxyWCl0qx8R8YSyz7kSIZplBzqADGIQq3aSNEddD4zflWNSQiCj3v9hnqsHyqBH6QYv5eC+GHe+fC7b7xLeqEmMPqeD9GBvcff3+sZH0WM/8ZfjxkpFDpO4pFRxcYIWDyMR3avNixdy+X5Emst7WKgaVv2xwPH0ykd9piYQW4noQdL32KY7UQGdKLJRJM+M40T69d3DF3LmRRKKmE0hoeLXjzihSllZhBNdZ7mSkhRhpLgGMcT69s1Q9OxPDvHOvUuksB2fYg1b1TnpgI0v2A+x9oamz4SC5eQL5wOe3brLZ1teHr5BONs9tqRP/8meChrUD5DJaDykjwAgMpwlFnrphkDu92W7eaeBri+usINfSooJWsfZc9MtaeW+dnKikmMOQy14rZA8opZU29bYbYF1okwD5Hdes3psGfRL1iuzlIFZCOFi2RfnLGpsEd8SG82CUDn8F6KUGGTh95Um1bRkFa1nAnLqOco5gXWsC9rI/v7O/Z39yzbnosnz1KkBWCIOcxuChL6bZSHSA/vysJurb7HyGoaqbxeg/44Wydd4cwDs1BMP9uIhIEp3aWK5cGPbDf3hNFzvjqjXywJTZPafVW5VNkQIg+tPdc1ONeCTgocnERwKD0UL00klcpJSu7DllAKJMu9Ut1chWXbtLguFRB6/eI1+7s1y37B5ZNLXNfmImEEUpVXWwYcTSAVlZnLCIN4j2O13hWBWGNzWxTlXUoOdZSFnjKDKPM2VVltuh6midPxwGl/ZLc7YNqWbrlgMSxpXZv6nkvRq6iAp0YY6ZCRoUcMyTPl1FtdxvHQQKQgKSIeIOH9OuIMemp5YEpdBN3HvF6P3INYnIiZEdX8sXgivEb+tF1SOoNnPB4ZT0cOpz226XDDgGt7PGL4UA8YRvZS19ykCr5W6Y03vfoProeKc8nTnHs2ai9eVgyqZ77Jx+R58o6UmhHwopA5m1p1pSCCQDQNzi5puwVhPHE6HTge9kxDTzssShXxUN5mTJK7CYhWPc9JRy7x5bKPqKiw5JxEXScnwFZznovcUeNOmaFi6swb1WiraxnL57AunbMYUjFTZ2gXqXBSmE6Ew8h2lyIVun4JriH572zy8IbStidmI1vM+Z8PeaEqu5ZIPB4Ipz02eBZ9Tz8sU/6r1fzgwgfTGMVzKHzSq2HQumIYz0ZZIe0QSocNraqtoeEiJ51pwDiJbdexJqOhsw5rHdOUKhWH6FMNB93lPLFETWnNKzmEGI4TYaRIuhk/ivLcOIMJ2Qijcl2OUI0RMqYRI0CIgfF05LjdsNussV4KYZ1f0nY9zjYYp55vm/tlY0x1RoUyzIMzWSndmutq34ff1L+XyKzKwCgfC0ELvpV5xUw35D2rn5ciD0I+pxran9aiABeb87BVcZa2ZsaQK1THmHi5yK8S9SbywVpCEoTE6n8+eFxWzJMRUuXX5JP8OOw2HHYb4nSicY7FciE9qFMh1lBF01hrU7Ql0sf54frLnpQdKpFKRZlOQkGNh2pQKDQt66d0FyvFGY0kqs+r7pPsn8h1YxOfywaJvLdzeeOniWmaJM3Gl1oFMpg3W/sl45PWsJhhGZR9zenro1yfWLH+qNdjSvF7Kb+f5NkPn1nZVd94++MLWBPaB43r4TMeF9wf99Kxv9ccHjNQqACq732Yy2sRBkQQG8PusGN9f8/l4ozzYYF1jm45YJxlvdswSZ6RvqKE3yihFutVzQsfhl4Ek955OOzZvL7jycUVw3LBZCSsr55DBrFyEHNFywdrYyxEn6lBi47NdCgDWMN+u2N3u+bs7JxhucgHUsepvSpVoX4svOixqw6ny2NM1VfKDlnLYbfnsNmyWixZLhYphzl65aZ5X2qL38wAV4GK2uqLMbkgTH1PH6AAOrV7Ssrr/n7NuN/z9OKSQ3sEYcS57UVF8nrCVJk29U4Joyp2QwV1dQgp1fcKA8y5aRiw4KPn/vUt9jRxfX2J7Vo0dzESE1MVaRmNeoHUqouE9iXrctpHX4RntZZlQYW+5oWQy56qIJDxp0obE3cvXjHtDlyeX7BcnYGxKRTRGpxtUj9RKXRXWlGVRY35vozJFM9u5mrGpPtZ6FQeCvmchogXT2X6tifSxrSu3qZcsXG3Y317Q9cOXF4/xXadFAf0uZVWfZYj8tx88BXUxOLdUMSie23ma5iVKlNoMhXwSd6jBPjLGauNQllpMND2Pc467nd33Dx/gRkD15dP6ZaDAGPyi5umqXiQmfOgCmCY2UhMiv8AACAASURBVFhnTEvW2ebvJ/otymYNAovBT95nLQapGGw81rYpDFoKnR1PR/Y3NxybNd0yFfvpmj4brBLvEuNgDNnzkI0zgBGggXWpEF3OOUvFyPT8KVIzpoTcK2CLQT0Wbxz0GaB56M1+I1S82m093+o5C2KsqfcgBOEVxhKdoV00uH5gmg6wPzHdbzi2e5xUWY/R5JBvNSzYnIsZHlS7fnN8mRKr+2+cRyldod7DXH1WaLE2qObVqoCgqdciv7MYZgMhe8VSmKQl4ok25couuoF2OnE4HdgfXjN2Xaqq3CQvWfDprVbWQA1T8zZ3JitZOeIlTaGEqVb8WLhu5ouqABXB8zimULrS824M2SiX7+EwTjhaCJimS2GoXaA5pTNwPN7iFj22XyTxF6Lw1+pczcR9LEagmHi2A6I/4XcbzDSy6nqGszNM22Qvv3rdMaWwVzSpknNAQ59NKeQU6qrlinOkHZW1s166me8Jv0y06sC0qQZHJQvV29q0joZGlIRA9BFrG6xNRUd1wuolN7pheq/aRysG4VTt36gPO62V8CX19ur26pjsHCxUdWwC03hkt12zXd/jfKDvB5aXqW1ckFSVKLwOI6G7RYsXtlPQgoZe1wbmxFvJyu5DhdeYUgFe70FRqAsmUxEUcq65plgVti6y9IFRplSMTv9tTTLw5POt5yCvvxHjD7OOEXUIfy0T8wDl81HnI58xxsz6SOcdNhCD53Tcs9uu2W/WhNNI0zQsF2d0w5Cq0otSrwZZaxuca5L3XULKZ7JAh1PxLrUaWaPpTupZB2O0LVuYBVQoDlEjbL0/BsmpjnNlXdcjCP+uBpPOjhqorBq70/cnP+HHURhVSN83ZU9UztQV2OvxQCzOKcEyIZqqYOfHu37DFevHrk+qUH/Ya66Y1pQQ578/uLK+9qYcmT39PZ+RQzt+Y+aZAXac33s/5VqhewCi5BSBYbtOFsm3rp/QNyn8qV8tCSZyv16nHBFl0qjyH3M4cWagtgxoBmrk5yBo+bDZsN9sUl5z36ceioAJRcnVfMaabkoYFXMgFWLJizQ1eI65mqoxhvvbW/b3a9569jatvFdRvzHzXB0N19LvPgSa6Ezz72bGRIwpNBVs6oG6X285bPdcX17Q9T1TDETvk1IXCsPPxTgq5ls2UeYVVXDxhle97ndpECUgIOFayRJ9e3uD85GnT55iW8v2eJRiVuS5JDGSFKCkuBdGpWelgIo0Ni0aA2SaqQg0A9oYA8HaLFSNc+yPO16/eMGyGXjyqbdzZIN1qUDINE05ry+BpAKMU8hXKrjVSG9RtcLOAV/p6ZzDxKpzNAsNrXixNQ7TGKb9jttvfpveWt56+22arsvKYdukli3HaWIUJds6i59Ki5Mia03On9V1U8+stYYoLaj1vkUMJ7qmhmxsECJIVWmty9WSiYFoUl7k3c0LDpsNT64+xfLigomIj6QCS35M+WVKX4lcHtRhUHIUS3RVLT0i8zDpebotmtfrXDkfsTo3ug6ZqmLMxrNU6C6FY7bLnqMfef7829y/fs1Fv+DJp97GtwkYW3meFW9QFF4Rw4Oz8kAYo0DZqHegPuOF0gukKuddydoaK0VZTCkuI+fEZgAaCZMB4+ibhn6xYHWc2J927G5fs1vfMZxdsFpd0LYN6pk1uUhLAo0KWGNMtGZJxQy9KNKpJ6ydtSTRxQ1aO0LGp4aRkIFmUToDMdeOqvMQU1SCRhaIklLJ27SCxShT89T6So4PrVuhRrWGxeIC13iYTmz3Ww53rwldR784w3Z9CiUXXq3hw4YoucwiB9RQp0BYZU8F0N9sL1ZkRqmQTAnlzOdCZElW+ky5H+sCm6KUUXKRVaaE4LE2tbcxjZOcXAnXbXsWXU83Hjntduz3tzSLgf5sRbSOYElFulyTOj9MHu8jxmqIcZxFaWSgHqSVl66L8uAKhyZ8rmdG1mPGvIuczCcjinzQqvfZFmGKUqgh4jEy+ikZ+ZZLVn3PdDyx36457HZ0bUMwyejrTHpWKC0eMiFHwXGNMbQmcNre4487ln3P8vKSru9zbZCkGGmedCvKfwTraNqWcZwS72qanN86U9qikToXRQEyQhfawcE6V5QlkWPGGbrGcQpTUsiNeGQhg3nXpAJkcUoYJAQPVJ7WKEbsoMVKyz4p7Wb+LAplMqjFrKwgkMh7rRYuMkbwgBODpBeuHC2M08hxfc/+7jV+GukWS5aXZzT9gLENWggrktrOOdckw43Sg0lGSOfs42cu01KJAnpMGdIz+1h7JZhjtfIdKx5hkU2mYEbtOW1sKsiZK4LLeo6nkeg9Q9NyOB4yrQjVA8kAY62Zj6mao3bHqfFbgW5lnk4iPrSWiaEc1xTR4jnu9xy39+zW90zjSOMazi4uaPoB10jLPuVUsudN29I4+ZspxrS680EyyoUcGYLQpNJvzMVKC2bKinOFlRXL5ToNFKdL6VxQ5KummBlKde/8/NwCMp17dSlNfmQcR2IIUl8ivd9VaxzzeRWFXWSSlbQPLXoYlO4hRwbEit4+zvWxFetfLy/ze3uSy/V+3tr3+877/14ORi0kzBufKPdnoaIPx2fydryhMKS/8wGK+QfP5SOtdax/fNOD/fDZOuxT8Dg5eNv7DeNux9tPntK6FNrTLRdMRHbbrTBwKwexFMtIeUih8vaKRy0rlaZgDozk6wR291umw4FnT1KxsJMo1cSkPGi4SW0Vz0BNQZWE5gQBzrmSrW5LFMu2VHn0wbO9WxNOJ77jrU+lkF0BUWo5VaaYmbf8vQZgtUcNXWvRIuoDqoW8AqlibIie+7tbwmHk2fUTbNcwiZKUDM5CV5URwEjBkPqdtXdM2WpWItQIoPcVQBlDFKt2AvgTd69f0zWOqyfXYC1TZjq1v7RQVhYjKsBUyNvSDsPoOGbkqesie4ky5CBKqygLJnK837C+uef68oKzi4sEGI1U+Q4eH3y2vBsE3KKFPqS4ioD0VCBMQaLJ61SvY0QUsqpyvSqpSbhFAVuBYMGHifXda7avb7hanXFxdYV3TWLeUgyMaNmPp1TARUPONGJB8Wy1lHkvtSo7Mm79bG43VUBGrvwt5y0bT2zxZCFz9AZOpx3bu1tMgO/8zu/Cdn3qnRskrDQEorUEAy6qMDXZm6GKcqxaX4Xgsa7s9aywSSXQ62iNeo0LHRclvKyJzB9ouw7bWu43a959/i7xcOLt62esVudMsmRNJFXilSI5QYnxwVpDsWo/lKV1D3WT6UTHXXhrDQqJMVOWs6klSR0OXZ/bxtpUzC4EwuQTgS0sy75hsVhyOOzY399xt1kzLC/olin9pskFkSLRVoWjVOmJ4IyjadKzR588LY305FXwY4xUL44hg5r8jGquGSIKvWnuaImSEMUgljXK3iajy155iyv5OuNhtowrr2lMYeKTA+d6Fl1HOy5TJfH7W8a2o1sscG2XK9KnsRTjooKzh1dt8AxSHXnu8SqGhupL+V8tCKnyoH5uJIHruoe4MUZyYQs/UZ4dRYpO4yhGMCtKb0obCUDTDwxtz+m0Y384sn11Q9MPQCA2kSlMONuUNkuSbuJcJTtlJXL7m4R4iwQ3ZFBa/l5aWxEL/tM1zTOPc6+pkEy5DBkzFEOWSVX5faqW7rG4YcFZ1zPuD5zWr4lMnNqWZnmGxeWIc2Ns6SEfwcYJpj2H/Z7eWq4uL2n6PhnVhOY1BzoZMWym5yRXU3tLYy2ttMTLSrzstVdFQIwDc+9mmXuQ1lWp4GAK6XYWWmvwYypmlw0ZQishJkZhXUNjLGFKykOU6Cqq8/YwekcxkcrqYjhmxnttpSzZrHgUxTd1tYggBgzvJ/a7Nbv1HeF0ZNEuuXpyjR2GZFCQnPhAOmetTd01NFrEpk3PaxNyhemyVoU3qBddIspAOiAU2q0rfddnTpVa9dCLYE+cJiZDRb2GRbk3uTChqZ45TRPBe5q2xbUt436PIfWJzti3UspytE9t3MjHomBHTPG6FgEnnn0VcIIzrLVM3uOnkdPxwHG35bBZM41HWmc5P7+gH1aYpiuOIp2TNbgmtYTLZzTOHU2lkFhtuC6Rh0AxqFmDs8VbTBXJE5XqMp9LvEuLYipOL0X1KNXAjaZYlnSszIfl3EDMkX7j8ahANtG/YgoxkFhUZkurMGTcIYo3O0WBhmwMKEZOXb8YghjOPt71idtt/XpccwX2g5/766LU16DtPZ6j4Ojh+2bWWu0JU42usLoKQHySEnMf8fqoRgj5EsRUPTOEwH67gdPE9fU1pnVMMbJaDkwhcDzsU+ViVZg1p0sAhDUmV/WsLV+qzEABHsEYfJg4rrcwep5cP8G0DScJ/VCAHVR5zn395oaPWrFEx6KTytqmIkCxxnrP+u4eBzx9+gRjpecqBSxpkZTSV7c8pwbItSdEx6EAF2E4WaBp3tY4sr255fxsxfWTJ7mP8cx7UBBLXuMQNM+yhMbqVXvMs5CohZACQUSwmNRCYr/fc9psOFusWJ0tk4cghmzNMwLwHiolUean3qjMZHVcNajU3RBQqVZEVVqKhyxd0zSxWd/B6HnryVP6RY+PiDA3ogSGAgStKVETRiz6mmmqYDkrC3E+j9pKq6sdylmqFQHtYR1N5LDfc/vqOf5w5Nn1U1ar87RmwYsHwjGFgI9jTjmA1IpGBdMMtxtQr2Gddx6hWHaNABUJi3R67up9J2brq3oMQkiVhE2MHLcbjvsdq2HJ2dkVtmmZwpQBYq7iTgoLzHQVYkVzqkAV2k8Asnwm00KOBChrrM9ToKNW6rI7om6okhVTJW/bOI7TxP27r9jc3zI0Dddvv0Pbp77UMcqum+T9UYBlhX8gRrcChIsSmPmTKTQTfPE8GJJXYQw+30mf8TlKouZDqpSXZyeQF6SvrE6/cS7VCogwhRNEi3GOVduyWEg7qv2W4/6eZujohiWRs1TVXHbdInynLCkxau9cURxjRGObbXUmbFDLfVp87SWrwN3ImgCigGtyR+GJsSxmBsVB6i2UcGMFYoWf1gq6glsFxLroCtK9SX5G2w0s244wjYz7PeN2y+T2uL6n7waZe6hyfEUGV8yyNsjWtKk/zz3XJaKk9oTlv+pcqp+NPvMBwJYfMqATqknnXRRaH4O0vXPS6zntQgBGC6YbOO8XTIcjp9OR8bgltJaxaTHdsoSiYrExJkVJebm8U9uIFS9T4cN5/Chg1jtlfUALsmW9KfPdOU9Tuoyyl+U86RWCGH0sjD5F9VjraFcrOuu5u3tN3O44nI64fkknXtLEUiP4VOl7Ou1oiZyvUp0CY60Y1YXvG82jRugUnGuTPPZp0E3XEYHRq7GtVLZXsG1tMZCqQUY9/4oVrDEp+kCtAJAKt7kOfzwRxNqfz0QUupDFdM6lVnNxIhcaM2Tcpec9n3U5/Eb3RZe+4j1GeUTGpoksUm62fBfwJuBPJ8b9jv12gz+d6JqGxdUz+kVqtRlt6mIQkzZDY1K/9qi4UPN6K/kQqXlKMVrVhcSysqVRAJXybB6eJeFX+VkUBTtjnOp72S8u1fQTvyYbIaKeOzFW98MiG+KNa/AkZ4wWb9HIIGLMETu5Ds9snMJnVZHNBrxS3C57zk05e5OfGE8nDrsNp8OWME5Y4zhbXTIsFhjX5DVHcErKoXaz8PpEWpJzb0zpNFLRRlYsjUkHUgSI0meei/IHW5Tw3D2lkuMhFgyf9kBSKWfGEJPpMKI4jBIBArnCt5+mlD+NIXo/y9/OmKPuiKD7HucpnRlnRCCNSYmOIc+qx/hxrv/fQ8E/jnL866LUq3zjzQV8VIH+MA8rD5BbprrxT/8VDEynI4e7DS2W84vz7B3FGA6nMVlza0BUaQTFqyfgMd2u1mPOJKOB4+nIdr1mMA1X11cYZ5PHVpXSWkKb6vtG3lnncOgBA0wV3m8VuBFzNcvj/sBhv2NoGparFVgjSq3NZfuNEaua9zNw9AZzRxlz+Zk4+0r+JZIsg/vdjs3dPct+wdXVE6KxqfK4CggZsxYC0yWM+f1F1YvVmKL+JT7wL8dqDKEIs2k6sdlsmKaJq6sr+q6Xqt9FucmdnHLYRQXEKsatAtQYk4E5D+5XpJAZ7ez8yPMOhz3H+w2tc5xdX+KaLocgB8h9C/WZxuhcDZr/WlHabEYFKFaARq4cQle+Wo5vTJEV0SSL/mZ9w/r1KzrjuLx6QjsMePlO4xwemILHB1J+IKWKuJJ1IW9Zo1h5GVDlVASWVRqmCsFWQSjzEcGdCq4l67QKIBz404ndeo0FLi+u6RcrPIYxTHjvS36qKR6OokiZfK7qMUPFBx4sHTWPyBMmV/IudbfLXij4yuF2UYBs22KcYXO/4f7mFj9OPLm4ZLFM4bBeFUwjRjErTf+qEMiq4GpFhzVfEnAGpac75YO6LrHiFSaPPWb6zXnWSkCxnE99YOaPiLdQipA1JrVgizYBMOcaFm1HO42MxwPj8cD+cMtxt6VfrVguz2nbniDrG/PzYy7iYkVBMCaFLYYYcpX1YiBUcF4BXwFXs619ADpyNEQFoPN6Z/qN+bPF2PAA5GBm9FNeJ6BU5ELMa2exXZ9C6KcpKZi7I/v9kTAd8U7KBBkn5yEZ2urIiDzfvAbFsFl7s1XpycCTijVkgFeUlZpmVNkp9FbWKeh5RoxtskZWOVYITEAjikc6m4mmpxhxw8CybTjhOe53THe3hP5AMyxougFrU4RCUq6DyLiHObQxK9VqVFba1WiUSKWMZR5Vr1klVzR/UxcplhXR9ZqtEbHiAiWqKxKZIqmfd9uzPDvHe89pv2e/3+OGgUU/EPxIPBxwBC6GBYthgXGpGnVRG2I2DkcF1JID7GPikVbrL8TED0pYb2LYIYRcTEx/V9mb669Uyl3mYVX4ryftX/C+KiJW+GjiqfnU4GRMXgoz5Z7ytqxn9sLrzzLmGifrumvId81zydApFcY8TScOux3jdgPjSNO0nF9e03YDtm1APbUYkLzlFCESy1Zr+o+unxF6qbG1oYyxksMx31cjecWPYjUvlfnCo4rJKL1SQ/IVOeU6EhiMkqiM2Uu0hO5d2zSpLVVWxmI2bo2yd+oHzoWyqPBQViYlAqQA4FztPX2urj4TscbhI4QwMR5PHPZbDoc9YZporGVYruj6Aec6MVaXNbLWYl2KVlGa0qJ7ue1rRd/Zq17tQ5YBpuLd1X2l41oHAA2hrpj3I+0r5wqv7gR5vZQ+dL28eI2D1BtIId8ITy98R4lBt0HxjhqR0pk3Fb0YFU8idmIu3JnY3dyp8XGuT65YPyIIP9GI3vM1j72ofuWDA/eBY3j8iUV0v/c7Z/dj+UFVHd0/eAODfMixPf7W9E/8wO/XzEu9bR/q+TEybnd0xnKxOitKtQDS8TRWE9IDp8CaxKTkzSGvRBUSrEAGMMZy2O/YbNashgXnZ2dgbRJykZwzUQO0fGVpGfPfDEkoYCoQo8IxxgQN5CH36w2n3Z7L8xX9MMzAj6mYwdxjMb9qo4ICDAVgNXAqcCWFeYUY2Gw2+OPIol+yWC4JxpX+fdU6KqtSoadMRIW5IC/USp7kmc1AtEgqGYkw2WAjUwxMpxOH+w2da7i8uKLpOnyUMnHKOHWZ6x2QR+sWzICmeZPWTN57+b0+ILqeRhjiFNjc33E8HrhcnbMclkSnktVIMZli8ir0negt31dQlDc1z4ash1ZjrT1XSdhJ6GTuFy6GFttwOG55/eLbhN2Ry9U5w2qVrMYBXJPGM4XIJJ6bkmAo48zKx7yCLpEckaEgfnba5D8PZ09US20J/0ZpNwvTyGF9z7Q7sFguGc7OxUsd8NICCKMKGNV4qnBRU9O8ngGoPvDGnmcBSM22lL6qGIEM7mJ1ttLnXONSFMs0cvfuS473W1b9gsWTC6lUr69P1npnnOyXye97TDZk8Cb0XYfC6UpreJqGshVFqFQTtRjprZm8GcZIH2oBCg+jStC1qVh5rvyfFb5Eb85oKgPYtmfhWhb9knFKRZ52Nzfs7jc0w4IYJqIBKSWZlLM4W2UIJTWAGDEhJvBi6nC8B3xPeZrSrhYKQw2osYCjB/PTPbTWZjAmhyLz2gKyZ0SS6cnoHyq0oxTlQwrppbW0TUvTeeJ+iz+NjOzw0dB0Q6pSrIY8pQtjcju90mptDooLfVB4qqnWU0YT80/Vsj3Yd5PfHXOKh67fXL4JL9dXGZOL92TaNMno6o3sZ9vRxUDbDYzTxOnullPT0K3OcN0ANoFtBXw5siNqpE+ZSZFhZW6q7ATtB53PqXxGZX8ld7KImslQFWIBrM1wJpqAtlbX/U3eP3IBp2Adrh1Ydgvi6cDh/o6pvWdoOoaupxsWtF07A/+RRHsaeYYxSemOKb3AmKSMZO+zrL11JZRe1zunf2l+vZm3fauNLlDVhJH9I0acgcFZNjYCIXvPM/1kOZ5OWCAmZd4AE9ljXrN2/R1RfIKkHxTRYsh9CU2FpUwqnBd1D8YTx92W/WaNnyaGvmNxcZkMNE0jTgmTjc9WjRN5/DognVE9QF2jYgyfXYXIZmhPjSzKHLKXnYrOqv/O6U1lpVZ+reSM7lFIBbAgGcONtTjboGmA+kxDiiDQMONM/3kti7wqt0y9EtWYgKAFv0RGJmGb+Pp+x2G7Tn2ox4mu62mXZyn9yYlhQ2ncgHONtH9zggU1MqmSQRR5XRsTVbbpHFSezXFGIjZbrzFknpGjDTJuzYhpFoVoqv3UMHjFjKrghxjwk09GpNwyS51j6b0a1Wl0TlHXv+xWprGIRDPanCaquEpbbKpqoJpfTmd8BMt+2OuTK9YPeeYMCT7ymY9yzdHYB3xUlVrz8d/H/FB/nO+95/c/7NrMOWV942ON68NfEUJk1Q70QysMOs6EuXJqPQz1mDKIF+CleQzK+owhFYYQMLXdbDlstzy5uKRfDACSuwSaPwrp0NaRAzWj0sCl/JlK2dVLrYpamGt9t8YfJ55eP8E1trBcOdxJoJaw24cCc26JnHs28jrKQPW8J9lmGYnc3dxifeDi7JzT8SihMGSQPZufvlsnXr1/tvYwCzEqTL4qdJa/ksa6323ZrddcLM9ZLlLIXAjayEnWUlfZVDSgIEEVpuo+9XgVaFUK4htWyRDzVkdrOB6PbF7e4KLh7adPsU2bQ3JThVY/e0aZVGLK2XJsDNlrbVUhQO0wKicqgSzAPnsBKm93JYCCCew3d7x895s0wJOnz2jaPoENIo3kFh+9F0sxQjs2td9QGla60TxDo15P3UuTwhLzZyFqz1pViCqGkgqklRw/BHSHELHOpCquN3cYA1dPnmH7PsENyaNWmtDVsFJUCFsBQ10woyLoEY4Uq7ZV8tk6DI7wMDRM5mKrlnKyj1HAezDgnWG/XfPi28/pQuD66ophWOKNti0Rg4CzyZMTbS4KNecHqijXJy155ZwzRK80jNCoK4pftbY1YDSZXmKec/ZGhFDCp53LhWIeu/IzQABsUVQMpc5DmHzK/2waXDewmEZOhwOH+y2TPxKdYRz3tO0CsFX0c5R5q1Jd5tM0LqcART9KTnrhu/m/chZKL+3Ef/UNuRAX6pWhnJ+aXipAV39mFmL94OdcnJL6/KT0Gu0SGI3BtA1dc8E4nQjGEk4Tp+MdTdvRLZbQNGiKYZvXRfevisDI8odceM4kRlh64+pYIOUg20Jr6v1SetfPJb5eVsMYSrG1WJ5XK2xW1tzEEqKoRhCNnAjGMjlH2y/oe2inKfWIvr0lNo7+7JyuHxJsjknB9iZV3o8+Js9jIcZyDiPkjgOzfUofzJ73XExM5x3zhmt7nIrY89nPZssaAJdVBCR8VgxcxjpMGAnjgYWNLIaBYXWGa4ay/qJcGpPa2umeOlEORz9hjKNpu/yWUkldgL/3GfvU9VQ0RLguOofgBqVVlXmqgGq6krMW46FvO3yEUQxMOr7iQSwRZ4YUSWg0vDfGXD8mL7EQVU1rWqzO1EuJRooorzEppWpKheKO63vCONJ3PZdX17Rdj2naJEOVDjHgSvhsMn44Ku2kYJ7ZVWSJKv9KDOVsm/z9rDhprowuht6vFNhZlIxJmDEpvuTzoR0ySi555HQ8YoylaZpUm8GYDGMyf1IlzTm8sziT0gF0C9AWfikvK0cSzLFcuVciv+SuTSc9eM9uu2a3veO034H3NE3D4rwYNozmnpOiyFzTVJ0EEt+o5Xk2hupuCADSsP/4iDyqc7+Ls0H5cInQUP6TxPo8Vx3BW0GMBzklgAfpbNUapbPkGU9jSiOKlNoJhjwL/b+BHHFFRZ9U6618LM1D0lVtFXGGkfZ45D1JLGwe7fFxro+vWNe4tv794f363sP7H3Q99lnzHvdhvhiPjeOjXu/zrseuRz3dVU9fY8pn8ueMKlCPjV8Jmo81n49EHMIwGutoXJM8lybmMWbc+yBG4g2rTsH+QDqo2vs4mkTY6/s1p+2et548w3UpbyWHl+n7VHBJLuJsKspn5dTltkymjEdzJTwCzr3n9tVrWixPnjxNbaXEG6n5mFp0KfUqrMMABSzE+eI/9pk5Q0ss19gkzF9+6wWLfuD64grrTMpVj1VRnaJbFAGi7xJmWQNMBfH1eMr3Za+MWg0LeLp99ZrdZsvbb71FNwyyPz6/KQG8UqkzA8uKVhItlOriM0FXjV9/f+jhjzEmhhhS0aX9bs+rV68475dcX10T8Cn02zopUKaVMuZwXytng4AbmaupzlUt3IyACXygDtvDqCJUAKERQBNM8m68fvkumxfPuVpdcnn1FqMN+DDhjPTFDoHjyWdrMsLQ07O0Qq6CLz1L1cvkR+9D1k3Vi4IoEtmoIEDcI8qFT/nqmt/tnKVpHLv7O3a3t5yvzlk+fcpkLVOqTgYynocVnK1UgPcZEFfULELJWrVSlz2eVWLXha+UhmiEEz6QDTFoiz/1U0Vi9BkU3L54yc2rV6kw3PV1AjmVotJgMK4RJVKy7Gu+lAnRzMGE0IhzeLQZmgAAIABJREFUNlXHtQZJl5OrVJFW0JrWTaNbTPUc8lmoz4HVPfQhFbwz5b0KcoLQnZ4R5YXkNS3gwrQuGQAErFtrWbYdy4Vnt75ns73j8O63GFcXDOfnNG1HMA3OiHfWVJVcqzVyxkpP01SdOkxT8ijaOX8Dk+sZvHHOszezWgCYhfkqNQWpjF/PWY0LMx4n46x/z3xOCyQq34/JUOetYXINTdey7BacTkcO+z2b40tcN9Aul0nJiqqc+gzGNTtTp+C9T0Yb2f+g71WvoLw70wcVrxH+mAs35rOO2m8qni2AtJ6jKiEVXemeBWIK55ZDkCshG5hsA66nawd6f+S0W3N68YJpWGBXK1qJ0jLR0LVtSneaJHfYiczQ/OuqIn4Cs2VvZ1gme4PS3+pWX9aWKJhotB5BNh2g0Q26XikqJCZToXhZrYm00RP3a6b9Hcu+5+zqbVzbgXUEU2SVAZqmJUr7ncY1OOc4jidChKbrwLisFNeyKfiQ8YQTr3XOqzYm51HrPWNM9m4rjdrqM0b2Xw2kgciE/ByQmiEmy9jUzzqtjfIIPTPGWNq2zdWQQ0zF0GK2pZd9sq4YuXQvrBa/lDoFxntOmx3b+9cc9/8fc++55ciRrAl+5h4CASBFVVH03Pd/qN1z9uzM3unbbJIlMhMyhLvNDxPugUySxWr2zKKblZlAIMKFudln+oS+22D/+B7tbguERtNs5UzGEKVNXiAsjnXk88xJKFgxh/3PDAoeQaBzqYuPEcKqaFhdxb/wSfjYwezPsHNSjO1yx0XrXQj9Bn+mmaumaQIzo2lbtDEKD6gLj0GMFzFGWXe2IlsRXWwwZoYVSNFjqnimEm3KK8zh4ak3tVGCGSlZlMCLRApwRtf22N4/ou16UbyNHiD8JsYGvRbky+psqJVewweOW63+TIjKe4sRp66gXhtziEwZLdE8bgi3fWTFEbTuM+58ocKntqahvlaJNaeENC9SvLDidYth/8IUnYVmxT3CR80TD8e7VNM8Kd1QVdhO1yW6fC98yLuG/Au6459TrOmPL/n/zetfUai/5R4qUISoVYt8dbPXC+gbar8XEfoNA/6D8dVDeePFUAEZCMiFKQGFiUIVVet7bNOqPYmmUEpRe66Uu4zj8xFYEn747nuENrrSV4MHYwoOunRwFsln+oiAqgJWCMWazoC0IAlAnhdcnw7Y7fa4v3+QyVT3kj6LyugqpbUGQ7dKte2ZVVvNmV04OgQlGeN4ueD0csC73R77/T1mTs4MYiOrVIP0grwqxQtwD5irLzY2G6cJl1rZrsY7LhNevjyBMuM//uM/FBBkF2r+k0TFMWHl+Vw3BgRwEdr1c28VDN9DMiujVWsUIHh4ecH5cML3d48Y9nsPR5cerUs5IxUgNSbICoZNgPkaKNEE1qrH1YqIp6u0BjHPufX7rT1sTIzLdMGnn38Bzhf88P5HtNsd5pBBmbEJjbQiyQlLEqRDVT6PWLIrvmDKJWweHlAlpyUVb5D9ax5E2w9ba1bl1QRq1vMWApCWGafDC6bLiMd3H9Dd7TED4JQEuOZisPLqpKKpwa27sJApKmG4VAkeEOoaAA6OKuWQ5AECCEJRnX1/lJoJ0AJbQheJgHm64uXTF6TrhP/24Qds9ztkT0+R4cYQtZ92odeVwQesreB08ASzJ4BQgEVQcBtUYZThmRWbioEgFK+LK8Bs/CAoyETV41u9AJndiMQQ4EtcFEZr5QOlb+8vq/sSAKRU1p8CoQkdAmcgzUghoNnv0HFGEyOWZcb48VdMXY92u0PoB3CIaHXepDyD/bzKGpWoHZZK3KkqJKSANyqgQ6h4EQBrS+SdCCrl0dZOQDM0TBdCbyjKt0cJ3fCboqByxefVw5Sznjkzy5DU6gCwhIA4bLHvB8zjiGXUPOSuRdhsAQ0DhhZSLHJ7PQbjCaH+6WjOrq2QdT32m3MRQpW6c7MX9nvN+2sDiK2nDsJ5CAthIARRFLL1lm179PcN+s2M6/WM69Nn5M0GYbuTvPy0ABTQtI2cU41cABWPtfMBVfpEXleiCsI7U5YQzmDjUWULqOW5yXR2liP6Y+E1xv8JGU0gtJnRA5iPL+iaBo8P79BuNqCmkQJgKFESTWz0nupZjhGJM6Z5QmgatNYCKtfeN+WB6jWtq1BbMUf3tHLxWpu8My+c5WRLNEV2A5ErZiYVg0QSUU5gawoYSIxlvs+V0VyFXmbxpBd6K2fLMICRo5GxycJAEcuyiBFxWTCOF1wOL5jOZ/Rti+/efY922AKx1cKzxr80lJ6sM0rBA7KvRRbXXVtElJDjMnuJITNWzgF4TRtAIwdqRdnkusE84y3VqxjUoZikFFot/IQxLyNyymjaRvqmay2AEAKSCQV9doykSiT7GlCMUl1aMUmZU3ZjW6TSy1wqjWvkIxGshRjnjLQsuI4XnI8HTOcTkBa0TYPdsEPTD2qEjQCy5y+HpkHTtKJQM2NJqWCJyrCgEy/zCXUVcl2zmla5zKZUMrczyq5gW465bYZFMMi5KO3BalyTK4XfsDK4RH+kZUayVqkVBrX6IwmMaNLJsFPFD712B5kjjr2SeAioIh7UmOB8ybBAMcKTEg3z23T2Z15/rFjTV37+ryiyt8/4K5Tif+PrTc80l8/+aMneut/ve5ffVsr/5EN+90VQ5TCYuC9PJAICE5o2IqWMheuwVr29W37glXcDyG+SU8Lh8IKGCA8Pj+J18kNtYSd6LwPlVK1K0fELCLWRv7E00q6KMV6vOD4/Y+gH3N8/Ims7FzAjRnLmagfdhEetpNZeFXmLVj+5GodbCyH3uxxPWKYRD3f32Gw2WARVKrteG1UqLamAVV9n8rHcClNaFQrRuzlflV8ulwtOhwOGtsX9w6MCmKLglKiKYpwwoezKpvLU2huBG6Ua1T10VVYA05kwAeM44vRyBGXGh3fv0fUboQm7Tq2x9R6bNdwEooEe3IyhBvb1s43O6orB5fa2K4wcCCnNOD+/4PnjJ7SxxeP3f0PT9Vh4kbzaKFb0eUkS1kcB1r6knrOMrSig8H+raAtVbupwUhu8CLhchBbDwa/RshuCIIac8+GAvmvx3Y8/ILS99KbOCUHHFbQ1ki0vK/j1TWdePZ+gSvSNwuDrZ8Cnpg3YXsp1XAlf30v9o6GARtduyQlPhxdMhxM2scX777+XNnhyF40wCRq+V4EYpQH7u/aMOIL3kHqhATbgUN/DFBv9nlXHdyVU190iXcy7aKCs4kwwj4+fV5QlzqZom2Jbsfm1UJdnl77PotggENqmA6eI0GSEZQLHgGa7QxcC5usV83TF9PwEbo8ImwHUD2ibFlVzJd9Ln4uByxABzYezfre3VVftCIFRetkbyKZ1GHA9p4RiTKlfdQXmmp7srPvZoXKayrnXz1iMcolt/wQoxWFAvxmQxgum8YL5eACaFqHvEWMjhlgib9PFWNMBAPeuUUUnluO38j6/AcoKz4Rf51ThB7HQks9/RQlQ2cTiLTJDkzBajYxQg5HWLJEq6gGbphTAm56fkdsW/bBD7Howk+ZaR0DPhfUSL8trCvYq3V0fndd74jxCVrLmAWJkKcYX87Qb+UdISzKkBWGZsFxH7NsW3bBFu+ml0j/IjjNAQITlUAq3stDsOSVwIDRdL95irfQtdQKE1lcRHBWOAa9Ds21OxajCvl3+bD07phCu+A8BIQOhbUTKqJLsFfi1ngIpj1GE7wq1K/AUILoDq4e90OkaT9ia2xwyrpcTzqcjpusVkQjv3r9H1w3q+bfICni7SVsTM6SY4dG5v+3rbV0Go9PqKIisDl5J3hTyIsdsmSqecCtHdR/caEEmVypDhGIvOSJ51R6r34in13CJRQwVfFGUzWBYoTqXHMTrmVMGR6Olar2NfgirtAHvzLHMGLXS+jhewDmhjY2kM7QbhKaFV5EJhBhaADLf2IpZNKsBzB1ZimcAAnn4AhyLOh40fmXrrpLdeH/9MoO0RVqYMdP2okQMqGGIa4NL4QeGo+t1tQrfxUhU9bw2+XNDy46c3pDR9p7IrFD2i294MVcilhXpEXxNjB4A8kK53/r69lDw6rDcvPX6g695/49eX3O/17Ls3/L6LSW4CJXX79U/7RDeKtT1Z4VH0IrozYrod6TyPAZerwG98d4bIweAxfvbKUBkA/VAGwN2262U/08L0pJL+xYU4Wj3iyyebSZgvlxxPV6w3XTYbrfCXGHhF/W87aBU8/+9IZtgrbmiTpcz43w5IacZ/bDBphtEqVZtKwRtRg/WXpVFEHlPZAfgvPobgCvkgFgDExlUlHGkecHleAQycH9/j6YVxUCUEDvstGI+K+D9hrIof1ZC3QF72eCa6ZhyejocsYwT7nd3GIYB9vgVEAQc5FkxClur5GBvfW/Ys+qfr8ao66VPyCQhPuPxhOvhiKHrsX/3ICFmpVtuEdIVc/UsQNLWSQb6uBKAJiSVLop3hEsFZ9BqxRS/+L0zEU7jGS+fPwLHixRRu7tHDhL21qpXd8lZgBsI1ieXVeERAF6YpAmMFUDQtSLUDmFyg5MR+eo7VPZFtRmfZ1pGnI9H8JJwf3ePzX6nFcyzGrpkMBZeJUtUKcsG2EnGFWraMgXCHluBGJtjKc5WwHjhUYXXmT0nAAiZpa3U3Q4ZM8bzCZ9/+glzyrjb77Hf7WU9DdsoaDbFzUBH4R6FfoiwPh+61uLd4uqICQ3UFn0H7RbZogDA5lwauhQeYV8sbUDYc/uouprLg5UMbL2M/xYjhwCDW2ZIAGlYKWtxNw1nzJSQArCgQdjssNkM6JYJ43jFcjrhej5h7nu0/RbU9QLSQfAuCnZubJ9DQMyAbb7VwYiNprBQbXi0JTJaEm8gKv5uANoVapsvzKNbaKsGUwBWXhFe7XEpsOe8p0q9KPRAmAmgzQZ916GdZ6RpxHw6YSYC+k5CxWMLZqwMOc4dq72BkYfJsEqDWGEEIs3lK3zbBkzVNfblOgKoNtrUsoB8r+zrAiiztot0xSgEBC71CkIIGNoW3TxhGUfMhyPGcAQNAzbDFk1s3bgghic45bvXfkWK5NcApWVNORlwJZF8mgqeKxmG6pqIjDyegemCBoxhu0HX9UDTgoPQOSlOqVsrWeRZhoRYMxFIc2elY54or6IDl7l59W8uOdO1km2eNOu4YO+Vc2u8aY0ZZAtqI7QuQIiI1HhBM7mnVotggEiMAlkVMavPEVdhreTPz879eCWH5ZGMnBdMlzPG8xHLOCLGiLvdPTbDgNCIssZVYb8Y6oraFQ/HW4VoyedN9r7xAF2j1RoodZZ2TyYbsa5R4EfJnsN+/uws3hrU5T2JFig96TXiS+mgvpaVXkGWsgM/e4Z/Ye8FkbVt0yHMYzmX5jHVvHWLtZCbCt4BM5ZZKq0vlxOW8YqcEvquR7Pdo+k6BIrqpZYK/tAxN02jueFZa9uINz5YdEwlW9lpFL5m9nJ8VNGFvV9HC8EUV93zUmcJlUJuegF5mgzrZ3o1CqLV2BMtRmats5xGjFRQPNarc6V/l0oeldfaMQm9OneGtew7EhXq1KrkXKfAFecRkRbavDUU/YnXX9duq/DGv+5le2OvP3PvWyzyreO6HcNf8PotxXz9mRDurXe8/tevq97lerxU/fzdOcg9EnPpAUOAtAdS0EUECtKrsGkjklWTTYxlmbFYzpERqTKs6+WC8XjB3W6HftiI98OZM1T5M9Dl56UwuVeKZTUxnRcRUBnqkJJ4iokY93d3GM+jttbQG6OEt4gVuF6ocjhvPdS2UmUsGt5jDBgAQsA0XXF+fsGm7bB/EMUg5yzVSKtCD6zA9LZnHlf3r63AtUWvrHX5zJBCVmCZlhnPnz4jxoj7+we0fQ/WAh4u5thCv6sVcHnhGwGjR8FFBeTVHpVbz/7KKMCs4awJp5dnLOOMh7t7DMNWqtuu5qdAsQLGIHIhGDVku46IMMu1Y96KRGwobtBiCw82WtVQ0hAwE2M8POH50ye0RHj88AGx79VinzXvDphSVu96cEBg885ZhLArGXaOuRZt1Z4pSGEVTKW4hr6qwtymb1M2QUmgSLicThhPJ3Rth927B8SulV7k2kaEfKmoAmZGbNX4GQWAZFaDAxVA6cLH3qsmBPt7/b40PdIzbuCDCYEzdsOA5n6H4+WIpy8fEa8L7t79DQ/v7xD7FlzRF0WSiq0mVAFfM+hOrr0mtu6rRZfxudCHf27bVdOKhYfVX/f+z0psDJQ+tjCPhayp98/Uwm5rY13hZ6tzjnIW2IasIyy8UdfWDi8JPxHvbARF8TxmJoB69E2HLiWkecRylVaD3PWIww5tt0EXokczMKkxDUoDEH4CACGw3FdbEFqIuFOR7pelqbg3AaiIt04/KEXSMlDqetzIq1eGTRjbrVJZarCp9CtrWPL6wAwOAMcoeaN9hzhPSOOM6TJhvkxA34E3PRAiemoUYLOzQ/u58uageHfdKGa0dHPufV18OWr+UXgnoSoNt1Kq9XOlUwfybKSgKQZqtDJFkQKBU0aGtCnrtIVbHkeMpxOulzO67YAw7BFIqqhTEF6TmJHTAgKVMFLdZzuH9GqSBsBrnlxksLS1CVoIitEGRhrPmC9ndDlh6Ht0mw2aVnmZ0qZFMJjXMoao+aaWehZcoc65ioZTOW+Fskx+s9MJw/p/18Z0P7O5qLAroYkKI1SA3lsfouAiq67eUUDgBYQEYlOkdXmyFJXzMHQvLEdlv5m90nEAtDbEOrKFU8J4PeN0eMIyXtE1Pe52D+g3A0Kn/Y+5ql6u7RxXUTekXlGfVaXUQyMQqpTB2sh2q+zY94weasN+7fG2NefqGrY91LNmEUb1i5GxLAnLInTaNo3vp3S4yXDlT9/jin5dLhrcqXCqhHJHIDSwuj5eOZx0HXWFzECYkMSgeT5jvByxXK+IDHRti364A7UbcAwaXSlrEEJA03QIJLniUiBM08kst5xLFwnHaSgpkkqGpZBaNRc7qL7G2QwWgrkKlakMJ9LIrJv72FbeyNuSDiPnPmWt2ZFTMSRhvf+2eza8+meNNaiiv2x/h4IPTDBWsGqtHZFRm48WlppCyg9I6YhzwnS94ltf/3rxsq99/698/SvPsO/y2x8746LfvuZ/y6tSqlENhW4HduPNIBRQd/NBdZNCbrVGlaqQGPvIbkWFLhWoALFtQS2Qc4MlJyzTjHlJWAhIAbhczogh4uHuHm3XquIp1nBjPtK+Q2dG68NVAykyIOEnz/4zhUQGucwTzocT+qbDbjeAQsCVr840ymIQlsUUN14959ZbbUClCJwilCW0SQotURNwejni9PSE94/v0G8HX0MLDTLPBfv/1lZtB6c3yvZqRysg68JfwXZWUDleLvjy60c87Pe4e7gHW5Ek5ziygEGvL9h9HdJFKLk1bykBqL5n4LkwOp0LMVIA0jzh+PELmtDg3YcPng4QY0QDwpKyFsowHKtESwTrH9xoGBcpQLECSHXF4KIYsW+tGwBcaLMgRj0LmSTX/fPHX5Cez3i/vcP2/g4pSuX4wFLkasmMJWkOUH2ouMzZ6VQ5u4VFZRWORvv+NZ2vpTgIPZOPG6txy1MTiQAJgfH86SOWccTj/Tv02x04kPbCFMuwKYI1cLfhFYMEr54TyFpG1ZPT+cGUvopmq/UoZ8i+UnmHAYSc0RDh3ftH8NDiv/75E15++hntNOH+3Qfs371DboMrCfZfjM1N+Dp8L98U1E7n67WssYFXFi0E+8qA4J46KSmq98gFiOg1Sb0KDs71Yf4Mx97r+99WTS5hdFjTj11nYMdGbDlwlo8IQtM0SDnJeQxRQE2QKrLbzQbLNOI6XjF9+Yi5iUj7B/SbLRCi7zHZve1sk9BSgBZrYkkvMFAWUBWp0uV3vkBKTMRgFzNl77zNnFCQKsyF58cYkLyNUAXCdb+suJGdM/b7FCAWlGdbtdpFxxX7DULo0PWyLuN4xnQ9o9304M0OOUqhMwlRLjyFAVEIUM5VoTU4XxUAmyuli/xcWBXqSiLXFLwu9GO0hhJdwXLAyxlAKfhp3bDNsMaqTBAk5Dgzg7qALnbocsJ4veD6/IJ0OqDf3aPb7hE0w7EJEL6SpQ6JK2LKb3Nah+Pavq3kKUPTSeykBSATmkDIyxnTyxMwz9gPGwzDvYR8R1U6tNpxIEKjufzMjLbtJN80J4QgPXxNWQSwKkxp/MCVDpKijyajreWWey3NgLDKx1b6y3L+RTnTgmf6Hc+trfKzmcsuhhDQRZHHwelYDMZgxjzPgP1tcyfzupHfr15XIi2ERgTKWcKNj8+YzifE2OLh7hHDsAeaxibrrbzI6bLISQ93V3ovlZ2Dz0PkT8lHr3HTLY6qI5wY8DBjV3RX50L+NQNIjJWyBi6V40mN2Cw0KevG6LpO0lgUH4BtfBU/rzCDjG+d/+v8CkKzVrQykMgvJKudYh5iaLluIGHBvIw4n064HI9YrmdEIgzdgK4fQF0nhqtAyFaAKwS0bUSMDQKC8tUbXOgGezUWRat1IkNddwxY4zQ/iyiv0kFG+ShMuMJxgH2hyB74d3zeFQ06nXPGNM/eyswQr8nvggckranwuSKcLZ0rKO8yOmRIEbiCRWujTIWpnO7I17LQYeUUE8kFMGNJM8brCcs4gZeS8vpnX3+dxxoV7QOvpcQffZHe+B037//W9bfXvhpU9Tm/cU31eZ0n9ur7/5tfhdjLe1zFY75tACiqd83K7FpeTaz+PpXKy1zeE+LNwkAJXplYblGEUtc0aJsWXQauacJP//UP0JLw7ocf0bStWK7YwAQhNB1iDJ47JNa5ap7VnMxrJMMTBdw/1l9CEzBPE15eXrDfbLEbdrBu2taSR6xTwRWxtyyqt8zIfq4ERAWsUvYGVTg+PeN6OONv3/2A0LfueTRBAS4HvGYGeuMVx7n11BtIv33fvhcCeaj5+XjA8cszvv/wHsNuJ3ndbJSQy5pZvqTdCvDiaP4sXTzZgUJsDhZvxv3KW60eqOlywcdPH/G42eHx8Z2kCUCMM+L90jEF8bSt9kbH7pbLgsxuKmXDre4CPLIaP5TufemqYjIKXlK64tM/f0KeZvztu//AZjNgIvH6xCAV4+eUi1KtgtgKsRiAZxgwMxBX9iyqMMjavsaOGSu4qygFrnRVNGihxSnJ46/XM44/f0RHER9++Bti1xd6zFbZVKtkK83VII+t8E8uVb4NoPs6JUbTNsh1NU2YMafwAeMlrjBWCoZVFWUwIjP6YYOH94+4TiP++//1f+P89IJ3j49o93dITYPYRmkDo2sRg4B7ztrTNd9IZ6VeKyJjC1grt3LuavBfWgJmA8k2B1NIAK/GXY5bQECZj5sXCFrQsVSALp5/qwZfgVdX+LMUxNELXHzKRxVYgXvXnC70g9roZ8XgiqEpIAaSENqcAerAOaHpG9x1G/Ay4Xo64vrxI8a+Rdzt0A5bNNQhgsBQYrMaAX685XlNbJByRkoJCRlNEz2FYAXWTZELCmhyqSpflINQgNmNQrlYgaCKv4inLjsZeLsV99SkkmIR1ICUZX/N2wYGOASgCWCWFkztZsAynnE6HXA6ntDsdojDAIodOARQZm8Hw1qaW9oy17ITAJUiX2VfC98kwM+VFReKVZXeddRC4cv1vezlIZkAYPWeOHtl58AaSk8ZmSJClH7vKScsUda72e+xHzaYr2ecvnzG+fCC3f0DNsMOWVMGmqaOVsteWdgMmkSFBmvlyo0zGVWxoAzkhPF0BC4nbLoGD999hxDFQ81Cdp433sSm8FQNk53mGZkZbduDQvBq3Z4fDBRFibmq4M1giQ8XvlwrMaaYZGlHaHmyUIVaaEyLMyluIX1P7p1c6bbn21ZlFuN6iA3mPCNltWVxSQcyxch6b9tJCmpQsJcZlIiET2HKSKNgoMvxgBiA+7sH9Ls9KHbC67QTSuZyLj0E2GVwcG/5LZ250cbmUymnVkXdxliqoRc+ZYXQjK+tW4JykfckReSEt1hxuFJsEiS8MKckVdIJaNsWsRGF2s4XlO4JWgzVMFllAIXx0pux+znUM00hookt2hDhyUdUGc/AWMYR1+sJ58MzxssFEcB22KLvt2jaTgqSRSlyqSYM6VPdSgpGSklqGLEaxJrKwUZqKNAzbV1BlGqr4mI2Z9tjoXFrwWY8RGT+jaOk4kV8cx+ba8G0tZw3Hi8RA8s863mz9AkNvDP+zvBxRA/JVjIwnGf74M939Onz9LOA4qDy63U+zBJxE3wOagxkKeoHZuQ043o54zJewMuMJjRotR3ft7z+ZcWab9+gNz6g24u+4VXf49VD/+T3v+Xz/6OvtwZnIXfAWo2211vv3b6qa6iE/xVBaLkbxVvp1imUv0VdE+vbeRrx6z9/Bl9G/PDDj6C2xaKCJYLcs7BME2YSZhxCQKegyULKAZRn6suYHVVjYA1VvZ7OOJ2OuN/vMfQDMqrCRARQLEL21hv9W3+bV9oYu13jwFH5cVoSDs/PQEr44fvvQa1UIrWwnWIcEeXaQmPdf6GIiO1aFOFm41gJwdUWipBZWLxHx5cDlnHE9999h24zYMlZQXsue6b/ciVcayXFtxoKygykVKCWmUso1Q1D8xESY84J1+cjpsMJP757j81+J2HfCgpyWrRtSEAgKcZSPzu7x0zWzYpLlN7lde5lgNXScCZBppRixTdknATmBefjC45Pn7Fpenz3t/+G2HaYkREgSl0KhGtavAWIKWCBCEktsragle//tTCyQSgosBBEExoeYgxW3VHO4JpAJGfu+PKE8XDC/e4ed/f3SCFgzkmLtshEm2h7W3bWtjpnqa8DWLVS/b0ChHD6QKGPimaCJz4XD3z5u3jQTNltA2G/3YM2Df7xy0/49I+fERLhx+9+RLvb4Xo9m4T08EcDNg4gq/Nb1r1ab7hcdiWUVxcrXRlv00rgtsS2f8VjH1b7JwpF8vDJVXXhGtgrMK89NbWnEkQmloetAAAgAElEQVRotLp68QhX6+ZHsvAkA+iFB1TRFxDlKhi9wfGpf4ZIyEGVwpRBaMGhxaYd0M5XLNcz5pcXzKcz8rBDt9kK+AoQI0zZbknHQLl3aARAJYuSCBEhlD1hEKL+npWWCSWsWOQZF6ONKb5QRYxMWulZMVqD7BHsu7AIBziwljWTe3mxSlTdCaoUkkwEblog3uF+2GI+XzBdL5inZ6SuBfoBTWi9Gn0w1u5GglpO6Lhsf1dkKANb721lMKn58s33y1FjQwE6X/Je1/aJAW5yuSUGh5TMG0gIkL62CxiBWrS7ezz0Wynw9vSEfDyh2W0R+wEhNrKXUTzfKaXSSUMp3JoiOA2WrYIp+ZES0uWMeTqjIcL9u0d0m43UCWALaxUDRIzBc0dDEC92zhnjvCDEBp32iHeDhdNP5X0EvHKzjYNiaSmJOrfalC+slUOT/UUJl/NYFOiKxvT5ZGNQw6VV3QcRluwlERXoF4+08Ryjb6rwgLV5swXOOWO6iof6ejwDRLi7f0A/DKLMBXJjRqAS2UEE5a1UtHpUoeErbCSfNTE6TcvYyjVm4CtFFmteBa+2Lkoj/PtG1a5UB0AcAOStyKI+11JI8pK1OreEVkv7PCNDIcBV1AKKEcBxSnXWoBFI3h5Lo31gMpwImQOYGoCBNM9akCyDOGNZFszzFfPljDzNIGbsNlv0wxZNt3E5FPRZoYmITYvYtMJb2dpbGvJhAMk90jUvt7/rSJ3agUOk/L5af+u2Abb8bL2+KuBZ+MMa69rYfXmrFAfHVjlh1oJkUh0dq1o+9bVWz6OOWCi1SGpjnM7V6pxUZ7PuDGI/vXe7rqFSlUaRVGlCduo4Y5lnzOOorW/F8NMNW7RNh6Zp8a2vv9RjvXr9kU4HrIDum3//Fc95SyJ9zfe+5ppvGe+feiklfNVYjQp/++LbkBt7gr1SZaWUCw3EFEK1Rxg2YDCYCAuAw/GIXz9+xJYiPrz/AMRSxRYMDL0Q6pIzrNFEzsKUQpBQzyZKFcSUilJpQs09DDoLEJBywvl0Bo8L3t8/oO2KpzgEEZ5mfasByWpduKo6a0qDMlQHr+ynsjAYAPN4xfHlgBgi7h4fEVTIW489U8SY4HmHRRkgF8IGoA1wuZWby24Vj5r8ZWuPQBivV5yeX9Ai4Lv3HxCaKP2KwZ7u67ZlWtNIAb9lPYjKG8X6hzXBrAC+ySdVsANhHK84HF/Q5IDvf/wR1DZIbGFm0F6ceT0eBxXO/uRtBwMFOAs5KEgPxeppa+tzMZHDxcPIxFjmKw7PXzBfRzzu3uHu/gEZwILFvV8pZ4yJPaeZdDCcM7KGGaKQOEq6mX7gAg++xtIeqNCGyQED9wSoV8OMCDp/MMbzCS/PnxEy4/3jOzSbDSawCEgDDqGiGS4+aJnSa8H1ig5szDoYo0NX0rmiaSMDZxGF7qFPpszo+x7DfsA0jvjn//g7xuMJu26L7f4eoWvEa2g3txBT3a/63kXEl9C1VeSO0Q0VoFh7TagqJua7pAK/7sNtNGzhrmbUEK9kALRtWUOxsntUaS3+XLx6kSAsGNBmaIS57rGFJa7Oo42/rBLKkwxM6RhYClXZXmSyNH1yIweRhHyzFiNrugFt06NfJszTFcvpiPF8BvU92r4H2g4UG1GYtaqvrROUt1EIXpiRAeRFjWTm0fTVVcOYKxZK4LZfhiLrnL9suZxlQYnIz70pCwIW2cFjuTgg8I2yVfFX1jxGoR8F0tQg7vbYbjbIo6zLNL5gblug3wBNpx4Z2CEpCiRJagCc3xmR5IqcilHSDpL9Wn6Be5BWXmvnHQQ3KAAg7XZgIddrQipKGbPMOWUZZxNbRIJUgQcDTYu+adF3A+bxgul4QL6cEPsB3TAgBOkFHZoGBMayJFUONb3Il53cIAkAAQswjZinCyIzHrZbdJvBz1lAybkvHkXziosSkZLUK2ljFfZN9ZkzgyVKBAngii/JQMpJquhk1Yva1trPvuKZyuDt+2Z0bXIfRZm4lZ+kEVB5yivj6spgCLhBCUorwovJ9zLnjHE843I8YrqctGbFFpvdHqHrJcy4up5IMV4wYyG8iJjRl6d91XQDeEFXofGqlFQ1Zp+DK2Zr0c6e2x6qdbOVq+jFzkV1Xwa70djqhjSxQdM0IjtrOYqypTa31Rh1XzSWy+kGYG+75q0BDWcxEIgRI0rv4zSDAczXC8ZxRJomEBh912Gz2YLaDiAdHxVDYmw6LTgpRqTMpbCqjng1d5uQePyL4Qg6DxOR9X6UlZXfi7GpeKHF8Bz8y+wyLBRaM+y9Gg9X7xMWLbBXd0wQo1go0XzV/uZcyVpZfI9GdX4J8qwDmy1bpJrOx+otkPHCAI1WKnJXIiBJ58Mu8+ZpwjhdkaYJyNKism16NF0v7boI3tv8W15/TrEu0hxlK+sP6vdvEYW8HyrQts4Fvrnewdkbr9tH/M78rUKlwbHfu9bv9QYYejW2r3l9zb3+4AZ2MNbv3A6DXj1n5TkzEOrfK94T20phQLm6AtZ2V68RJmOoQLCEhr+A8PnpCc/Pz7hrO+x3e3x+ekYgQiRI+xMChr4HgrQnSilhSQmLhmEyA/Oi+RgkeVTW41rOWUAxc8qJW6YJ59MJkQLuHh8k3MWEMkFATwh6vRzPvGKk8ipeEygoU88dkRe8WBOd5N0eDwfMpzN2WlEVZAJQPZImzfS+cKa33i63EBpAqgWpXeQ9sisFXL91fH7B9XzBtt9gd7eHt2Dh9a77Pr4luAwAMPu5lLzmvKKVeikMQBiYJUX3mTOm4wnT6Yzdpsd2fyd5nkTuhczZGKT2sSXCUmaoZHYrmas8Uh0Imdapn1ciwL/mkJ4AjoQUGIenFxw+f0RHAe8fP6DtNyLkKGs4phhtTOExevdns92SvA2VgJ3CuG5ZWHaDRTk/tpdyRi1vCw5O5QwyIhJOh2dEnND3HYb7O1DTIJEUhPPzTl7rzDb3DRKsFYD1WbBDX/aZ1qL+hs9YHjY5Dyo3DpnRhYDtwx1yQ/j46ROeP35Cw4z3D+/R9FsBf05LsgrkM2BEH+NqAtVjqOzHG6Kn5nWyBrxaA/cYVuMGTJlJvjcBYulvmwZTXiS8Gigtt26eY2vhyo/xsuoZkjJXUJEp5aspOPbQe1QGA4AkBJlkhNJtQb4UzOphe+NzJ4A1vE49yhEBOWUpehglLLHtB8zziGUaMY8X5KZBGLboN1sQSbsgiYSx51T8JAT1WFjHBQFyJWS48BffQ+WVMZDnsdcmRadFnb+A3QIYPfdQ2yitImwMmhkAW9G7rot+LmQkCoD1mkZsEIcGsd+gm66YpgnL6YwlXtH0HZquF6r1UF3zKGrElBauE96tZ71WBOUbLltrnmeRQSvSJjMwVXRGUveEqlULRtJBFrsY1u1m5AbMJS1a/yFIZAHr/nYt2qZBswyY5wumywnn6wVxs0UYtqAY0WmqAIjEAKn8LapSTIFAecEyXZHHM3oi7LQwWYgNmCQ6JGdGDDdRY1rHhGHFvQihaYXWPQXiVkYUXlSUbLmuzuWHVgoubKuimxtlwjxphV4rEtLv1EoQKsXecQEkimVKM0JskZheRQnaeQfd7BcXWp1TwnQ943w8II1XRBCGTY/NsEPT9OLQoDVyFMVYOLkVo6rpzPK5DSdUrEjGXfHUW0N8bbisL/S0HD+bfmcUw1G1f64b3CjoABb1hsageciteiErKGQe2drLbjgoxOj7LPK1ipThosjKYpn5ln3d/T/17nOaMZ+PuI4j0jIjUEDfb9B1GzRdp4p5gBnppChZ4zzQFGqD1Pbygq0k65ey9LGWomDk486ZvXClG9xQzp5MQ2S/pWbnFUVQRVjlZ224cXr392Utsxk3WIwsWY1q9h2TdOYMKLyrRMwZ10PF8txAbvLEcFJlyIHjFZMhlQxAOYdWy8Z4cYD0Dk/jhGm8Yl4kVD3GBu1mQNu2wotsT4L0Df/W15/6pgn+4kmiN6767fdr4fb79/g3vP7sY/6V6/mNz26nenvN7976twbz9ev32/eoXpkl36FiaAJTMsyHUviYCMNEAR9//YzL8wHvdjt0m0a8xJ5rWMZq+XXUW16D5DCN84xlSdJSgCUkfVnmytqsyoEpjATMlwmnlwP6YYNhM2guBvu1piynRUJ6Yu01qSzOt8Vh6iq3psSyJLX43ylnPH96Qp5nPN4/oOukenEG3LptQPHVPpjArMCxn4d6LBWAtDmZcM/6e8oJh8+fwdcFH94/gnrNTcuVZR6ohJoPwj9n/bwOR7XAytW4nbFpiCap8qfeCKYApoCUZ3z5/BFxZjzeP6DZ9ALYg1KSFlCTtazyZ7DmCx7eWQHNeu8cRKvWxdlEodGuFDTxyqcQJXBJM758+gXj8wF32x12d/eS8wTxtEStLivVLHWtzILthUJInWkGhgk3y1WAhq2X7QeXlbfdNksyodBjUsMMB8ZyPWE6vqChDvfvv/N9ziTjdGs3+Y7W5OXOwEIC5Aq1eR8EfBowMU9R+Y4YpdY9t+X/xTPowBIZITO2wxabuy0O5xf8/J8/gS8TtsMOm93O+3VClcIQ647G7EBibRqCe/r9fRXmDn79zJYveV2KleyRtZI8dBXKFaBfUsIyT0WhV7rMOXkv11DRpSlOBtzkaxXj9/MM9X6YwYPrj+HW9Qr/2P6wARUyNFY8S66bOk2xkavLbd8fXehc8QWKFlKofL9t0bQNwqZHnmZJ3Xk+IJ1OaLZbNJstYuz8+ezPpVIbM4iiFTS/O2XLlYzVua/GBQbzOhLCaOI2asgAZaHoipdZC7lqrUobnPK9W0VpFclUnd/M4iEOTQTFLTabDdIyY7pesRzPSOGCOAyI/QZEUQ0O8vVAXFoZMbQtDzzX0Z7lMzMZxeWaOifb1s34RcXk3RBqbwflr7ZuTpeSYKtKO3lrLcpavT+UGDU2udoJPbTLAB4njOdRckg3G4TNFtRGqC4BUPQw2QgGzSPS5YSWM7q+xzAMaGIjbJNKxwCpQSFnOxB5ccucs7TYs84eqM68yjtblzoywpY3xipcVt80D6wVjKzhkUe8VeBe0XalQKwL6dHN76XWh8yNmcGLpupQAIeoLX1yoXtmz6smmNEuqHjJWLTA3OnlGeP1hDYEbPothmGHpmtAIYJZW3KR1v/gSmYqX3H+wfzmmr59RuDz8HtVBgfnh0bL1Xl1Y5ax0Yp3g+wZ5oXUddN7zPOMpDnrbdsJPqvC1l2u2bz4tYca1d7c8g2rcVDLT8GY5tCByiGIYpYWLMuI63gCxRZN22O72aJVIxGFBnYApd94g6aNsHacppjClUGlS+RyTRm9sf/1mI0xkkWTosieWyW7VlBNQQevzoKFdtvLsKjDCTtMJHIxLUuFw/LNOcHqPpaLvvJar+QQgbQ7QA1UPErEu8NU/BxlPQglYgxk7b/IkSBzxpwWLOMVy/WKvMwAA23Xoe03JSomaJHaEBBjRGyaNWb+k68/rZKvl49XZMBv/Hb77fKz3rWveznBfOX79iGv/iS8JoHfuOFf8aKbn7fvf/30/60vCXEqQoHSGqCb7PHzR1L5+3/+109YTld8//gOIQY0MaLf75CfD2AF6HUYo4EvkBSTaGJE10r49jRNmKZZ8oJz/R091zq2w/GAy/MBD3f36IaNCM3MyNoOyQRpSgmpEhZ1SJfMqYQOgsjzvW8FMLII7xADlnnGl0+f0YUG33/3vQADLmFft+CsZgRe6EOBUfYJVienGp/lXAFa2IYkFzkDWJYZnz9+RBsi3v/4HTgEJCpC2c2APs9KqDBXebTlOjuVdf6KtIAwpobiiWfVAdT4kYgxjWecfv2Mvmtx/907/ywEMQIs2Sr9UpVPDH92zQ1KCBGVHrBACQm9YXrm2SlW1kpoEYEjME4jDv/4FV0CfvzwPZphAwtGbaIIunlJWNSCvToTgHt08s0+F8u2CS59lwswqaagZyl4heKyAvJhzhk5MEIETi8vmA4HtIjY3z8iDAMSJy8+E4JVqv5tvmYhU6aAmfXZgU+toLjCVwjCI0dQPCsOqjK7XYH0OS0I+3f34C7iP3/6Ow4//4Jd6HD37gOaXgwtjABiMWQ0bQcQY4wRvGQVyGK4K/pN5fmtFKIC7Ap9CzBXhYDKPMyWrgQC0SGKd8JA7TzPIBCGYVOUXzCA7DnVvjwKhizawA1hvh5Gz5XnUUFRmccNeKiYrhmMAHgemnndrfCPWfRDDK5oyDm3MVXM271ISmsOYKSVGTODgxXPycgg8KZF12/RTTOW8Yrr8xOmwwva7Rbdbo8YexBUAfCeQeTKgfG0AKElS/OxWhXkM9RxZomQsNz/nNjzs80TbGjqVURC2ZjVuapp1/bJeHLNo2vlwsZrvN2qfxBFUBswxBa0GaRH8OGA6XREt90hbjag0BZDAKMqqFbJI2BFy6U6vIFaHSNzTcZFgbOCgwRk1rDVnNFQUKOgkXo192quRFhFDrEuXtK2WiACIkl9Eta1aluE2GKbMvrpgutZaps02wFxdw9qWoRAaDmA0oLp5TPiMuFut8NmuAea1s+AGVEDASGWtpuW27gsCQgRTdcWXso3HnydU/CDpaHiLl+4YImVQiXGCm8dpveWcybnKFnBRoblWXihx0Iz8rVsVcur6DdT8Zd5EgOeYh4rqhmlMpvTqVfgV/5g5UJSSpinC15ennA+vSCAcLe7wzDsEdvew7kZsl9WbBMASCPdcpJnJi70EJpG07HKnFaeYq7pQg7mSrExfkfrThdFSyhGWDfGAp4eIFEnJsO06IfeJC0LpmlCiBF9v3Hqr5Vqa7kkOIRK15Ob81ZB1iqH2ox8FQ5iVqOERUnoIcqMaRpxenrC9fiE+XJEaFrs9nfohy1C6MCRHNcRBTQxoG2kFkOiouStPeVFktRy17CurGmGqWkMKx73uuiYr0PF041fxFCK8xnPyaq0EpWoRLubFbWtu1ksy4JlWUrOtz2bteFh9byCLwkeQ+o1OkqNIji9UeHndsYdX+RSy8frLKi8NBxFwaMMnDazGMav1zOu4xUxSbvXtuskoqBttVGjGTqjGG6i4JKUE5JW5/+W119fvOxrv0BvfPN3lM2V/kHlp73P9fv1426+84dKtT3njXu9Gue/cp+3PvuN+ddjrkFE8SK+/b2vfdUKjIFlEDm9S49fA6AAU8Q5T/jnf/0DPCb8+OE7EAFNE7EdtlhixIIsYcE6LisqUJRZk/EqzAgYNj2GTY9pTriOV4zTLDnLBkYYeHl5xvF4xA/vP0h/SwUvzFKRlrT6YdI8VitaULwiBejZGBjk1U1zXcQErLng4rG8Xq84PD1h6Hq8u39AglYbNEFxq8TTGkjV83cgaT+5vAtgVZUTnEvBM5J86uePn7HbbLB/vEci/1KhjVpI6tyrJSjkYmOrnk4oypdqcE4lgDAoAXMGRjNOpwOOz8/4sH+Hu7tHTEhgkmIQWduRxBDV8Mn+fH9WrczzG+PkLBZhIme6BpjsRl6YSPciM2MhIFDC+PKM08cv2Pc9Pvz4HXKMWDghQAqyWKXbVAOxECoLv4JrTi6ECChjqMZR+m8bUA4gshypYtQhaMixGSsAZGKESJjmBc8/P6HJjPfvf8D58oJrDNjGgJgBTqnQs54jNz5VCoJXXWXb59rzx77PxRN9Qwig1dkBw0PlM1iqzJICuJSw22ywe3ePl/GEf/w//y/45Ywf7t6hu5N0gFQxvrbtpTVKEzHnxR/ptO4KEil518CkzMUNR0qlYANt60gN8/BZaxw7dkTi3UlLwjLP6LoWXdcDSOrRKdEcAgrlXt5vnExAs4c3Z6CqEm5AQcOizRjidCU0ApQc1bpif+1l8PPhgBWwitBgA01VCqnNs+Y4hKq7A7n3Tv6n/bYjIVJGJCl+uOQM6jt0fYt+GZAuJ1wOBxzPR7TbPfphL+0XQxDwzuqVryplG/Rq2gZpSUhZ1jexVN43UOxhq7ZEGlJOpOvp3hIDWVjTtEU6qYLZNLQyhtU8+rawUfGEVC8HuVyUjhCQYwQU+G+mCePlhOvhiPlyRtwOQNcjx0aLh8n+r1orVr+b93g1xoq+br8nSnFWBqqKRMXEyUKzdZ2KHChzANRwjEpmVXyeAKRFeFakKPUEAmFRsByGLXZ9j2YacT4e8XK+ot0P2A5bYJqQr1fs2gZ3D98hdB2SVhYHgDkviCF4SgVnIDYNYmwwjTMoAE3fyx6mqjiaKZG1UlEpJUXxleuzgQ3ZxsKvXcZX23xTdKsYuNlbZ1n3BAK8BRjDlPHasAtkVUaIJLVNDygCE7rQInrxR5Nx5j2XfiaJM8bpitPLM66nIwJnPO4e0G0GtJ3kuMNCuFVpl3ZjBQe0MYKRMGcxHFrhNC/KBuF9K4+7r2nhayIjrJCbJZwYNrgx2kDGw4r7LIfYPvfzStbySO/H0l1gniVacRgG77phckj4bikMS5p6ltWY4kqb7qE9p0AkqUEhTprKqGJQWumGGUiJMY0XXM8vOB9ewNOCbdNjc/8BV2bQsEWOvd5f5FXTdmiaRqMFpCBgHdGAoLKjsnyVtIZCiwEAB4J0fMpO81FbJ5bIgTVvShWPsLZvCCXX2V6x4pu1dgFIuz7DKou2zDLDDEyGVUaEXM3PMKXJKjN+2PgDiaq9qpdBkGJxKg9lPQoGAySt06ha7G+hKiQIRFI8khnLvGC8XjBdzsh5QRNC8VDHRiIodbaRAhorfgcgpQVpXsQ4960KFf6NxcuMRr5paPT7b6/uyV/xrN+43//W128N7ivGRv/mCTj+SkUo1MDNDinASEQ4XS745dOv6Djg/ftHUCC0bYOu61SBSGrrU0nvST3m/aoeXHC2e0rbJiB2W8xPL3qYA+Z5xuHLMzhn/O37H1QJtq8zQiMtRLKHHMKFlv/U560VueBzKyAdLnhJAdv5fMH5cMB+u8Nut3OlGlQUvBqwudCmm7+r6/xZKJ8rBnVhWV+fOOPw8oLr8YTHu3sM+50oIDlpPosVAqvGoUDUn8mseecVcLP5ypdeAw4u+YNe+AYAAiEtC04vL1imGd+//x59P2DU4l+E6EquKQrhhpYJ5JbTVBFFWRu9niuwQ4UurS5AsEIZptyCwcTIy4zTyxfw6YT39/cY9veYNIxbWn8Ac0pISdQKi3Dw/wJphVAI2K8AroD1AkJuAb4BDiJeVVo1cMuorPwGqHLCeDnj+HLEtt/g/uERaBvM4xENESIFUb6rVItct5EieF0ABwyq1AQV6BaVYQX2WG9UK6PmQQtNoQHzChu9q71NqvzGgN3DHfquxd9/+Qmff/4FPTXaBkxAtYF7io3kokW1xFOQIiOWj2i7bsdU/3OjgM3pBly7V0TXwQ9U9bkbIxyYyGfjNIM4Y7PpEZumFHjRtTE6y6wAnEijZORMsa2rTqB4Kw1seGCBfE6Wx63P0VmTAotbnmGfmQfb0ihs34TP1kYVAFYQxlbU+F91rMyjzFYoxpR940lROxmT9FZNnEFdhzY2iJstlumK8XzF8XxG03XotztQt0GIrWoXGUWdqvalUmxyzl5Ix4o/+bB131GBOl+PYAUZK+MKi1JOVrTGZk+hoqnCr+sIl1qxrcNJbUAC2u052fPdZ2bEtkMXG/SbPcbrCdfzBelyQex7NJseICn85jIRpYqy7SIqhcQPpvEW1MMpRgZrdUf6rxiyZc1XdFMr8JXcsT0vZ8kUGMMAokAmsnUKUmgwNNoCLaCLEZu+x3Q5YTkeEK4X9H2P3bsHaVlDQdsCiaEazGhUmQOgKWIRKWXMaUajBprsMtyo57VxxOZUWgaaQgUj6IrOXsu2mt+9MrzoKlkEHJh9DL5+QKX8ySulJF5/1nDgKk3NzqtkGTVISVqNxhCdhlPKSMuIy+mA6+GAzIztZovtdo+22wjvQYbUH5TUitIyzAxElRKsRVxDaLQVmM7PeJbN3TEAfB1enRUq5zOEEr1l59ZarUmlfYL9D4Sq7aLRrl6X5WfOwmf7vkNU2SDG1CJb+fZcZOlJb0VJ2PiFDNp/N2WcAG+5ZrxZj3GhpbRgHK84HcVIlvOCrmmw2d6jawdM0wiMZ4kSiSWdjUijhjSFwc6m0WVdLd2NFjonNwaZfPI1zyAtkEksuc2Gl4qhoq6SXRkXjJeZIk4FcxajQykWxoZxIEVll2l2B0+souus4KbIRS7ipca4dvz8j8JXSOsn+RljMTga9iqh7qT40NIs9TmQda6jlVJaMM8jxusV8zhJ5E7TSKRV2yHExp2DQeWZGUAYkhKQzCuPylj9ja8/VKxvb17t/e++6mvo9n1av/9H9/vdCRYd6Q+/TK9H8vvPLrLmz73+7PWOJP9oQP++lx02EEorBx2WWPgiFhCeD0e8fHnCvm2xGwYQEfquRdt1JdVUdAQHaQbwChCAA+hbWgDk+ZJjKoxrvFxx+PKMLrbY399LS45cK+hy76RtcIweDOTaga4XV/RLqizQYa38yLAxzguOL8+YpwkP9/fo+x5e59Aqnn7la+Wh0HGX1gf12Liia0YOwDLNOD0fkFLCh3cf0PUdEhegITnCGj4DKOirwiyVedn79Zj89+rfwtgF3ZqCY3mjBPHgX45HNBTw/v17CS0jRtAkS1N0Xby5cl8EX20tX61VvVGVEPFeoca1fa8tVBlSECtlpOmC4+mElhrcP3xA03dY9DtRBfG8JPW8Kk0ouLc1YFfWixAzgWhg3AwUds1bZ9j609ZKTeEvJBV6pxGX0wmUEt4/PKLf7pADeeu2YKDhZh+9rQ9YPWOVcuS7SmVPK8ZWQEUB9kCdhlA2xPObNcyXWKIXhs0G3bbH+XrG3//n/4fpfMXDdo/d/k7b8wCUAcSI2HRo2k48J7qfAtZEuJeGKIUOjK8YALlVqL3AIFVfqmno9lr9HczIy4KkdNg1HUAFgCdkSUtZFqQ0I3MCUSd5iyB41WoikM6HzYmoRYm2R40AACAASURBVLTkPcvwJVeImStrfqiYruVaGr2bolVIpSjeYPfYrAoSOWkUeqSbNalloRgsDHhWtK/jk0gZIMRGxpwzlgCg7dE2Ldp+i+t8xTRecXl6ArUdms0GcTNIoSEyRdXGw1qsEFVvZAF/eck+RyIbZ6F1o21TuN0ArARABM2pp9Ucbmm/gO+iqMKUTj3L7omp140AqSuQHeAzSz/ZREDoWjTNPfZ5izReMY5XAeJti6bbANp6B2A/e27EsPFydQJqHm7LQOUz+zDDxmJhnaTntRh2XIlGWZNCFWVdRHE0eoXzfoJUlV6C1GJpQpA0hJRAaUIbGPu7O2w3GzR9r/mmEvElMoictwb1tJKC5py55FFXY7M10vpXqL3Tvl61DLuRJaTXMAot1R5dMyCSM2Z2me74xZf5JlTVvL66RzmLx9UMyDZXaS8HXWPx/IUoJ0s8dfJoCT8dMZ7PGC9nIGUM3Qab7RZNPwAhqkIuaRswRc5kgvIDm7MbbkyZ0iiGDCks52dp1UayEqpQZdGXV4ghuFLMKxqx59rlxXCr66mVto3fyBiTf960YnyylaJ6f2w/bB8qgOrGqlzJBz8nBQ9KPQEzRJdwYxDAmZGWGfN4wXg64DpekZaEtmswDHfoug0odtJtIc8IEyCh3UX+Apqy5/xb+Do7Vq1CnPVQERjmfXVlF8bnDVsYrd/QOHuwesGtqmS7IcGxr9FhiVTCzb7mpKlOOUtHA7C3860Njez0bEp5YUp+Hsl2pTgpbF9hnQvMQOJ8vE7RJBNl8EhJi66pjAM5JUzTFel6RVomMDPa2KLZbNC0XZU2qMUdVVaH2AJMWOYFKS8l9TBYC8Wvx/Vvvf60Ym2vr32sADD9zYWeflbO72/er7bw/uY4bgZZBO3rqx3U1wO8vf4GoP1LL+cQv3MNvfE7/8bnv/WMf/GVTTh7URW7qbyXI/Dp5RnHpwP2XY+hbxFjwKbflJYHnKVnYs6IbCCENFxUhdrNmK1ciR0W220rbHQ+nnA+nrDbbLAZtlXV77UAtf6xK/1MCUz8SKpA61qGSBVT0APH1TgIuF6ueH5+RhsIHx7fSZiVXC0ML78W7Hav27/fvE7pjgjFI6jvE6TYFgM4n0+4Hs7YtT36xweEqEBUGZ8ohBVkrlFg9dPW14qskX5WnzA7Hlztv5xhzTHUi08vB1wvF9ztt9hsBiA2/rgsFVMKu1VGC3+mAJIQK4brCmuVh57r1i3CzF3RtXWuDQjMUvU7JRyevmA+nbC/e8CwvUdoWixaaEOwhFnI2SSTeNXVw77W8yvlhmm9j2w0ZyBDvAk1AK4NC6TKk62x8EPGeDxiul6waTvsH96DYyM589qSjKBVdknHoPzUxm8GjFv+4VELzE7fhiHdgOOX14BUrcUqzKwdkcwxgxJj07UY9jtMlPDTrz/h8PEzttTjw7vv0fRdoT+WSr5N12lRkKDeVbgCygowSgOmShDr7yujgGOp/OpcYbX2WNeWI/KwXIaAra7rtFaCeN+ZGNM84/OXT3j+/AmYJlyOL5gTI99lqQK9Ahpl2esq4Z5FEa3VU3Y6YS4APrifp/CKW0OTbub6p68bOWgWLJmr/Ze1rHMgbz1zRYG9ESW2bm5Ms/BuUZiIMzTBEW2M6Lod8jwiTVdMx4O0AOp79MMOTdMhUix7Yq3JqorBAQSOpggJf7W+0KvaBTpmrjyQ7rW3fSDps2wGB2JarbFPUQ06Yt8soJYLVVbrwmjsLrUijCKLjB5j06GNHWK/xbJcMV8vWI4nLM0FzWaDtusBRI8AAoAIqMHM8u3Ls+1UsCrKgUla+1nuIiBF0jxMsx5jYcF+Q5M5Lutf73+tNNoYAgIoMwiLrNMyA/OIjoB+v0PT9lKYzCIM1GgRNA0IgHpPg2IOABS8xzH7eHWu9ns1Mltr501cr9RaptSe2BKxYsogr2jIblGUd/I9rdNHPK1NGW9alpXnLpKp8JbSwgZ/Vc5LT/cmEDISOC2Y5gnn4xHLeEHICX27wWa3Q9N3oBi9OGqgUgvGZKTl1lqNCIfVNwYHkZeypoabxQBQFENZ8ODrU+hHzojRTDlH697gBatqJB/Zdew0nLMUccspIcSA2LQl2sBWffUMf/PVPpls1ElCNfkyf6MdBlY8W9eTOCPNC8bLGZfTEdP1jMCMru3R3e1BXQeKEuZvzqKohVhRYxU2I7YpuHA579jSFAEubRaNfmuPsynIACNoW0RlxHJ9La1rY4OfVfZ8ZHkfXqTQ5Y/tBYsinVPySt82jrqeyFsvmwNVP2t6A9j5thf2BUsElAhfoSWS30sVb5l/VMbGQSOFyFdQ+09fkMYJ8zIhAuiaiND2iLEV5dnW2M5MLIawZV6wpKSFIcuYhWRvjJvf8Prmdls1GP+qF/3xJX9mCN/+/SJwXt2sRkj/p17V+Vu9Z69/0/iyWhCJuRK4woBmZPzjl1+wXEY8bvdom4imjdhoDkypOikHJgDOhIQf8EqJra/1MCJlPgQghwhOCU9fvoDHBXf3ezRtJ17ZWHLihPhrxay8xLtFqnCTL50pGt62ya7XtgYLiRXwfDzj/PyC3TBg2A4oISrrDXgrtKz+7Lcs6jklOcA676JUA4HFI8sh4OXpGdP1gse7B2w2AxYSrwF0jX0MxowdPFkeC7ylj1sGV0BiLcBWQkrlg1neQcA0zzg9vyAk4P3DO7R9V52pEqrJ1X3IfxXClhBsvT+X0Lr6Pq4wwLxJQks294CgIUJcjZVxvV7x/OULwrLgbneP/d0jEkUNM9JCazmVracCFMyKvt7XSmjauTS6rccHU5yCX1R7BT0vTPchy0YjzzMOT0+gzHjYP6DfbCUiQwtl+Rh8T8wCDFfe14CmLL5b48167YVfFDja/nIBf+X+lqOFtUc1C4+43w3YP+zx8fCCf/zj76DrhA/7B3SDtHtjXZtAhK7bIDS9GFKCgY/Sr9bmZuCAdaraH0QBraxv3efWPH3i4S1VuW0tamGsak9l8BDAEaOG52aWnDYwDscDPv38M2ga8X7YYmo6MAIwLTh8+oLQNWj7rYSsNmFVb6A2JpDRsBXtC1axFBDbQgld9T6yGl751qv22NfA17wS4j2h6vDV38UbtG3rYF7M9VfZF0sNkwTZf6UjCbcO4MBShIkYTdigbTt0acY0XTCeTjifLmg3PYbtHqHbAKFRhaPwnACjPaNrMXLlnLS4kuWdV7wqQBWj9VyN7q3oolxLrkSVWVW80NbGzpqdX+erZV1rHlr4pnpRFKh52H8b0URpg5TVIzY/H3Ftzmj2Ctyp0KBsosimGtz5+XTlB2+C2SJ/Kl5/uz6VInDrkXd9oDYu+hqIctETg+YJWCZ0MWA7DBh6KQjEbpkV3hU1vQNgze8NGv6cVaGqumm4QlvthwN0VBRKvsamTKwih/R7tZes7Jl5+3TX1jBgVfRKppGcH632nKXIW9ZWh2S80xAJwz31bixzpUZvGCOwLLi+POFyvoBzwm67Rdffo+16rTIdJOSeCE2Mr/OhY6k5Ye+tCrLZWqzW1N6TsZgvxeYgnuRCK2QTsn/tfsSrDivF2FuKrirocuw1LzOy1luRPPGKBg0vao5fUTBtfLL/kgZY0nNqui9ysuyp3YshkzVvb0oL5ssZx8MzlusVIELX92i7Hl3TI7YNFjfMEGLToKWAJWVcYPVcoCH5ZU+seJjw5LA+w1iHhLshQHm/GHuy06LNeYXrIIZpWSeuNg/l51v7T1Bvtly2pCQ9qNWDvEpNMRx3I4vcaIBypojIe9UTWVFWVnl3U4iYFEtQ2auS3leltVg0WCBNQxFqTcuM5XrB9XoBp4SIgE3Xo9M8aSmMqrw4BIQY0TQNSLHpsixYNPXIzrXLA2Y/J5b2862vP6dYU/lRM+Ov+Moa9L/x3d++F6+e9bVTdW/g7VPUQ1TfjG/+/ktff/aeby3ut9zjrRe/8bkKGIZUhzRlLZNZmYCnL09oAHy4f0QMhLZr0A39ilmLwLJUOFd3YdVh7T/bAptiDvIs0lyOFAPOvOCn//w78mXChw8fBBQBiI0IliXVipFO4w0F1v8LFfVUNFyKlZiCJtazw+GI09MBH+4fsNlsvFiLPEcOvzChsGbqt0rrzTjyrRBCYWBl42U9Qgz49MtHpHnB9999h7ZthSFU4MHWsADNEm7MILfYGbComa7z6Qp8mDJu4YgEreJLjByB6XLFy6cv2G4H3L27ByjoWKNbPKXQU6g86GuBEkOs1p19PmJgAIqeXKyq3oLImDizFAEJEoeQFCCfnw94/vQZ22HA7sMDfv31V+QgYI5TWuXBFeBZrQ/sObIWbwGqXAk9YE3LssQFyOuiGrTXsxJcqb6cjnj++Am7YY+HD+9AQQRD4gxwpQQa/XLxUOuAKuTtA6g+pjIvvca9awaszKBmdMDCNTNrvrn/T27fxID3796h37T47//5P/Dpn79g0w14/PAjQttVdMyIsUXf9wihAaoQexGqZd8ZcE+1bYAZAjhV1eGpFAITpT0UYq75pgIpA3iyNJWHVBeDQO7cpRAwc8Ivv/wTzx8/4b7f4Lsf/obTeAHiJzTdgG6zB+eMcbzifHkCNQH9sEU3DGg6qYwtPE9DQRVwmDGAsxSfcVoOMs9ceRnnWYq4NU1c7YsXPfPzqgdlpYDQajHs/IKoeESqM1m+81rcuDLiVcTZ6TEr6enhkMJBsUGM0t6QKICaBm3Xo0kJebzgejnh5XxCHAa0d4+IUcAOUQu29SFdN5ArzE3TIOeMeVmQtRii+Z7Nq1m3whOFxuRYljoLAILy66LcyGRYz6odK1c4GWiC5JW7sqFFJG8Vl9V6elVojVzR3HE0Lahpsek2GDYLLucDxi9fgK5Bs9triHh0D6fN0g1HKl9t3TOszFxlAHDFrqYJK5D4RmFLGLlWskHnlNkMs3I67RFNWpDGC1ow9sOAfrtFtsJCpKHhep6sKJ548FstECl0bMWCXPqph9sMQOaBRSDkVK0zKhlQzaV4DLma37oiuPF7EzKEokzUcpuZne/EKLLMDD+idEr+KVCn+JhRyHgcl7okJkv0lCVkLGnGnCacjwc0ocWw22O7kwKAITYVzTHapvWiY9ZabDWn6tx67Y1q/2tF3O4btAiW8XXrFlBHbXhhQN0XcFVVW40TrM8s3s0KmKkcRyAs04SUEkKI6Pu+yCHNLRYjWgldt7Po2KAOK694l1JNeapaCdwJYoYGZRGJs7TKOx1xPb7gej4hELAZdlIfInae1pMAEElBuDZKG9nAAI+EjFAqZNct23T9YtSWshW+K3VRCoaLYW0YsaULlWLJvodlrpySARVZf328dVwQI62skRVKk4gTkYvjOIEBLNo+0tb0LRxtP18VeLzBQ3KOAjhLzYCUFqelgoGr8HWPhjOEUcl+ohJpxkCaZ8yXE+brGcgLiALabhBa0rOxyEBkrWPpG87MmCZt2wYrEBq8kr8biiE4oRRILXznz77+OBT8f7F3LzFSnvme53/vG5dMri47sTOaHkanjwYPp8pSBiXoNjZtMd1SZ9NkGjFGZ1HVG0SAWET14pQXjStylVFmFlRvHAsEgdBIU16M8CDItFAupge508eeIVVEaqg6yEjdR8M5OKJM+sItbxHxzuJ5nvd9IzKTi8PpNOnvR8LOiHgvz3t//s/tjd3EWr53fywI1qKMVVhdsNh8j/kuvuhHTt82UdSUdeG08QvwR8kdmvavPanZMBmHpJJqek01PU/1uXk9vHtfa5MpbdiwXp7nKZlOaU1X2sXjip8a4UOrafue2O8D2fdX2+CpqagZcvjeRs9TI+Hrq5mH+ofPP9fauq/el15S3TMBRiqRVCJp+xi5W3gQ3VgXlFAvaDLclpm3913z+qSm/d3XV3emNDMzrU0/eV7pdNqMbh6e0vbh4waPClofzPHgpF088xzuFZcfkiuUMBmUufqcvqx9oVQiqd6XXpKX8ExQLZlMrBt8KnZY29cbDxi96EMsMI31RVJ0A2/YG0s4SqU9jg/u3dXDuw+0cf16da9bq6Zvm/jJUzBvhqZZmOH0oiDCc+dANJiGee7Fan/CueKZPHvsbE2ZnzAZrSBQOFJw0GzqztQdzTyY1gsbN2rt+nWaVVPzni11tDs6nhlzNQhhH/nY6MUuGHO9ZF1GPGhGtdBB4I6DfWTZTIdnu0JokXMgsDW5zWZdD7/8WjP3H2jTCy+qe8MGuz0NBfLUCOomE9MyQJXNxIQtRFyzYndfi/rYhxFm7NgqPNam1UeYQQtaH5RRf217jgayfak9pbtS2vD8Rt2beaAb/+8NNR9Oq2fjT9S1/jk1fd/0MW2aTHUq1aVUqiussTIZMJvtDzO4Uf9o3xZSuZYz8Volk+GzA7LFgobwulfs2LpjZa8v2XuO2S1NeV6glJ9Q0k9oZm42LNh7+PC+qp/fVmNmTi8+94LWbVhvBmmamwubSwbJhHwvqbXplLobdc3MzmrmwQPNTE8r1ZXWmrVrlUgm5XsJW4sdmH7x4RDdURrj3Plomnia0enr9Ub4uimprZbDXd/NqKmsyRhEmVLPMwU0biRX13+tNRCPLlPXrzy81QXRZ8XOq3BdbnwJLzrv1QyUTJnmyM2gKTWlICEl127Qhi4z0Nn0zENNf/G5EumU1q7doEbXGgVeWgn7+rWwcMjdApomE5RKmVcwNRoN1Zt1OyiUva5lzrlmox5lzF0+N3zDhSlE8ROJ8DVKLQXv4T5UOK97R6tkzpGErbGVWjP98ePTmg2KFaDaELKZ8KVEWmu6XtDauXnN3L+v2a/vqpF6oPS6DVIyaVt8SF4zWrY7dkHTDboYe9bZ69QNAGQPULhN4bFty8tF9zmFmXcXHCT8hG1lEyjpSX7QVDA7J69R19qupDasXa9EKq3YHdE2S7YF2fb8N93EfM3Nm0DAT6Xsc8YFeVo44rlNn7vnBrLpaatFc9dHeK/w2oJId1zVVoAbW595d7Y9xjaj7Z59SRtgudQ0G03V5+cleWFA5M69+P01rPGPjRrurtfZxrzuP7inmbv3VH94V+lkWs+90KNU9zp5fsoUBNmgwoySbpohN22totcWiLlrPTw/wuvHC6+loGleQxoGpYF5ZibC/uytTZHtomytozkeUR9g82wL7wuep0a9EfaNj+7r5oA0mg3V62Yw0+7uNdFz1h2bwA48F8s/me2wk/jm3hvmGRRVlHiK8lVRbW/45LLz2xZAzUCN+XnNzDzQg/tfa+7hjBKep7Vr1qt77Tr5yZQ820KgYbug+bbG07USaASmQse1JGjaQdek6A0z7sbl+iqbAQuj4yUpGsvHpc0WvIQjtQfu+eWWFSiZ9MM3iHheNABptAw3FouplIkqe6ICtWYzege1aVlj+h2b/Io7X1rzqi4NDRsst+drkkkXQtrry3YBbDYb4TnjCkrlRwXmYQbVk6LBOhNhJjBQoKDRUL1R19z0Q81P2xrqZFLJNetNiw7fdM0M/OhYJ/2EPT6efU3dnObrra/NcvnOhO8KWqMzxrej95v8XELf1mMD683/JKN/vP35oydqySfEI60oY9z6u7fIfAstCI69th8WS4o5x5aKIX84lkqcDWY6WsZTzOcCu2YQqNEMlLIP2/nZOc08eKh1XV1au3aNPF/qSqeU7uqSq6YLm9bFMmmBvZGbvm1RhiB6DUIs02Q31fcSmg+a+vqbe7pzZ0obk1167oUNmrOvY0n6CdsHK2jdZruvXMY6nhkM7MXbbMTHmjbTuodR4G4kMu/pu/flNwqCpnp7NpkMmP09CBTW4LplRPsv9nCP7+LYTWnxUsDWDI48EzRPT8/o3t272rBuvRmoLYhKvKMRnd3IhgofcFEA7e7wCm+e7kCH6XfTKfrZrcc1nwzC/TKv2a/vKZ3u0vPPP69kV5cCNcPMRDMsIY1tkRceGEmyAUOsxNW2k2wPxt38gRS9SiEeINoMvms6VFdTs9PTujf1pXxJL724Sal0OurWIM/WFpp67fAVRkGUgQtHp2za1wx5XlSooNZmTiZtLitpA2j3AHfPCnce2PtQeL7bB9jDmRnN3PtGaS+hl17arER3l+qBGzM3sAO1+OZZHb9VugxreJ4rKhQIovM6OqmksCAl+iJqLRA/Z+yJEdjuFb6fsIUKnjybye5ak1Y65av6+T/qiy++UDqR0guZzUom0+Z99Xa/+omE0l3dSiRTYebe9Au113/4wI/OF1PjUQ8zcGrb7iA8p1qy8eGxkhQd2/D+aY+LO88DG5AkTP/GeqOuhifNz8/qwdQXuv/l11qT7tbG3h4l0gk1ZGosXdO28FzwPDU8yfNS6k4kle7u1vzsnOZmZ3V3ekapdFppO3iTn0jY8RBcIVgUzHmBbUpo0xwPLlwm2L2zWjK70h1PVzAoz7X0cM3uFJ4fTVtD33IfCNS8VrARZs4V6zMXuxbtRRLt22gR4X0s8AI1mlLSMzWpXsKXF/hK+IG8wPZjU1LJNWu1vqtbc/MzmpuZ1sNvvpFSD5Ras0ZdXWvkJVJKKBGmL7ofuNdUmWAnsPstfEVLywWo8F6X8OTO4nA/hK9udJnWwB6b2LUSZgbtsYpd5eYcjN3LF7Dnbsv65Mm3J3zTN90C6pK8rpTSyeeUrq/V/PS0Zu9+o0bCNwPvpM3gX4HsiNS2xUL43ArPBTMugS/zTGjI3vfDGkmXVm9BWV/4znF7DrkMvt0zSviS12go0WjIr8+rO5nU2o3PyUul7HqlqPDBM/csT3ItlkyBcKAgaMhPmmAkiE6ecI8qCBR4zSi/4FIcBv5eWPgdFpLJvY3DtAgwi2st7HDnjjtm7cuPBtdqxLIWbQUXtqBivl5Xo9kMCwDDfenFritFz9awVYd9TtTn5zQz/VAzD++rOTenNcmUtGGj6oEnpbvN8TIZEwW+HbHYd4Mt2r7t7pqI7b+WzJRbv91F7o0F4bM/iPJfiZZzSeHYI+4cNy18YgU60eaGzw73gEq4V4nZKcwI3w3ZcgV1p9P22Ef5DhdUx4+zOZ1skG1ujzKjhjfk7r+SKwCxrVW8qNWPpLC/uete12jWzSujZqY1++Ch5qYfyvOkdWvXK921RslU2tSau2BPgZIJ0yc3DBrDZ27CNB7zGkp4vhrmaoue74GiN0QkEnJvIojnizxJ7k0tYf7M82zBguxbc6L9YvJ7jeg5rajVgMlLuWWb57Rn90+4P23a5+bratbrLZUxTTeieuzcCVt+xA6TXD4qaB1UMx58u7xQS2FlEBsjx+6ksJY6lk9y2xQWPDQbaszPaW52WrPTZsyBRCKl9Lr1Sqa7pETCrMUzy0/4SXmxtwwoaGp+1vShdmkIWo+EpEBhts49xxTlFwJJ/+P/8Jf6th4bWP+LHdv1f1x6RGC92DMmdvN7shkev+hF52r/Mozjg5YfPantm9ZdvPT6XYbkSedYRMsd6bErXDjfk877baaNraoe2Be9+6Z/8dzcnNZ2d2tNOi3fl7rXdCttR30Oh6UKb4it4Wbdayoh2RuFTZYXXbhRrtlchtNq6s5XX+nhV/e0oWuN1qzpUiMwpawpOwhBrNopWmBbTqElkLVTN+MZdPuQSdgLyV1YDx8+1PSDB+pKp7Vx/XrTzM4NIOMyv4Hit4wwLUsF1q2ZLxtIxqbxpPDdji6AffDgvhqzdT3/k+fUvaY7GvU7Hky5m5sNpuIBSLQmtTx8W27s7iEZ2wctabYZ06YCzUw/1P2vvtb6ZJeef/4FBUnT58hlHoJmPC/bGtjFaxHU8r3CL9tbGbj1hq/XCDfO1R7bTILnab5R1zfffK3Zhw+1rmuNNmzYIPmuxiZsWBTb3/Yc8mI1nF404mlYgOEy1UHLnrPHv/0eELuzeC5YDMJaLS8wBRSB76lZr2v67j015+a1fu16rVm/Xp6fUD0wtXvhuNGe6ToVpsuLago8m/sL97nvy7NNFsPmS/b4KXDnfHQrjr9nteX8cUFr0HpcPM82qUolNTM3rdrtL1SfmdVP1m5U9/oNYem+ZILxVCqlVDJt+t66fIqtDvO9KG1emIYo05eQGfRnXvF0ey37PAp2bOFPW9AYXXPuXJEtmfZszY/5fr7R0Hyjrnv37uneN3flNZvqeeEFddkaFc+T0omEkqmUpmNBmNRao980pRBKJ5JKNbpVr9fVmJvV7IP7mnl4T4l0l1Lda+Wn0kp7trTfHibf7XfThEeubstkMOwAWInonuH2QtQPzm6fgnAgnsBWvgVqhvfeKD8WtJ6r0Ulgp4u/19Rl7Nwxip/v0d+BzbBEl7S95v3oO08pyWso8JtqBp55fVdyvdakuhXU51WfnVH9/n09mH4gryutrq4NSiXTtjbCHGl3PzMZH3fKemawriAIX/kjm34/ts/c48YPXHoDtwuicyp2T3L3IVfQ1/7MigYdiu8Js6Iwy9MWlHnh/orOWXd7DHxPftqMYJuYX6PG3IzqMzOqz8yq2dUlP90tP5kyx9ZlDz0v7Gpggq7YOWWvKXsYooIZmfOq9X5s7k/xQWTdY9ZvNpRo1uU160onklqzfoPS6ZR9n6yr6bH7Mqz09WyBq239ZFuvJO1o1m43ei4SCW9mgdxo+LFbfrhPw0dZGC1ErVViWxKdF/HnrL1+F7Qw8LzYQJUmiPTtPdKdH42GCepcAWYi4YfpbLnvxO61YQGi56nebKhRn9fMgwfmnbr1upLJhDZsfF6pZFozszOan3lor11be+gpbNkl2VpTue5BXst2tpyDYaDjSW58DrvtnhS+LcW8+tG29lI8oI6dr3Y/uPxGbCXmlU/hvo8FxIFMQN0wA71JUtoNSha49hruyMYKDGPHK8zjKKqxjhdg+O5csGlxt7PwGWHvQa5gcW5uVrMP72v2wT3VZ+eUTKTU1bVW6e5uJWywH537nhLJhNzr0dw1FLVCsR19moGU8JT0fdXdoHWK5cfiwKS3YgAAIABJREFU56V7jnnRqSvZggF7HbgC4WYQvZYwahVnZm4EprOMW54bEFDmsglzIU3ZNwJ4Cs/bRqNhR1636YhVEpgCv+jaiQfCYS7KPUPs/mi55sI8k2zepfV6lOfH8nCtObKWiiZJXlOqN+qan59RfXZW9bk5qRkonUopnV5nug75tnDOU9jVJJFI2ppn12fc1sjHzmW1rMn96QpU3TlufnPFA56kg/v/nb6txwbW//K1f6H/7x/+URN/mHy6JS/SDPxpLTn7Uj+0PTTCB9qik7R+uzDT7C7YhSuL15os9vnp0/otfm+fJmj7/1LLcRdia95WjSBQvdnUN3e/1nyjrvVr1yqVMv3gfD+hdDoVvTYgaL24ohuJ2RfzjYZ9yHtyo0PLa33gBZLk+5qp13WrVtP89Jx61q5XKpWyI0UmFDSaYXONhVq/82yJX+Ay7/a7umsaFN4AzMXTtHej+9/c1fzsjNatXaPuNd2qB7FLK7DrCYOV6Cbq9mt8+90Nrr3U3N46wnS3NFWTp9m5Od3/5hulEgk999xzZtCMeLO32EPIiy/fi9/4Y6eAnSdsQui+s8ch/m7I+E02sM09gkZDM/cfqNmY09pUWuvWr1eQTIRNrxXYkb/ddnsLzweXAXTfhV2NAsVqAKOBTuzjtmU5Lnsc3dSlph/o4fS07n/9jRKNQJs2mgHUmtEpGJ6j7iHjHmKBzWm7PpjhgyK2D9xCwq4EQRCe1+FObjm0dj02k+nLNNsLM/B+oNkHDzRz9566k11a/5MXzGu/FNim3+4a9MLFBzIjogTmKRpes25fNwN364/SZjJ40YRB/KnrRZmZqKlgywkT/h140aAwsoOo3Zn6s2bu31d3MqWNz72gRJd5N2303vmUkqmUkqm07S+llmvCrSN+rrpp3FB34RViA6WkF+sX2nYPa83sRccuvF+H62kqmfSVsM3lmgrUaDb1YPqhvvnySzXn5rWua43WbVgvP5VUs2lqqROJRNiUTDLNIZv2XFXTpNaLjVRqDqCpZUqlU2rad2rOz8xpdmZWXjKprjVrlEp1KemnzWjAXtNm6nyZAkazTa61hCtAaC048MNMgzsNg3CrPXue+2Fw7Mlref2aKRAz+8ddWyYFZu/HC5PMdey3TBeen2Em0OXu7PXl2WDOZd7cdeMn5NmaaNnarMCObOylUkrW59WYm1X94axmpmc1m0qra806Jbq65fspe940w5S2PJl9XwnZwTfDc0hy0V60r0xao8JDtVwvbp8EsXlc5jq+B8LnQrzEKjaNq/kNu+uETYZjGVCzcrfacJCrIJ1WMpVSV32N5ufnNDc3p7mZu0qmU/K601IqLT+ImiqaZpWKMvfyw+2IrsEgLPAL7wVBdP+TFPbPNEUZTQXz8/LqdXWnEupeu1YJ9x5Ytx/c2xU8P6o19E3LoKZdv5/ww1dOxYOL2GMo2mvx+6tka9xdGw83bZRHC2IZZnfOukKz+L3HLd/EmFGw6u4x7hi6JtHuums27EjJLf2v3f207Rlsj0PYEsLe0epzc5p+cE+z0w/UnK8rnUwpvW6D0l3d8hNJE8DNzYf3xcAzz8uwMCu2exquBDs8yVxLCMdVAJhnR7wLiekr79lzOQjvD/JcIYh7kpj0u37xUR4lqskOmk0zpoq7L9h7SSN8zZhpUWe6w0RN5d0rTd0gmm4fKgjCLkkmyIzWHU7jThZ3XruA3m2/y4a486sZqD5v+q5PP7in5vy8Ur6nDWvXKZk2hZyBGeXRjBXoK+zD7lr9xAfxCgN/9xz2Pcnz7TljXiUX3v/slWea7bffd4PwvhJ/r3nTjqUSts7wYnmfMJ8dhNeVraeWJ9vtLIieHZJpet+sN9Rs1O0+Mmn3PVcIHrvww+srdr24vFYQLVVt+dn487dpA9hEOBCnoueQWp8crtVIlK8z62nW5zU7M6vp2Yeq1+eV9Dw7GFlayVRXbKwGPzpOthVkMzBv8Gg03Rg6rgDJrDxsOeLyN7Htj4UtUX7K/vfAv/s3+vd/fUDf1hMNXvbLv/6f9d//d/9U//fENd3+vNqasVllvAXftGctFnKZmG+zru9kT7YvxFvi+0eko9Fs6uuvvtZzXlLPbdgQ9mMxTfvcjTlqFBfO21ZyKt9TvdG0tVae3Oi4XizD2/SkwPd1f3pGn//D50r4vl7c+JzSnqdkKqF169Zpem5O9WZrAw6X2XFpiGfSm/bCc1N77o5rr7LwYRwEavgmY3Pvq68VzDf03MYNSqZSUWZykfM7Xqq1INPbEjB4i51EC/ZTUybvN/3gnr75+q6eW/+c1q0z7y1uBqbpU3x04KiJrLsbtN4Mw/3h5on314mVogSKSqndYzPcx56v+fqc7n99V11+Us8/9xPdf3BfDd9XMjZAkFtzs+2GG+VbouA6/jn83nOl6650OzboWnhnVpgBlCc1PCnpe7r31df65quvtXHdem3YuN70MXIDfNj5W2rdXOFCbF8E9tiFGQr7VDYjMpvAxg/7kNruBLHzLsykmg+2QMJNYqZL+J6CoKF7X32l+vSMNm58Tms2bJRkRrlsNJvR+1NjGV4F0cAlC/arfbhHhQ7mV9eKIX4fipq7Bi0ZtZbz0MR0rfk41+zX91SfndPdqSl5zYY2bnhOXWvWKfBMX2qv2VAqaR5+qVRavp+UqTmPN9lrfbQudi5E714P6yajwg6b/GjP221wI7uqNUNu94Y8L5AXBEqlU1JgBmgJPE+z83P68suv9PDrr7W2q0vP/+R5Jbq6zDFuSul0WiYT01QwbzK7sqXhnmTfGWvaKIYBhG8f8A3TnF/JpDw/oa5kWul03WQa5qY1/c3XmkkklF67VmvWmFGi06mkmnZAFV/RcXXvijf7y5xvLrPsrp2mDVJbawrs+WmbAJvDaDOybpGuUCtoXb69AUSBg+KFf7HbTRAFbPYUCguqor5yUUZRdjlRZt/UMjR9kxlX05NSvlLJtLqa66S5WU3PzWh65kt5qZQS69cp2b1GKaXsJWIzq+EVHubkoiDBc+eF7yLBWIYxFhQpdi+PNa9szXC57Y9auZiCSdf/LhbkB0E4EE8UBMTuh7HgqKVmNXavbPi+mqmEvFRaXd11pefnVX/wUDOzD+Wl0+q2507TFkolAy9sGdNIuAFHbfY7VrPrWkHYBhKx+5mZNxkEStTnpfqcUglfa9atVborbboluKDBFiC55tCSbEY3ofn5ugKvGfY/dRvUjF3nsb3Zuk/bLfJ9eE65QfzUWgNtd3SUb3HPKlcTHD4CTS2eJ9OtwPUhNvM0NT8/H64v0XIfjl7Fo9j54kn2NaW2ZnZ+TtMPH+jhvbtq1utKp9Lq3vCcKSSKvac7ISmVtPcOmf3a2iIudt74sQKT2L3TnahRNyYp/lq68DAHUYGD5/vy1Vpob5osm+U228amiQLd2HVtn6HNZkNz8/NqNptKpVJK+qlwvug+EnW3igfFYZ7J88J7X9j3OGxCHeU3Wvuxt2Z/5Jl9MDczqwcP72n67l016nNKJdNat269urpNYYb8ZHSb800/+VQqbfNWsbvJYnknPzYejyQvYVqbqWmKxRI2fxu/X3j23ureGOGOgTwvHDsgap3g8kMK7zPhcuwxjhc6NMMHt2fHxGlobm7OdM0Lr50gvO5dl4L487cln+V5C7p0erFtcYWE8UEQ4/e4sMVdGDfYazZQNBZN7MbadAH19LTmpqelhhmXaV13t3nbRiIpz0vIvNrRDBqZSCZt83zTgmNubta8djbs8tiaP23NLscKYxTlFV0Fkycp4Se07eW/1FuDezsKqiXJm56eXr1RMgAAAAAAy8x//CQAAAAAAGApBNYAAAAAAHSAwBoAAAAAgA4QWAMAAAAA0AECawAAAAAAOkBgDQAAAABABwisAQAAAADoAIE1AAAAAAAdILAGAAAAAKADBNYAAAAAAHSAwBoAAAAAgA4QWAMAAAAA0AECawAAAAAAOkBgDQAAAABABwisAQAAAADoQPJJJ0wkEkokEvJ9YnEAAAAAwLOv2Wyq0Wio0Wh0tJwnCqxTqZQSiURHKwIAAAAA4IfE9/3w3/z8/LdfzuMmcDXVAAAAAACsRp3GvU8UWAMAAAAAsJota2BNn2oAAAAAwGrXSexL1AwAAAAAQAcIrAEAAAAA6ACBNQAAAAAAHSCwBgAAAACgAwTWAAAAAAB0gMAaAAAAAIAOEFgDAAAAANABAmsAAAAAADpAYA0AAAAAQAcIrAEAAAAA6ACBNQAAAAAAHUh+HytpNBpqNpvfx6oAAAAAAD8yvu8rkUis3PqXewUE1QAAAACA5dRsNtVoNFZs/cseWBNUAwAAAACW20rGnvSxBgAAAACgAwTWAAAAAAB0gMAaAAAAAIAOEFgDAAAAANABAmsAAAAAADpAYA0AAAAAQAcIrAEAAAAA6ACBNQAAAAAAHSCwBgAAAACgAwTWAAAAAAB0YPUH1n8e0a937dKu0vW2H6Y08je7tOtvRjT1yAVc13u7nmC6yfe0a9cu/Xo0mup6aZd27dql9yafJKE2PU88PQAAAADghyC50glYPtf13q4jet99/P0R7fr9YtO9q4Fd70q/PKNP8q9867VN3fp7Sa9pzz/vCb975V/+Qvr9+3r/v1zXr/oWLvt6aZeOLJKm94/titIt6bXfjOp3Az0LJwQAAAAArLhVHFi/ol998ol+9ecR/Xr/u/rbBYHzlEb+ZkDv6h2N/qdB9cS/+2SRxX1iA/C4XW7e63r/t38r7XpH+t93LQzg24L6X5z6RL/qCz/pzCe/0qIhvU07AAAAAOCHaxUH1m2WqrHeFf/Qo8H/9IkGY9+01CovVas9+X/pfUmv/avXNDjwiQbzT5Ow93Vk1/uPnOK1p1kcAAAAAOB79eMJrJessX6Eyfdam2r//pxG/vp3GnypdbLr/yUeGLc1QW+zsFk3NdYAAAAA8Cz78QTWT1RjHTelkf/1femXv9Avfv++3t/1jt75y3f17v8yotfCpuOS/jyicy3LtU3Qnzhh1FgDAAAAwLPsBxRYN/TNf72iw3+qaUySlNZvf/pv9B/+cuN3s/inrLG+XhrQu5+8pnf+4/+kv/+9CXxfy5/RL3Yd0bujrz1iMDFqrAEAAADgx+QHFFgn9Nxf/mv9b/7/qX//x6/0xs/+rf7DX6z/9oubfE+7jsXC28eNCh4LcKdGf60jv5de+807Gnzpc70XTvuKfnXxHf16/4De22IHIHvpn2nPb97RX/z2Xf29m4YaawAAAAD40fgBBdZG91/8a53/p3NSKt3Zgvp+pU8++VU4+JipKf7c1Cb/8ow+yf+TcATw+CjdU6O/1oAd4fudgR5Jn7cu96VBvfObKxo4tkt//5tR/W7gFQ0OSO/91v7uRiFfIlnxGutX8p/ok9hAZ+G6O3z1FwAAAADg++OvdAIW1WlQLZka6127dOT3v9Avfin97W8HtMs10f79Ee3aZYPqX/5C7x/bpV273tP1P4/oXRtUn/lXVzSwa1c0zyfv2s+79P6W32n0N6/pb3/7rkb+vMT6f3lGn3zySfTv4jttNc/X9d6uXfr16Ije27VLu/5mRBr4nc78Unrtv/43XZdkmqvv0q9HpzrfHwAAAACAZfGDq7H+ztgaa+NX+lVeCvs/t9UI/yofNdz+3SfuZVuD+mQgNs+u+PuuJfX9zv6+hCWanrvgemr0nN6X9Ist/6zl91fyn+h3Mq/5eu8vzkiSCeD/+cLRyAEAAAAAK2/1BtZqewd13CJBb7w5+HeivTl3y0BkU/rb/2xqxn/R94o+/6X0/u9dX++YXf9No//xHf39/nd15f+Z0uCSA6YBAAAAAFaKNz09HTxqgu7u7o5WMD8/39H8AAAAAAA8iVQq1dH8MzMz32q+H2YfawAAAAAAnhEE1gAAAAAAdIDAGgAAAACADhBYAwAAAADQAQJrAAAAAAA6QGANAAAAAEAHCKwBAAAAAOgAgTUAAAAAAB0gsAYAAAAAoAME1gAAAAAAdIDAGgAAAACADhBYAwAAAADQgWUPrH2f2B0AAAAAsLxWMvZc9jUnEgmCawAAAADAsvF9X4lEYsXWn/w+VpJIJFZ0IwEAAAAAWC5UJQMAAAAA0AECawAAAAAAOkBgDQAAAABABwisAQAAAADoAIE1AAAAAAAdILAGAAAAAKADBNYAAAAAAHSAwBoAAAAAgA4QWAMAAAAA0AECawAAAAAAOkBgDQAAAABABwisAQAAAADoAIE1AAAAAAAdILAGAAAAAKADBNYAAAAAAHQg+X2s5OHMrGZn59QMgu9jdXgKG9etWekkAAAAAEBHfN9XIpFYsfUve2D9cGZW0zOzy70aAAAAAMCPVLPZlKQVC66XvSn47Ozccq8CAAAAAPAj54LrlbDsgTXNvwEAAAAAqxmDlwEAAAAA0AECawAAAAAAOkBgDQAAAABABwisAQAAAADoAIE1AAAAAAAdILAGAAAAAKADBNYAAAAAAHQgudIJWH43df7En/TK8f3apps6f3pKe46+qk3xSaY+1anT47rzyOVs1cHj+7Vt0eVflN56WwdfflQaLupGz24dO7pVN06Pa9PRxZYFAAAAAHjWrPrA+saFi7rzxiEbxG7VKy9e1PmPt+rY6z3RRD2v6tjxVx+xlCmNnx5f5PubOn9iXJmjh6QPzmm855B2xxarzy6q+MFNST3ac/RtHewx31158acqdL5pPxyTZeXPVKLP23MqHc62TFI5m1f59qAKQ/3KtM1eOZtX+Vr0ObOvoMLezOLLtrJHSsr1uU9VjQ0XNVJbmLTMvoJyKqs4sXPRdf9wVFTOj2rLUEH91bLyl7Z0lt7amIrDV7VzqKD+3u8ynQAAAADare7A+rOLOv/Fbh07EEW72w7s1/UTlzS+zQXBUxo/fU5XppZezLa3Di0McGwt96a33jbLObpb50+c0/jRWHD98n4Vjks3LpyzteFTGr9yU5q6qeKJ2LJ6dutYey36M6Oi8plKLNCtqJwvq3g5FhyroolrWWW3X9VkrV+ZWKAXBtwlF0RWVM4XVd4cD5yzypVyag3V4zLqHyqpX7IB5S0NxKavXv4ut3eZ1GqqStoiSX05lfoeMz0AAACAH4zVG1h/dlHFD6SDx9sD1q06eHRKp06fVPWtt3Xw5R7tPvq2dj9yYVMavxJ9uvPxOZ36yETidz44qWJsyhunT+r6G4d07PWelul046SuSNK2/Soc3dqyrPPa+owG1bIBYUY7w5KHrHKlUus0kxOqbN+h0o4J5Ucr6ne12bUxjV7LKleK18xmNbAvo/LtqtT3XdYv39LocF6Vmlpq1KuXiyp+WDWThN+b2mNtlyrXMsqVclJLrboL9G0t876MRj6sSMpoMKwhNgUMpq49+r56uRirPXe11Dnp9IiqkkZOj6nvzVsquhrr2piKw+Y39UY1/i21/Iu0EGgxWVb+kpRVxWx/bDktLQIetxwAAAAAi1qdgfXUpzr1gWJ9ouP9rGWbfvfEapiXqLVepCb5xoWTuvLSIRWOu2rphf2273x8TsXTf6VjRw+p8PqUxk9fkt5qbSZ+48I53XnjkHa/fkjHlmUnfE96+5Xbd1XF4bxG1NaM26pMVDU4kJV6peyZCVWUNbXJ1Vuq9m5Z0Bogs7fQ1lS+onI+H58iFsA+oVpVW4ZKymlMxeFRjdWy6q/aJuKlfmVsc/LypKspr6q6uaDS4Yykiio7SiodNt+PDRc1MSll7XQjtwdUKuVM0Hx6TH1DfZocLktHSqbmebKs/Okx9Q31L5G4jPqPDurq8FXtPNqvTLVsv69q7PSItK+g0t6MCaYv96nw80lbIBEF92O17KP3h9v+XhPwj072K9cXb23Qvv0AAAAAntTqDKx7XtWx49HHOx+P684bb7YNFrZVB49vbfscH1DMBMztth14+7GDjm16/ZAKr7t1X9KVqSnp9Eld6dmtgz/7O13Rm9ojRQUAz2wzcCOzt6DSXsk1485/qJam4RO3d2qgV5Ky2rG9HAtKW7XUHsdrVR/bFPwJ9O5UX68k9YaBfPV2VapVVMyPRNNNVCSbtsxmN2VW2b7WWuIoLRlTaCAp8/Odynx4S1X16lZNqpzJKyoOqGqy1q+ni1mrulXLaOfP7V44XArXu7N3xBQ2bM+pVHqSHvsZ9faa/2/plW5JtrVBVgN95vv+odKjFgAAAABgCaszsG5xU1f++Fc6eLRHbhCyTkfkbmnibd04EQ1utsk2BdfUpzr/0Qvatk3KvHFIu/WpTn1g0nLngqSeV3XwZ+cWDqb2zDLNwE1z54rUl1X18qgqtaoq8eBV5jdltihTu6WqpIxiAbptuvy9WLT5c9tgabY5tvYVVDosjQ0XTWD6SIvXqlc7S224bNOn3NQ+5/Ptg7kBAAAA+D6t+vdY37gwrsxbrka4R7uP/lTXT3+6yKu1bur8iZMqhv8u6sYSy9z0+iEVjr9t/+3Xtp7dOhZ+fjsKkqdq2vTWfr3i0vLRuDbtaa2d3vT6m3rlj5c0/ojB037QJsvK54saaxuR29T2VjU5UVX2SEmlkvuXU/baqJm+t18D2ysqD4+1BJyViYWjgC+HzOaM5NKiqsaG8ypeXir0zWpgb0aqTepqy7ZWdfUPZp7qH67apu0ZbemtamTUbsdkWXnb3zqzOSPZwgRNTrSH8O0p1JbeaPmVs3nlz1ZsoD+mqrLKlQoa/Lajfvf2KqOKJiafZPsBAAAALGV111h/dlFXXnpTx+xrrsyrr4w7C2qJl3pPdQde3q+Dkm780XxcvBl5j3YfPfRdrvX71ZdTYV8x7GMtydYCZ6TamK7WXFNjxzQHH/1DVf17M8oeLqlwudjaHLu3/bVc7X2s9d0MtNWe9u05lfaaAoEWvX1R0+veQQ1ul67eroZNxjVRVv5DU+8+aNOdGcrplq1NdrXXWUnq26GsyrYZdzZqUt7bq4yqdvAy92VG/UM53bLN602LADNHbkdsn23/tqOIZ5UbGlRx2DZZ7x1c0D8eAAAAwON509PTwaMm6O7u7mgFU1/f7Wj+b79i8zqssGZ6234VDsRH476oG9v2t753uk1Lk283f1uAvpSwObhiA5W1BPjLEMh/CxvXrVnhFDzLTFNs0QwbAAAA+EFIpVIdzT8zM/Ot5lu9gTWeCIF1JwisAQAAgB8SAmusCAJrAAAAAKvFSgXWq37wMgAAAAAAlhOBNQAAAAAAHSCwBgAAAACgAwTWAAAAAAB0gMAaAAAAAIAOEFgDAAAAANABAmsAAAAAADpAYA0AAAAAQAeWPbD2PW+5VwEAAAAAwIpZ9sC6qyu93KsAAAAAAPzI+f7KNchOLvcK1nZ3SZJmZ+fUDILlXh0AAAAA4EfG930lEokVW/+yB9aSCa5dgA0AAAAAwGrC4GUAAAAAAHSAwBoAAAAAgA4QWAMAAAAA0AECawAAAAAAOkBgDQAAAABABwisAQAAAADoAIE1AAAAAAAd+F7eY/1wZlazs3NqBsH3sTo8hY3r1qx0EgAAAACgI77vK5FIrNj6lz2wfjgzq+mZ2eVeDQAAAADgR6rZbErSigXXy94UfHZ2brlXAQAAAAD4kXPB9UpY9sCa5t8AAAAAgNWMwcsAAAAAAOgAgTUAAAAAAB0gsAYAAAAAoAME1gAAAAAAdIDAGgAAAACADhBYAwAAAADQAQJrAAAAAAA6QGBt3bhwUsULN82Hzy7q1MdT9pcpjZ8+p3H38bOLKp44ueDf+c+mNH76om5IunEhNj0eoaJyvqix2qOmqWpsuKxK+PfjprdzXS4qf7ay9G/5vPkXTlNROZ9XefIRqT2bV354TNXamIpu/nxexcvVtuna0lgbU3GJtKg2puLwmKqSNFlesKwW8d/j8y3cQrvP4vuufVsW7sfq5WK0/Y9Kc/v6l5i2ZT8v9e9R6wAAAACeEcmVTsAPw5Q2vXFIez44p1MfH9KxF6Pvx0+f0/WfHdKxHvvVy/tVOPqpTn3Uo2MHturGhXO688Yh7e6Z0viVFUr+s6I2puLwyIJgsDKc10j8i+05lQ5nNDY8qt6hgdj8k7q6eUCF3idddln5fPxzRoNDBfVJyh4pKaeyirczJg1ny6ruG1TmTFFjQwX1h+uoqJy3wen2nEpDWak2ZtOYNcHu7Zat0cTtnRqIp7F6S5kd/YvuksroiLSjoMyiv4YLMPvizdg3f7gq7cgtPt/kqEZqFSlvg1a7E7JHCtpyaVS9Q7lo/WfzKl+Lz5xXfJeF+89tr0vP6RFl3iyZ9ff2aeftosqTJeX6onkzewsq7X3EZtXGVBx9xO8AAADAM4LAWjd1/oSpaZYkfXRORft98aPYdx9J2956WwdfXok0riItAdoiHhFsVUZHVL2mtmDZBsmZhcuuXi5qdHOhJdiTZIPvqsYuSQND0thwXld3FFTYm5H29pqa6yOxILF3UIWh/jCIrf7hqrQ5p4WiILySH5GUVa40oNqliiq1WMBq01m9XDRB7bWi8h9Gy4j+duvu1S1tUZ9uhVswOVFVtVZsnVZZ5Uo5aULKlUrKuoB8KKdsbJtb5jhcUklVjV2uqn+v23cVlYdrGohtc8v+u1zWyOacSuF+zaj/6KCKw2VVSnZdSxSitKR1aMuSvwIAAADPEgJrbdXB42+Hn+58bILs63/8UvrZmzr2ek/L1DcunNR5G4UXT7gvT+rKtt3a8/0k+NnV26/CYdPkeskGwGFw3BaS1cY0entQhVKvRvMT2uECuPD3p0zL7Uld3bxDA2eLUVAtyQSnBY0N51W8XVBhr6TaiIr5WJ1676AKQ3b6zBbpTFH5CRMAR0G4CWpNLbut6bbbURw1/y9/KA0OlaLa8cmyircHYmmJtr1aG1HxjCRVVLydlTbnVDpaU3G0V7nNoxrdnNOWiUllVNHotYoq8dIH93dvVllJCyr8J0d1dWKLevdKWZna+0rNFQ5IAxV7AAAgAElEQVRIrqa/v9cUVhQndqow1FY40tuvwpGy8vminbZfhdLitfTx7aLCGgAAAKsBgbXlAuZNbxzSsRfHdf1nb+qgLql4wnSWdrXV2w68rWMfn9N5maA7agoeW9YKbcP3z/R5HnmSoDYMOLPKlUrSZFn5M9UwYHucidFbGhgyTZ9zJak8PKbMghrViajZdihWU2zTIEna3KedE6PSUEkFVVQenrQ1tK62tqR+u43tNdat2xUPIBcWF0yMjqh6LauKsq0FAU8SeFrVP1yV9hVU2jyq4u0d2jkxod4h0ww9s6Nf1YlRbfl5VbduS31u/9q0L6ixHm4PZSsqX9qi3FC/qmfzKiorKadSKUpt5WzRlFtMlm1QbfdFbUzF01LOfe7LqTQ0puJwWb2lnLJL1Fpn9hUWFh4AAAAAzzACa9sU/M4bh1Q44KLj/Tr2siQdUuF1882NCyd16gsTdJ/641/p2NGeBUu68/E5nfpoStJWHTzwPSV/RWXUHwagTyAeaG3PqXRkQnkXhCleG7owiN1xeEC14bzysSC+kh9pC3p3mKbQkjQ5pvLEVVVv79TAUH9LUFu1ae/bUdXopJRtayq+MN1RjXVm36AyH460hdCmCXa2bVrT3LmknG0iLjtNZrPbusoiBQGtTcFNEFpQQZImpeqHZV3dV1DBNuveMVTRxCXTp9s1FF/QDDvex7p92yYnVKlVVMmPKLMvZwob3qypfLmqXHvw2xdv/m2a5of9rJ3efhVKsc/tTf8X9EkHAAAAnn0E1m1NwSWZUcG/2N3SDHzbgbe1TZK0X4VYP+ttB3br/OlPdefoq9r0ehSIYxFhLa0JKPPKqTRUUzGfV1kmiCwNPaom0wSwmbDvtKldXmCyrPzEDhU2S6M7ejWxaO22CXCrt6tSpqbq5t6lBxBr72Otq5Lru23XlV0wbbx2OKvcUE3FsxVld9xSVX3R96VYFLpUU/DJsvJnTPjtansrZ22/8MlRje4YUKY22boNLQPA2X222Lb15VQ6ElvvXtMMf+xSUeXNJeX6qqotFgjXxjSqnAp90uP6ZAMAAACrHYF1++Blse/Dwcss0xzcjBR+pe11WjdOjEcfenbr2NFXtWkZUvtMC2tSTUBpanJHVO0dVOGoVB4ua+znT9Y0vJ0bUKxyNq+y3OBgo5Kyyh0dUzFf1M5Ys/PKmbzyymhwKCNVR6XNj6m2DoNbE9xvGc6reCmjqhbpb7yY3n4VDkuanHj6jevLqVRSWNvrBmUr7K2qnJcGShmp9oj3hIUy6rcjgoe15OF2mZry7JGScn12MLLRitSXkZRRb8sxqWrs9C0NuGb1bh+frajQPjDdtfaR2aXMvgEBAAAAqwmB9YLBy87p1EcvaM8bX+rKRy/o4PH9tqba6dHuo29rd/j5ps6fntIeAunHa6mxzqtsBwrbMjyqam9OhVKfxobzytfMaNoLmfkM23e6d1ADqmpyQspsLodB9cL19pp3Zsdft9UnmSCxqp1HF69rDQfymsip5JqZq6JyTaqqqsy+vtZa2vam4G3Lq95+xHuqn1Bmb8H0C8+XpSMlU1tevaXqwmHJJEkTZ/OqXMtocGiRH13Q3s4VBKiiW7XWAc+ql8u69WZB/bLN9z+Mtqn9lVuPHQUeAAAAWAUIrNtqrDe9cUiF46YJ+O7Xb+r8iZM67ybd9q+054v/vKC2WmqrsZaotV5MvMb6SFaVMxWV8xUTfEla0Gd7KCepqrFwAbG+zJJcE+Tw/daPDOCyypXcEF6RihsVfIla8uzhnLLDNQ3YkcrNYG2uxt0Elvl8NXwt1qJNwWNNueVqyZd8HVXb67YULwRwzLK3DJXUO5pX/oxbrt3+MCg2S99xuBQG+OF7q3sHzTa3pM01NVfLoHSZfYVon0+WbSBtCjYy+woqlaKihcrZsip99hiF6WhPe7Ts7JHFonoAAADg2eJNT08Hj5qgu7u7oxVMfX23o/mxvDauW7PSSQAAAACA70Qqlepo/pmZmW81n9/RWgEAAAAA+JEjsAYAAAAAoAME1gAAAAAAdIDAGgAAAACADhBYAwAAAADQAQJrAAAAAAA6QGANAAAAAEAHCKwBAAAAAOjAsgfWvuct9yoAAAAAAFgxyx5Yd3Wll3sVAAAAAIAfOd9fuQbZyeVewdruLknS7OycmkGw3KsDAAAAAPzI+L6vRCKxYutf9sBaMsG1C7ABAAAAAFhNGLwMAAAAAIAOEFgDAAAAANABAmsAAAAAADpAYA0AAAAAQAcIrAEAAAAA6ACBNQAAAAAAHSCwBgAAAACgA9/Le6wfzsxqdnZOzSD4PlaHp7Bx3ZqVTgIAAAAAdMT3fSUSiRVb/7IH1g9nZjU9M7vcqwEAAAAA/Eg1m01JWrHgetmbgs/Ozi33KgAAAAAAP3IuuF4Jyx5Y0/wbAAAAALCaMXgZAAAAAAAdILAGAAAAAKADBNYAAAAAAHSAwBoAAAAAgA4QWAMAAAAA0AECawAAAAAAOkBgDQAAAABAB340gfWdj8/p1MdTTzTd+c/M3zcunNP4YrNMfapTJ06a5X12UcUTJxf+O/2p7rhpL9xcYj03dd5N96yrjal4trLw76eZrjam4vCYqgtmqqgc+75ytqix2sJFV87mlc8v8a8lPVWNDZdVCf+/2LLa1lEbUzH/BNNOllW8XI3+/4jtr5zNqzzZ/v3SaXpaLctv/UXl/MLfqpeLi6SnLe3xfTpcVnl4kX3tjtUSx7p6udh2PAAAAIBnW3KlE7A8bur8iYu6seD7cyp+1PrNpjcO6djrPU+19BsfjWvTW/ulD87p/Ftvq3BckqY0fuGmth14VZueeElbdXDPn3Tq46mnTsMPTWX0qnYOFBb/7WxeEztKyvVJ6u1XYUdZ+bNS6bD5u3g5o8LPJ1U8LeWG+pWRbJA90hJkV/Ij0YdreZlPGQ0OFdTf2/53TG1MxdHY58lRjdQqUt4Gd/m8JCl7pKAtl0bVO5QLJ61eLqr4YZSKsp1W2wc1ePtWy7RSVWOXKqrWKjJTVZT/UFLvoApv3lL59oAKP4+mzh4uSWfzKqukgdtXVb1WdUkJ06TtOZUOZxfdr0upnM2rfM1+uJZXXlL2SE464wL2rHKlkrLt05oVKx//5D5sz5njVepX9XJZkz/P2f1cUXm4poGhfmVqYyqO9qpg0xs/J6p/uKrMDvN3Zm9BpUl3DjzdtgEAAAA/RKs0sN6qg8ffliTd+fiibmzbr91h3HpT50/8Sa8c369t7qvPLurUF7sfGdzeuHBOd944pN1TF3Veu7Xnj1Padny/rlz4VONXxnXF1mxfOTEuSdr21ts6+HJsAVOf6tTp8bba6ZMqSpK+1Pi2Q7E0PmNqYxrVgArtAa1sLahyKvVJpqbUBXeVKGhzAaikYn6kJYjT5JjGMv1hsFy9XNTo5oIJ0r+lyoRsYFnV2LAJpE14V9XYpdZpM3tzGrw9qb7DsYB/tFeFwxmNDd9q2w+TurWjoNLejKmxvj2gwt6M+W2yvGhasodtOm4PqFTKmjS0pOnpZQ/nlM2PastQQf3VsvKXtmigTxrtHVTBFVzE1l9SVWOXq+rf69YYC5YXLL2qydtb1Lf3camoqna7qpFhVwAitQft7hzIHil1dDwBAACAlbZKA+uYbT+VPvpUd2xN8o0L48ocPRQF1ZL08k+16YNx3Xh9/xK1zTd1/Yu/0p4e6cZH0sEDr2rbZxd1/rNXdfDACxo/XdPBWKB+5+NzumL/f+ojE3EXv9itY8ffjpb/BMH8s6GqsdMjqm7OLfilcjZvguqwVtLUlD5SS+1yVWOXrurWm31Sb0aqjan8YVXVeIDWUqPbHsjFbHfpq2jiWkWVfCzEc3/3ZpWV1Fo+kFH/wKSK+by0L6edE7c0MNQvLdJgvfqHq6p8OBIWEsQLDLLbs9Lm2MSTZeXPVMLa7JEPKxr5MPZ7LH1PF3hGhReVcF9UVDybVVZbFp9lclRXJ7aod69sLXZZlVq8hUCsJUBtUlevjWgkP/KYdGXUP1RSvySpqrGzscIJAAAAYJVZvYF1Ww2xq0mWJN04qSv2T1OzvFWvbLuo659JexZZ1J2Px3XnZ29qk6RNB/abL1/er4Nt07labRdgb3r9kArbPtWpj3p07IB0/sRJ0zy9Z7eOuRVNud+3drzJK6F6uawRZRYGTNfKKi/RjLm9eXXI1qgWDkfLvvVmQbnMmIr5UWW2V7VzqBQ19W5r4m1qXx8nHtwvUmM9PLpwlt5+FY7cUv5MWSOSMperyi5SY5vZW1DJfb9IjXXxdmzivpxKJVMzbP5+bMKfULR9rbX7JuAuxpvT9w6qMNSr0UtblBvqV/VsXkVlJeVs7blROVuU60Je/cNVZY6UlLtd1OiELRxQazP9fL6tSX4sGF+Y1m9fMw8AAAD8UKzewFqStu1X4QkD1m0/26rzf7ypPS+1/zKlG3+UXnnL1CzHa6Eladtbh568Fq5nt44d7dGV01NST6/0xy91489/p1feOPSkS/jBqd7OKHd0i0ZtPBoGzY/oG9wSgEph7W32zXiNZlWTE1VVannllVXuiFSeGNCO0bIqh9uDsarGhosaiQ02lj1SUk5R4CcpDNwz7f23432s29Ia9kHenlOplIu28fKAdi6yba19luN9rBfdFQv2Qasl+ow/RmsaYn2s7fZXzxZVG7DLnSyrUquokh9RZl9OOydGpTdrKl+uKre3/cyuaPTDqnTEftyRU2kg1q+6rY91ONfoVWW2Z7VzIBfbFlOoQA02AAAAVoPVHVg/jZd/qm0f/Ek32gPrG+O68uJuFWyL7U2vH1LhdfvThYvSy9KdK3oyU+M6dUJSz27t6enRphsXdX7b/nDZz6Ls4ZztY13T2HBeV3cUVBqabB0szFqyptqqnHFNvG1AOVSQYjXKpT5JkxPKD4+ZALl6S9Ww4XZU+1m9XJRbfWZfwdYa29phZ3tOpcOZsMY6E5undftKKsVqxl0tcKGvqrGJxbbCpr3qaqyrret9hCitdn/EaoqfRnZHVtIOFTaPavR2RtqRU66vovKlRSbuy6l0JFa7vtf2875UVHlzSbm+qmqupn1yQtXettYJLcdgEa7//eGMxs6OqXq4XxnbMmDL0QKBNQAAAFaF1RtYT9Wkl56mefVWHTy+VXc+Ptfae3bb/jCQNszgZ5k3vtT1l97UMUnjkjT1qa7ckF55Y5FF37io4mnTx3rPx+d06qNxXflsv1nnga3RwGjPcIAt9UZ9amtt73EKazLbaqqlhU2mQ7Fa6Hw+qm3uyyk3UdRkzdRuZzZ/l6FZRv12lO+WuuPqLWlzh6Nr9eVU6NPCfRNfzYfFWP9sk57BgaddkRmALTeUlS6PSjty2jFR1NjtjCqbdyintt7hYU25qV03/aYz6j86qOJoRerLSMqot1dSb840AY/NXpmoKLtjYf/6MC2nr2rnUTMauOurXpVdz1PWxAMAAAA/VKs0sJ7S+JWb2rRn/zIse6sOHpfOn57SwaMmEt69Ryqe/jvtOfqm9MFJndJuHTvqmo1Le46+rU0fndSpE+Pa9MYhFY5L46fP6XpPj658PKU9ekGbnumg+jEeV6u5qPjgV62yh90rnFpexhW9CktS1jZXbglWewe1WJw6cTavyrWMBocWTbzGLlWUebM9eFwiCI+7PapivqLq9pwWhp72fdU1qXq5T4W9j+5nvXAguKVE6XJ7J3s4p7HhsgaPLjLvUv27e11f94pu1VoHdKucyasiKbtvTKO3B5ccwKxytqirOwp2tHg7yJ0yyvRWVbk0pmofg5kBAABgdVidgfXUTV1/cb+Ovfz4SRd/57V7DZZaBjqL+mxv1cG3pnT+4ym98udzOv/Fbh07bkcUP/q2dn92UcULN1U4EDUb14G3VQjXN67M0bd1rOemzp84p/M9u3Wssy3+YentVeZaOT6wtenjGxNvFt7+m52ird+0berd0hc5q1wpIxNCPkVT8DBoNOvfcbgUBr5h/+TeQRV6Y8HhIsFj1Jc5q5wdcM0F/apK2jygwmG75Fi/7uyRklQb09XNOZWGMhobbq+pjrNNyw+XVLhcfMJ3P7uRwW1hQW1SVzcv/jq09r7dZn+pZd9n9hVa+rSbWu2KyvkJDZRyiwfHtTGNKmf6ueerdjtKKsUHnsvnVf2W/cgBAACAHxJveno6eNQE3d3dHa1g6uu7Hc2P5bVx3ZqVTgIAAAAAfCdSqVRH88/MzHyr+fyO1goAAAAAwI8cgTUAAAAAAB0gsAYAAAAAoAME1gAAAAAAdIDAGgAAAACADhBYAwAAAADQAQJrAAAAAAA6QGANAAAAAEAHCKwBAAAAAOjAsgfWvuct9yoAAAAAAFgxyx5Yd3Wll3sVAAAAAIAfOd9fuQbZyeVewdruLknS7OycmkGw3KsDAAAAAPzI+L6vRCKxYutf9sBaMsG1C7ABAAAAAFhNGLwMAAAAAIAOEFgDAAAAANABAmsAAAAAADpAYA0AAAAAQAcIrAEAAAAA6ACBNQAAAAAAHSCwBgAAAACgA9/Le6wfzsxqdnZOzSD4PlaHp7Bx3ZqVTgIAAAAAdMT3fSUSiRVb/7IH1g9nZjU9M7vcqwEAAAAA/Eg1m01JWrHgetmbgs/Ozi33KgAAAAAAP3IuuF4Jyx5Y0/wbAAAAALCaMXgZAAAAAAAdILAGAAAAAKADBNYAAAAAAHSAwBoAAAAAgA4QWAMAAAAA0AECawAAAAAAOkBgDQAAAABAB5IrnYDld1PnT/xJrxzfr226qfOnp7Tn6KvaFJ9k6lOdOj2uO49czlYdPL5f2xZ8P6XxCze17UDbMt26L0gHD7yg8dPj2nR0t+6cHtemo/ulC+d0541D2t3T4eatahWVz0q5w9nFfxuuaWCoX5namIqjvSrEpqteLmp0c0G5voVzVi8XVVZOhb2Z5Us6AAAAgB+NVR9Y37hwUXfeOGQD4q165cWLOv/xVh17PRbR9ryqY8dffcRSpjR+enyJ375U9QstEnCb9R382UWd/2y3MpLufHxJ1T2HtFtTGv/iBW1aJUF15Wxe5WvuU0aDQwX190pSReV8WRVJ6h1UYahfJpStamy4qJGaJGWVK+W0WOisWk1V9T4+Ab39ym0uqng5Q7AMAAAA4Hu3ugPrzy7q/Be7dexAFMFuO7Bf109c0vg2V1s8pfHT53RlaunFbHvrkJYM16amlq7p/uyiih/clHRTNyTpI0k6p/G3/krXp27qzomTdsIe7Tn6rNZeV1W7LWWPlBbUDlfOllXdV1BprzQ2XNToZL9yfVL1clkjm3MqDWVVOZvX6OWqsosFxNVbTxZYS8rszWnncFljP3dBfUZbiLEBAAAAfA9Wb2D92UUVP5AOHm9vor1VB49O6dTpk6q+9bYOvtyj3Uff1u5HLmxK41eW+qmmO1Nf6sbUqwsD45f3q3B8SuMXxlX94ktl3jLB840LJ6U3Dqnweo/ufHxOV158VoNqSarqVm2xILaiiWtSZof5oW9HRiMTFakvo8mJavh9dkdW5UuTqu7NLCi8qN6uStcmVFF28RrtFhn1DxVa5/35I1L9YVH5D+PfPKLmHAAAAAAeYXUG1lOf6tQHivWJjvezlm363aPzJ85p/Ogh7e5Zota6Z7eOtffHbnPjj19qzxsv6PqNKe1+vS06/uyiih98qT1H31Tmg0u6/sFJs45tW7Xtz19K6tGdP0uZxduRPxsmJ1RRVZXhvEYkaXtOpf+/vft5iSPb/z/+ik5uMndg+HLbuV0I7j4G585Al0MLA5GQnYgaCfEfkFTERS2zCbQrC9xkWQsxFfwHHEKiQdxJ6EAgzVgNN/dKXApSPWNfLncx0Vyu+S6quru6bX8klU4n+nzAMOmqOnVOlb159fvUqeqzzg2Be6ekIIrPRndsR2lbgdQQrAMVC4bGRgIVipLZ5FnpowUq7RhKH1PsNkZyTBsHAAAA8FGczWCd+lnT92ofd5/ntXvtRsNz0L2auNfb8Dm+OFm40Nmxyi+0/vv3mrjZKy3ktXm1YXGzSsV64Yl0a1LT1dwdPrO9Kenvm3/Rjzff/xI/GxlLrlv5ED477azmlBtOeN7iipa7s3KHJW92TUFm6Ojp+IcE2laP3iuLAwAAAMAHOgev29rS+qvvNXE1pTDQPg6fd06srPwveXVd/1ldSmnwurT+vD6I7z5flDO3qPVyWesL9+XM3ZfzaEuKjl+ae6zda4NHLHz2JTKU7o6mYUuSAm0Hsd3d6Wo4rh0jKd3TEJp9eQ8CjY2akkyNZl9qpXhMt6U1OZVF0iQFqysKspn3COIAAAAA8OHOfLDefJSXcasynTulwam/6e8LL5osOLalpbko/M7dlzN3fADffLSo9e/GNXEl2nBlUD++WtTS69oxXVdv6HoqpetTd5W7Nxn++1pUJU+l1aVeXW+cPv6lKXqyH1YibfhctZkNA3G2vxKgAxULQbTdUCZrVIO1X/Bl1IXgQGuznoIRK1qETDKGR6UHjtZKDX2XluXYtuzZbY1Gz0cHq46cwoAGdhw5q4EAAAAAoNXO5lTwitePtf7XG+EU7OoK3aHdxlduHfme6sM2H90PVxufik8lT2lwalxLc/c1f20yOndKg1M3lF+4LycqZndtljX4XT589vrW91qfeyydst/PUsaSVbBl29HnfktuNAfbvG2pYEeLhMW2G8OWxmadsE16TLnb1Tp2+Bqubktu3fPPpqyZkpxZW9uV1ceL4aJmtQXHoraqvNYrI8068roPr1YOAAAAAB/ThTdv3rw77oDLly8n6qD87/8kav/hHb/Q/EK+VpnuG1fuZi0I7z5/rM2+8WNX4959vqj5Z+W69puP7mtJ9edq6DhcCO27ceV++IecX7bUd+tutbK9+3xR86++ry2KVn6h+YWSrrcpXH/7zddt6LWZMBi/zB63qFj4XuygceGx0pqc2WUZh1755cubLen/upe1tNF4ribq3rUNAAAA4Etz8eLFRO339vY+qN3ZDdY4lc8nWAMAAABAMu0K1mf+GWsAAAAAAFqJYA0AAAAAQAIEawAAAAAAEiBYAwAAAACQAMEaAAAAAIAECNYAAAAAACRAsAYAAAAAIAGCNQAAAAAACbQ8WHdcuNDqLgAAAAAAaJuWB+tLl/7U6i4AAAAAAOdcR0f7JmR/1eoO/nz5kiRpf/+tDt69a3V3AAAAAIBzpqOjQ52dnW3rv+XBWgrDdSVgAwAAAABwlrB4GQAAAAAACRCsAQAAAABIgGANAAAAAEACBGsAAAAAABIgWAMAAAAAkADBGgAAAACABAjWAAAAAAAk8EneY/3H3r7299/q4N27T9Ed3sO333zd7iEAAAAAQCIdHR3q7OxsW/8tD9Z/7O3rzd5+q7sBAAAAAJxTBwcHktS2cN3yqeD7+29b3QUAAAAA4JyrhOt2aHmwZvo3AAAAAOAsY/EyAAAAAAASIFgDAAAAAJAAwRoAAAAAgAQI1gAAAAAAJECwBgAAAAAgAYI1AAAAAAAJEKwBAAAAAEiAYB3Zfb6opdcNG18/1vzz8uGDyy80/2ircaPyC4+12aoBAgAAAAA+S1+1ewCfn7LyC3l1TY2rT5J+y2t+bku76tXEvWgbYgKtzTpaLkUf+y25t836I1YdOTujte2lNTmzywp0dBsVPdkP/Ia+DI3N5JT5teF8J42wsf/GfU+rI5ExklNu2JAk+Q9trXTXPidx3BgO3cP0mHIzQ0reqy/PXlHPTE5D6Q857rTt30/lnsfvtRTeb28j/BtX+4u+K8YdV1bmiBPGvivxc9b/bU1ZriWzsd2Tnqb32n9oy1Ple3nydxwAAADnG8FaW1qaq1Sa72v+2rh+1JaW5u5H+3s1cW9Suwv55s3LLzT/LKXpm3/5NMP9zASrnpa7LbkzpsIg5slZrQ+n3oak/nijbQWnCo9NwpAkDefkvs8Yd4LmO0pr8p5KYzNuGORKa3JmHXndrqxMoNKOpO736OhDxhDds2AkJzceCGf1kcL1aZiy3E8cFNOGVCgqGDaia/RV2Dh8WPDrS6nfVFDwpUyzMfryHgTh31BrcmZX5A9bMktr8p4astycTEXfw9m16j2thu50z+FTFr267+xJ33EAAACAYK1eTdy7q93ni1r/blI/vrqvpXJUnX79WPO/D6pPUhiry8ovLGo9mh3uzKV0/db3sXPVAnnXtUlNX0192ktpA6Mu5JrK9ksr0adg1VEh68qSLS/WJtgJpO7sB4fGWvVX8uwVqV/yNwxZMz1aqVbCo8pnEIUkefKKDVXPYFuBDKUr1dH0kHLuUNSHF1Yon3pa+2lU27OxflxLRrwaGq9g1lXjox8GiseMoViQnx6rC2nGsKVcNdAfUc2Oqq1j3cta3oi239iW88CvXXt0XdsrjuyNILY9POd2tyl/I9DYTHh9PbF9yyVJ/WbdjxrVH0nSpkz50o3oWppd80l/xO4BDexsKxxVdB/6TZkb8R8gAhUL0sDUqLTgaa1kHq6cFwvyZSiblqSMBtLLKhQlMzOkXOzXFzNrSk8qbTx5spQb8eQUGgfmy3sgjY0YWt6p/D2O/o4DAAAAEs9YH9J3c1LXj8zDKQ1O3VVualBdfePK3ZvUYN2xYUjP3bt7LkL1Yb4KG4YGfgpDojGcazJ9N1CxEEgbnmzblm07WisdOlH1fJ5tR8fZclabVX0DBd2WXNeSVpalkZxc11VuRFpe8aWMJatfUr91eCwZS1Z/rQ+vWNtlDFsaS0vGiBWFuVo/ZtGTUxhQznXlujmN7XhRW1/e7EsNzLjRGAJ5D48fg1/wpe50w48MhoxMVMktBUpPhedzXUtm6aWKlftVWtZ2trJ9WU4hG44nHejlr5V7FcjXaO2eLKxVp+D7Co+Ph9Vg1dOyxsJry0rVyfhFT96GKct15U71KKj+zY645hOlle72VSjW7oOZzdYfUirqZfeohmpD0jQAABxGSURBVNKGMlnFrqnxVD1196/Z7AC/4MvIZsLjMtaR1Wb/oSfdsXTUrPPG7zgAAAAgUbE+2asncp6Vpb5x5do9ls9aoLVZT7rjnvA8rqGhGVdDlY9FT/asp3TTKufpqp9GdxhyzKwp74Ej+2lYmXWHTx61edsNq5GlNTmztuyGam+zfoKdQCr5cuzl2s6CLxklBQrkz9qq7SnIP+YKjG5D2jlmgGlTZl3V2lBt8rKpbCbalpaUDftJN0xfN6Ptxk8DMp5uK4hiY+V6asIfPWoBNCszqs36BV/qj/4W6bAyvC1JpaOv+aS/m5k15RV8KSMVNkxlb0vxAnLw60sZ2Vx17FqITx0/vWDVCZ+XPmnqdlTJdjNS0PRvctrvOAAAAM4bgvVJfrih3LmsPr+PyiJXrqz3DRxGjwy9VKkkKWlYyVhy3cozyraWo2nTpxJNA/cf2lr5NdDQSaG82QJWpTUd9WPAUTVco9uQCqXalGhJlenf2zdcWQoX5jLvuHIz4X3+/Jxy+nejTFbmg4L8ouT3Z2UpHqx9rTwN5MuWXd1mqFgaktH4PSlt192/+A8GlQXo3Nsnx3G/4Esbvuxqh57sh5W/c4LvOAAAAM48poLHbP5yX86h12hFGl+xtflYztx9LZ3792v58uyCsu5pV44OQ2Nl+nfw60sF6QFlPkJY8R+G07mN4ZzcOyfHvGDVkW17h0Lv4Upuk/0bK9E1BFqbjaapp9My5GslmrIerDqyZ2tTr5vKZGWWluXFprlXpmOPVuYjp6N/FwtHBvTj+IWwVXive46p+BrKZA0FhWI45lh/ZtaUNqLPpaJeVp/5/oBrrjKV7fe18iQ4fM8rz567lWnwsen9cZmsTAXhDzOlol6WKlX88PtQyLqnXmTMvB3vy4j9ePK+33EAAACcN1SsK6uCpwY1fe9ndams/MI/tVuWdGVc01eiw8ol6a+92nwUhum+W3fDfeUXmv+tjcNvM/9hGEx9O1ZXHDluxWRDQ1MDYUU5+jz2kVa/Nm9bKtiVCqehsRkrPG+3IT09vHCYMZyTtWPLaxx7NL063S0F0eJldTKWciNO7Rr6K9OMDVkzY3JmHdlPpbCSO3TsGCrVXs+utFH967YyWZkPvHDaef+YxtK+tk+XWmM9FGTbnmr3OlDxiGONYUtjBSfqLzadO2PJ6o/uVdqUWQ2Y5pHXXJmCfVywDafvBxr7yZBicTx8Jnq07nsRTmVvnGZuyrpTkB39Lcw7brivsmDcRqzi/YGvMXv/7zgAAADOmwtv3rx5d9wBly9fTtRB+d//SdS+HXafL2r+Wblha0rXp+KLldWvEH5IalDTUz+rq3XD/Ci+/ebrdg8BX5rSmpzZlxo4xfux11YNDRFAAQAA8IlcvHgxUfu9vb0PakewPucI1jiVYvisd8WpKrbFNa0ZQ0yfBgAAwCdDsEZbEKwBAAAAnBXtCtYsXgYAAAAAQAIEawAAAAAAEiBYAwAAAACQAMEaAAAAAIAECNYAAAAAACRAsAYAAAAAIAGCNQAAAAAACRCsAQAAAABIoOXBuuPChVZ3AQAAAABA27Q8WF+69KdWdwEAAAAAOOc6Oto3IfurVnfw58uXJEn7+2918O5dq7sDAAAAAJwzHR0d6uzsbFv/LQ/WUhiuKwEbAAAAAICzhMXLAAAAAABIgGANAAAAAEACBGsAAAAAABIgWAMAAAAAkADBGgAAAACABAjWAAAAAAAkQLAGAAAAACCBT/Ie6z/29rW//1YH7959iu7wHr795ut2DwEAAAAAEuno6FBnZ2fb+m95sP5jb19v9vZb3Q0AAAAA4Jw6ODiQpLaF65ZPBd/ff9vqLgAAAAAA51wlXLdDy4M1078BAAAAAGcZi5cBAAAAAJAAwRoAAAAAgAQI1gAAAAAAJECwBgAAAAAgAYI1AAAAAAAJEKwBAAAAAEiAYH0a5Reaf7TV7lEAAAAAAD5DX7V7AC3x+rGcX+qDcFcqpd3vBpW72SuprPzCE+nWpAZTkrSlpbnH2jzqfKlBTU/1HtnX/O+Dmr6aarJzS0uPpImbTdqWX2h+Ia9dSV3XJo9oDwAAAAD43F148+bNu+MOuHz5cqIOyv/+T6L2H2r3+aLWv5vUROqF5p+lNH2ztxqCr//2RLvXKqG6QfmF5hf+qR+njtjfJLQ3qgvKleDdt1UN0qFeTdwbV9+HX+JH8e03Xyc/SWlNzuyyAklKjyk3MyQjtjtYdeTsjMq9bUry5dme/LoTGBqbyWko3XDeoif7gd/kmEBrs46WS+Ee844rK3Pc9sP8h7a8jejMIznlho1jt9ddo0xZriVTjX3GtwMAAAD41C5evJio/d7e3ge1O5sV68jmL/flSFLfuDYf3dfSpiRtaUmSNu9rPTWo6amf1SUprGIval2Dmr43GW1TFKRVF4KbBue6z7FBXBnUj+t5bV4d1/S9n6ONW1paKNf6+KL58mZfamDG1VA6DKYrxaFqoK0G1f7K8aYs1622DlYdebIOh2r58h4EGovOG6w6cmY9pV1LxqqnZY0p5w7JkC/PdrQ2k1Pm1+bbmwV2byMKwaU1ObOe1n7KaSjw5O1E7ePb04HWFpalkZzcYSO8poe+3NumglVPy92W3BkzvPbVQOaw0XgxAAAAAM6wMx2s+27djSrWUt/Nu8opVsm+Ej8yCtVlScprfi4fO8m4cvfqp3LvPluU8yy+Zavuc9e1wdi+lAanBpVfuC+nXD++zWo/KV0/qkL+uSsW5PePyorCq3nbrVZsg1VHhawrS7a8Zm1La/KeGhp1mwVRU5Zbq/0aPw3IeLodnncnkJHNRFVxQz3pQNuBlD5iuxqDtdEjQ9vxDUqnJaUtuXUV7mi7DKW7G07RbUgKVCwEMrJhj2bWlPekqGDYENEaAAAAOD/OdLA+vZQGp+6qGodjVequcvnQ0aetWO8+X9T8s3IYzuPnjyrW16vV8i9doTa9OzYV3BjOyZLkF5q38leWZdxxTzV1Ovj1pYL+UZmSgm5DQaESYANtl6KwfcR2ZRpibnpIuZk1ObYtLz2mnGvVBeFKld0YyVXHZt52pYe2bDucYp6Lpp5LlZAdKW0rkAjWAAAAwDlypoN1bSp4b8PiZNF2RVXtSvW68vx0rEq9u/lEzqvvY1PGT6/r6qRyfWHFXIoF7cr45vL6oqvVioLrhqGs68qKnjf2VjO1Z5OP5KuwYSp7+xSdFD05hQHlZsKYawxbGis4cuxlSabMaJr5UdsPjXnVCc/nuuGUb9vRQGzKuHnblRtdi6OccsOBPNuT7rhyb4fB2y5Ycm8TnwEAAACc8WBdmwqe0sS9cUkKn7XWeLQ6eEV8Krikzcdy5uJnymt+rlR9zvr9poI3GVNsGvrmo8XYgmZfHqPbkNI91enX6e4obJ9Usy0W5PdnZVU3xBcBqy1UVl34bCZe1zY0NONqqNrOl6Lp2M22xxckM++4ysanjKczGkgv6+WvgYbqfgyIXUuppECmRqNp4mbWlB4U5Gs07CleFa/eCwAAAADnxZkO1lJZ+V/y2i1LzqNx5a6Vta5xTSivfLk3ViVumAqusvILeXVNxVftLms3Ct7HTgWXovde/ytcifysy2RlPlhRsTQkIx2otKPqM8fH8Qu+zKwV2xIPy6HKwmaNleG6VcaLK1oumbIyR283M67cePudw1PGjW4jXIW8kK2uXl7YkMw7ppT2ZWhZhaJkZqIgnR6QIUNG1tBy9EOCX/BlZEcJ1gAAAMA5czaD9evH0ZTrJzJuDarrVUrTN6WlufA1Wn0paWluUfn4FOzovdJddRXl2ErhUz+rKyUpNa7pK017rSmXpL/GQvXmYzlzKfX1SZvPatPQQyldv/ZRrrpNTFl3CrJnbS1LUr8l98Rp4IFKO4Z6jjustCbvaaBAjuynsb5cS+awpbFZR7YtVarbpiQdtb2BMZyTtWNHU8aj12plJMmSVbCj9vHtpqyZMTmztuzqOKJXisX7TI8px/RwAAAA4Nw5s++xrg3gheafldS1+S8Zdc8yb2lpLi9jalJdz+5r6fcwPO9WXssVfxVX9Ox14zTu2nniz29Ldc9NxxdCa7Ii+eajxaPfqf0JfJT3WAMAAADAZ6Bd77E++8EaxyJYAwAAADgr2hWsOxL1CgAAAADAOUewBgAAAAAgAYI1AAAAAAAJEKwBAAAAAEiAYA0AAAAAQAIEawAAAAAAEiBYAwAAAACQAMEaAAAAAIAECNYAAAAAACTQ8mDdceFCq7sAAAAAAKBtWh6sL136U6u7AAAAAACccx0d7ZuQ/VWrO/jz5UuSpP39tzp4967V3QEAAAAAzpmOjg51dna2rf+WB2spDNeVgA0AAAAAwFnC4mUAAAAAACRAsAYAAAAAIAGCNQAAAAAACRCsAQAAAABIgGANAAAAAEACBGsAAAAAABIgWAMAAAAAkMAneY/1H3v72t9/q4N37z5Fd3gP337zdbuHAAAAAACJdHR0qLOzs239tzxY/7G3rzd7+63uBgAAAABwTh0cHEhS28J1y6eC7++/bXUXAAAAAIBzrhKu26HlwZrp3wAAAACAs4zFywAAAAAASIBgDQAAAABAAgRrAAAAAAASIFgDAAAAAJAAwRoAAAAAgAQI1gAAAAAAJECwBgAAAAAgga/aPYDPyuvHmv99UNNXU9XPzi9b1d19t+5q4oqk8gvN/yJNTP2srmjf7vNFLelGrS0AAAAA4Fy48ObNm3fHHXD58uVEHZT//Z9E7T+JhgAtSeobV+6Hf0RBW8ov5NU1Na4+SZuP7mtps3Zo17VBdT3La7Ox/c3eTzD4ZL795ut2D6G1SmtyZpcVxDYZIznlho22DQkAAABAa1y8eDFR+729vQ9qR8U60nVtUtPf5cMg3bel+Wexna/zCq6Pa1CSXj/WksaVuyctzeVlTE2q69l9/f3WXeX0WM4v0sS9MICjvYJVR85TQ5bryqxt1dqsI7swptzMkIjXAAAAAJIiWJ9oS0vraV2fCj9tvpImbkpLC2VdvzeprvILzW9Ku5v35UQtluYWdX1qUoPnZFa4/9CWtxH+27zjysroUKW4UiUOVh05O4bMDV/BSE654UCe7ckPj9LYTE5D6cPnrVaZi57sJ5IpX363JXe0FOsn1r7oySkMKOcOKXhoy96QJFNjI4G2b7iyCra81Ux4zrqx1p/DfuBXr7PZtZn9pvydnmpIP3nMExrbWdLLbOx+PDVkuVYs/Dfcv3TsR4D4mPotubdNSb48e0U9I4aWn/rRNYxqeza8r1ToAQAAgNYiWEd2ny1GwXhLzjNJfePRnl5N3NrS/KMtTd/sVddf/6X5uceSpM25vPquDR6a9r35aFG7n3j8bVP05G2YYTAsrcmZ9eS7lowgLct1a2HwSVFBJdxtSFnXlalAa7OedMeVm4mOW1hTZmZIWnXkyZLrVoKjp7WfchqSpFKgnhlXVjoMshrJya2E1BVfQ7dN+QVf5g2r/jylNTmzgQZmJHN0TCsL4ZiCleXm51BWrmtJiqrfBV/KGFpbqB3vP7Tlq6d6zGnGLP0/bdsr8oezKjQL1QoO9eGtZpT7qSjnQaCxGVdD6bDy7qzmlBsO2yzvjMp1rfD42YIs19XoqiOnEF4n0RoAAABoDYJ15Nip4KmfdV2Lypd7NXh1UrnvHstZT2t66uewYv3ssZy5+NlSun7tE19AmwQ7gdQ/GgbD9JBybrQjYzZUXXtqjdI9UcgLtF2S/Ae27NoZVSwNKb0TSBue7NoOBb8GGuqWJEPpqKptZk15DxzZT8NKszssSb4KG6aytwMVn0hjU1FsTadlVNqWaudtfg7JzJgNFWJJpaJelgwN/GRU2+pJ7F6cYsySKWumJMf2ZNxxG0J15b7E+rgdHVNcUZAeUCYdni+TNbS8U3t63MyGZzK6DUnZsE03cRoAAABoNYL1KXX9Vfp7WVKqrPz6llTe0vyCNH1L57tifYRwSrQZPt8cTYVurn76d7W9jpjCXGxonrHkulFFedbWcnpMuZnKycKAmq18LJUURKE++PWlgu7RMOA3PUdGxVlHyxpTzg0r387Oydd9qjFLUrAd/uCwE0gZwi8AAADwJeM91u9p9/kTrX/Xq77UoCZ++KfWNyVtPpYzd7/639Lmiac5M4xuQ9oohM9Il9bk2I7WomqwMRJWsv2Cf1Rr9aQDLa9E+4ue7Oh5a6PbUPB0JXr22pdn2/KaBFT/YbjdGM7JvWPWnbdUqvxfqk6vzmZklNbkPTVk3TaPOUfIvDEkQ4GKhagynM5oIB3o5a/h5/i1nXbMki/vgWS5OQ0UvOr9arwv1T4e2rIf+pLRI6P0UsXoeoqFIKpOAwAAAGgnKtaRo5+x3tLS3KI21auJe9Luq79o4ubf9PeFsrquTmqi/ELzv53jinXGUm7EkRPNfzZGoupzdXq1ZI6MydgIK7T1MdDQ0IylbbsyfTqsXpuSNJyTtWPLi503l9Gh6q9521LBrkwlNzQ2Y4V9ZCVnJZB7w5A9a2tZhsZGTAVPHdlPzbrnmo8+h6HlB7bsqK0KJQUyNTQ1ppez0bX114K4caoxh89eqzIF/IYhe9ZT2rWkh7YKWVdWpnJfwj4kU5Yb9pO7sx1dj8LFy4YNqe5lYgAAAAA+Nd5jLUmvH0fvq46W8S6/0PyzlKar77FuXN57K1wVvPKM9UK+IUinvphVwc/ue6zDxb2WS2aTxcHiU9UP73sf/kM7XLDsdpKzAAAAAPgY2vUea4L1OXd2g3Wk4ZVZFdVXZ723SmCvnilxOAcAAADwcRCs0RZnPlgDAAAAODfaFaxZvAwAAAAAgAQI1gAAAAAAJECwBgAAAAAgAYI1AAAAAAAJEKwBAAAAAEiAYA0AAAAAQAIEawAAAAAAEmh5sO64cKHVXQAAAAAA0DYtD9aXLv2p1V0AAAAAAM65jo72Tcj+qtUd/PnyJUnS/v5bHbx71+ruAAAAAADnTEdHhzo7O9vWf8uDtRSG60rABgAAAADgLGHxMgAAAAAAEiBYAwAAAACQAMEaAAAAAIAECNYAAAAAACRAsAYAAAAAIAGCNQAAAAAACRCsAQAAAABI4JO8x/qPvX3t77/Vwbt3n6I7vIdvv/m63UMAAAAAgEQ6OjrU2dnZtv5bHqz/2NvXm739VncDAAAAADinDg4OJKlt4brlU8H399+2ugsAAAAAwDlXCdft0PJgzfRvAAAAAMBZxuJlAAAAAAAkQLAGAAAAACABgjUAAAAAAAkQrAEAAAAASIBgDQAAAABAAgRrAAAAAAASIFgfUlZ+YVH5crvHAQAAAAD4Elx48+bNsS+avnz5cqIOyv/+T6L2H9Xrx5r/fVATeqL53waVu9l7xIFbWpr7h368N66+9+xi9/mi1r+b1MSVWp/Oq78pd7NXu88XNf+sSWLvGz9mLK317Tdft6VfAAAAAPjYLl68mKj93t7eB7X7KlGvX6iuq5Oafr6opde9mrgibT66r6XNw8dtzt2v+9x3664m9FjOL1v12640toy5Mq6cHst5JOVuTip3tWF/+YXmn334tbRfoLVZR8ul6GO/Jfe2GX3w5dmefElKjyk3MyQj3rToyX7SU7c9WHXkPA0kSeYdV1bmiF6PPc6XZ6+oZyanofSHtA+vafvG0f0DAAAAQMXZDdblF5pfyGv30I4tOdUge19Lt+5q4uZd5U573tdS17VJTV9NhdXpV/VBu3JeJzWo6amU1hfKuj41rtxx4fsLFqx6Wu625M6YqgRpZzWn3LAh/6GnYCQnd1ham3W0UhyqBtVqsE331E5WWpP31JDl5mQWPdlP1hRkGsL4SceV1uTMLiuQoZ7Gdqfqp/ZjgHlUewAAAACIObvBWjo8xTqaCj59NXX42PILzT9LabpxSnb5heYXSrp+1LTwH8aVu1n7WD8VfKtue/008JSuT01q8P2v6rNiDOfkVj+ZyvZLK5IkX4UNyciGcTWTNbRc8KWMKRU9ebKUG/HkFGrnCn59qSA9EAbcTFbmgxUVS0MyGqrORx/ny1uQrJkxebMvjxzz0e0Drc0WlHUtyfY+xu0BAAAAcA6c7WC9+VjOXPTv1KCmb6WlV/+SFFabl3SjFrJTvfrx9yfKl3s1GMvdu5v/lK7dqAvVu88Wq1Xvvltl5Rfy6po6+Xns+LTxzUeLTarpXzpfhQ1DA6OGpECSoZ54uXmnFG7NWMplpGC1ySm607EKdaDtQFKz6dxNjzNlzUgqrZ081KbtDQ3NWOF1nHwGAAAAAJB01oN1pWJdfqH5XySlUur6vaxdSevP/qLr9+KV65T6fpCWNssarFa0y9p8Jf14q77CXTcVXCkN3kpr6XlZfc0q4TGbv9yXE+vv+rWPcpWfiUBrs550xz3yuWYAAAAAOIvObrAul6S/Nq60/RcZ+ofWH+WlW3cPVZi7+r6XFvLavBpVn1/ntf7doHLH52Up9bN+/G1R+fLksVXrs1uxriwW5sqqC9UNFee6KvERKlVtSZWKt//QlrcR7jbvuBo94rgjR5ewPQAAAAAc58wG693f/6Wu76JEXC5p97u/qUsp9f3wL63/Fi4mdujVWKle/ZjK6++vpb4rZeXXt9R3ffzwueumgkf/vzkZ7jtmTGezYu3LswvKurmGxb6i5613AikjFQuBzBvHLwdm/DQg4+l2GHiLBfnpAY2mJeO2G3uOW5LR/LijmAnbAwAAAMBxzmiwLmvz1V/0460Xmp8LVwbvuzUee63WP7SpXuk3yagrMac0OHU3/OfrvNY1qOkmq3nXTwU/vaav5mryWusvif8wXEHbt+3qNmMkXBXcvG2pYDuynyp8DddJr65KD8kaceTYtiRDYzNW8wr3aY9L2g8AAAAAnMKFN2/evDvugMuXLyfqoPzv/yRq/2GdvtDSZq8mYs88bz66ryVFz1y/rrwiq1cT9wa1u7Co9VME3EqgbtKh8tVzRKt9pyRpS0sLZV2f+lldDS3iq4Sf+C7sFvr2m6/b0zEAAAAAfGQXL15M1H5vb++D2p3NYI1TI1gDAAAAOCvaFaw7EvUKAAAAAMA5R7AGAAAAACABgjUAAAAAAAkQrAEAAAAASIBgDQAAAABAAgRrAAAAAAASIFgDAAAAAJAAwRoAAAAAgAQI1gAAAAAAJNDyYN1x4UKruwAAAAAAoG1aHqwvXfpTq7sAAAAAAJxzHR3tm5D9Vas7+PPlS5Kk/f23Onj3rtXdAQAAAADOmY6ODnV2drat/5YHaykM15WADQAAAADAWcLiZQAAAAAAJECwBgAAAAAgAYI1AAAAAAAJEKwBAAAAAEiAYA0AAAAAQAIEawAAAAAAEiBYAwAAAACQAMEaAAAAAIAECNYAAAAAACRAsAYAAAAAIAGCNQAAAAAACRCsAQAAAABIgGANAAAAAEACBGsAAAAAABIgWAMAAAAAkADBGgAAAACABAjWAAAAAAAkQLAGAAAAACABgjUAAAAAAAmcGKwPDg4+xTgAAAAAAGibJNn3xGD9v//974NPDgAAAADAlyBJ9j1VsCZcAwAAAADOqqS596vTHPTf//5XBwcH6uzsVEcHj2UDAAAAAL58BwcHH6WYfKpgLVG5BgAAAACgGcrPAAAAAAAkQLAGAAAAACABgjUAAAAAAAkQrAEAAAAASIBgDQAAAABAAgRrAAAAAAAS+P+A7E/5Z7VwwAAAAABJRU5ErkJggg==">
截图来源:药融云投融资数据库
Barry E.Greene是Sage Therapeutics公司现任CEO,于2020年10月加入Sage公司董事会,同年12月任职CEO,他拥有30几年的生物制药行业工作经验。2001年以前,Barry在保健咨询公司Mediconsult.com担任过执行副总裁兼首席商务官,也在AstraZeneca担任过多个领导职位,还是安徒生咨询公司的合伙人,负责制药/生物技术营销和销售业务。2001年,他在Millennium Pharmaceuticals公司任肿瘤部总经理,领导该公司肿瘤学业务的全球战略和执行,包括战略业务指导和执行,并在2003年成功助力一项FDA批准推出VELCADE®(Bortezomib)。2003年,Barry任职Alnylam的首席运营官,2007年担任该公司总裁,他在Alnylam制药公司的工作时间长达17年。他是美国药物研究和制造商协会(PhRMA)的董事会成员,拥有匹兹堡大学的工业工程学士学位,也是杜克大学福库商学院的高级学者。
合作伙伴关系

2018年6月,Sage Therapeutics和Shionogi达成战略合作,在日本、中国台湾和韩国开发并商业化治疗严重抑郁障碍(MDD)和其他适应症的zuranolone(SAGE-217)。合作的目标是加快为关键亚洲市场的患者开发一种潜在的药物。Shionogi在日本完成了治疗MDD的Zuranolone(SAGE-217)的2期临床试验。根据合作条款,Shionogi负责Zuranolone(SAGE-217)在日本、中国台湾和韩国的所有临床开发、监管申报和商业化。

据药融云数据显示,2020年11月27日,Biogen正式宣布与Sage Therapeutics达成一笔高达31.25亿美元的交易,包括支付8.75亿美元首付款、6.50亿美元股权投资款以及需在未来支付16亿美元的潜在里程金,进而获得Zuranolone在全球的独家合作开发权(不包括日本、韩国和中国台湾)。协议达成如下:Bioge和Sage Therapeutics共同负责Zuranolone在美国地区的开发,按1:1比例共担成本共享利润;而Biogen则独立负责美国以外的市场开发和商业化。
Biogen与Sage Therapeutics关于Zuranolone的医药交易信息
CNSW6YM+LR88qO39bu2ukjR4SVcijg0+2VCWyqwz9Vr2WbLVXdeV49LitD8lAAAAAAB3B2FWFosXGIVEBEc2u5zrpcDRNC7WfUTehbVqDVVVdWd2DlXgqKGPc91yyjLPKxRmdX+pznWrEwdSXcEh9qFArNuj0q4eOVctlPLWqGL9PMtsrQwsdlKZLYOSNHzN3DLcXqNPXzypfU+dU2O+oUUf9I21D+YtGfs5maeqzTbC6LHug5d0JVzdFbWSjU3apzjHAAAAAAAwiQizEDszS9bB8VL4aYPWIfBFLrU+5pe7uUdGnCchXmrZOfb0QYuSVfGXYFvv1spmh0o7lsq5NzjPa71bTg2ps8Yv9ftVqlq1lrsiArX6DknrzKcxhp+kuK5WreWS1+GX8kJPOFyq+Y+l+guZ3sxQ6Zwa87foyjsnte8pc/vw/36iE1qS4KjLat2Wr/ePS2vesT710VqJNaz2WkN68eQ4gRjVWwAAAACAqUOYlcUSBUYhiYKjGHFnZo3pbd4thYfAx863MkOmyOOTVY0lUlBeq5KOtrENAb/cOzxS2R611s1T4KihUofk3OtWifxyf/i4Gnw+2TSkzhqHbrwaepKiuUYZPlV3OfRx9+81/+pCzZ/qCfCDB7X9WUMn4r4ZOzNLss7NshprMzSrs4r1viSzrTDUqjhXG/c3Ba8rSYtVur9vbEi8dS1r3SqVWfH1dl6bLmxMEGWdqdey14L/B+dqswycBwAAAABg8swYHR0dTecEg99+m6m1YAICRw016Y3kbYZRbXVxj+kOtuglCLPC1U5h0VVbUm+zoRsvu1UyXlgUDKcuhV7HC9ECfrk/ylVFbpuqWhbGXGvsaY6Jnmw4pM6anbrxauizB8O3vDSethiUM3u2fhwZSeMMAAAAAAAgXYRZQIoIswAAAAAAmHq/meoFAAAAAAAAAKkizAIAAAAAAEDWIMwCAAAAAABA1iDMAgAAAAAAQNYgzAIAAAAAAEDWIMwCAAAAAABA1kg7zJr1G/IwAAAAAAAATI60k6gHZs3KxDoAAAAAAACAcaUdZj103326f+bMTKwFAAAAAAAASCr9NsOZMzX7wQf18P3303IIAAAAAACAu2rG6Ojo6FQvAgAAAAAAAEgFpVQAAAAAAADIGoRZAAAAAAAAyBqEWQAAAAAAAMgahFkAAAAAAADIGoRZAAAAAAAAyBqEWQAAAAAAAMgahFkAAAAAAADIGoRZAAAAAAAAyBqEWQAAAAAAAMgaGQ2zRjN5MgAAAAAAACDKrEycZOSXX/T9Tz/p+9u3NTpKpIVfp5zZs/XjyMhULwMAAAAAgHta2mHW7ZER/evWLd36+edMrAcAAAAAAABIKO02wx9v3ybIAgAAAAAAwKRIK8walfQTbVcAAAAAAACYJGmFWTNkthkCAAAAAAAAkyGjTzMEAAAAAAAA7ibCLAAAAAAAAGQNwiwAAAAAAABkDcIsAAAAAAAAZA3CLAAAAAAAAGQNwiwAAAAAAABkDcIsAAAAAAAAZI1ZU70ATGPdHnnlkrNobFPgqKEmvSFj/bw4Bwyps2anvP0TuMa6WrWWFypw1FBVy8WUDllStid8/d5mh06v8kWs0dQjr+NLrTSk+q7Vai0vnMCiJsHgQW1/9rIq+qq13LJ5uL1CtarTvo1zo/Y1dCKV86516/P9mzV3/D0nsE5Deudk5Jos633urS8sW8p0wPKZhtsr1LqgSS98lq9P/tCnyqcytTAAAAAAwL2KMAuJFW3Q/BqPeotcKpAkDan7pPT0m/GCLEmap5I6n0rGO2+3R+6BDTGBmDWkypgilxoGDHm73XECrymUs1n7PqjXsm0Hw+HT+YZ8bVWbLlTFiaJcbbpQtSL5OQcPanttJhd5To3PGlr0QZv0Wo3a/6NJG3Mi95i7sUkXNpprTxxWDSvX2SY9W6/zUeEdAAAAAAATRZiFJOap5FWptLnHrGzqPiJv/0Vph0PemH2XyrnXrRJbmpcM+OV+V6qosyvyVMFKK18oWIvS7VGp2x+zudMR2mZofibWl6bzDfna6onc9ly+YXm1RcvC78dWOUVWQVk9o10fvJDBlQ6rfdsWXXnnpPY9NVc69oK2P1uvxeOGUcNq31ast49btxXr/eBP729bnNnKMQAAAADAPYcwC8kVbZDzwyPq1Tzd+NCvEiPY0hfwy/1Rrox47Xtxg6UUwy6bXcarHpU6PKr2jVWEddbs1rWyPXKG9gv45d7h0SVJ6nCoc12tWn0uy4mG1FlzRPPrEoRfU2R5VZ8uVEVtPFOvZZ/Zx628ClVBSQpXYe22BkODB/VpJhYZr7UwZ7P2HTuo7fkVev5YbIWWZZXauL9PoWWG2gxpLwQAAAAAZAphFsYxTyV1Ling16GFtTJSbdULzsIyDamz5r3UL1nkUqvhUanDkHOvW/M/2qlTxVEtiDa7DJ/dMjOrR16HQ53Bt0uMPZqvq7oRkAr+7lHph4+rIabaayqcU2P+lnCl0pgWS0WW6fUPJn/GlFn9Je061hcbWOVs1r6+JWrMz9eyUNujdZ6XJ1/vry3T67qiRbvHAq8r14alp+ZKZ+q1/Zor7uwtAAAAAABSRZiFBHrkdew2w6F1tWott8son8TLhwKtHQ7z+qnM0spzqaHOruFmh05bNvd2+VXyqm8aBFmStEKVfX2qtG5KsTIr3iD4cIviWrc+353eykIzuw64tmjrs/l6O9GOa906sPi/tWzbC/p8/2bt69scNTPrnBq3HdTw/s2SpBMfH9Pwf0i1r0kVfQRZAAAAAID0EGYhgUI5fT45uz0q7VLCmVSlHZYXEdVY6evtCl6vo02dL0903tU8zV94Uaf/3qMbHXatnMwgLqFEVVlSvMosKVidlRt8kWMGR5LG2gwrLqtV1WaINHgwrdUtr+rTBUmStRXynBrz/XohZlbW5rGWxxgrVFnh1/b2Ye2WpOOGnnv2Ge061sTwdwAAAABA2gizkJoiV+RMqmQzsySpY3dk0KWlY/OuxjWkzpqd8i6sVauvUIGjhqp2GNJ4M7f6PapymIlQySppbu5Sdbp3a4l11taUilOVJY1fmTWY5JRPVeuFhgq15zYpYbY0FZ6q1u5r5sD6199x68rH0tqEc7YAAAAAAEgdYRbujjuu0gq2N1qOt613q0FJAq0uj0q7VqvV5zNDq26PSrt65Fy1UMpbo4r18yyztdL8XGmJ96S/kHiVWWY1UyikSvokRE++rrzjTn+JcVoZJen9/JaI18nneZkVaFfeOanP36lR64LNqsjLV+uZzQyCBwAAAACkjTALKRpSZ/PfVFSewhD1Ipda7yg0GntqYfSMLNt6t6oHHDp0ekglofe6ParvkLRutVrLC9Xb7Ai+rlVrueR1+KW8UDXZUs1/7E7WlEmRT/qTFAyPLmuRq0X6Q4KAKFiZFfdJiNHn+jjNJVpbGSUlbjOM9f5rlgHwx/pUmSMNt4fW3qZP8vPVOAVD7QEAAAAAvy6EWUjBl/I6/LpWtkclGThbYOBqgnfmqaTOl/AaBeU+GeGT+OX+8HE1+HyyaUidNQ7deNWn1nIpVN0lw6fqLoc+7v695l9dqPnTYwJ8UKhKq0wH+qq1XNU635CvZa8lqHrybIk7UyvG2lB1VuohVDrMpx9+odc/GCdo0wpVHnNr+7P1On+X1wQAAAAA+HUjzML4Oswgy0jliYKJRAyQXyrn3thzXWrZqdKWmM2xQk9XrAttMEMwk1ndJSPYUlhUq9OOnfLmudRw56vPEGub4TPadaxPFyxzpEKVV6FQK6LN0NWW2tMOa0MvVqjyA7+W5VeY50hlXtWZei17Lf7/ANFthpK05p2T2rexKe4g+LGWyGe061hwY85m7etLYR0AAAAAACQxY3R0dDSdEwx++22m1oJpaHrMmpoecmbP1o8jI1O9jIk5U69lTYv1+f7NmjvVawEAAAAAIAMIs4AUZWWYBQAAAADAr8xvpnoBAAAAAAAAQKoIswAAAAAAAJA1CLMAAAAAAACQNQizAAAAAAAAkDUIswAAAAAAAJA10g6zZv2GPAwAAAAAAACTI+0k6oFZszKxDgAAAAAAAGBcaYdZD913n+6fOTMTawEAAAAAAACSSr/NcOZMzX7wQT18//20HAIAAAAAAOCumjE6OjqaqZONSpqRqZMBAAAAAAAAUTIy8Grkl1/0/U8/6fvbt5XBbAyYVnJmz9aPIyNTvQwAAAAAAO5paYdZt0dG9K9bt3Tr558zsR4AAAAAAAAgobSHXP14+zZBFgAAAAAAACZFWmHWqKSfaLsCAAAAAADAJEkrzJohs80QAAAAAAAAmAxptxkCAAAAAAAAk4UwCwAAAAAAAFmDMAsAAAAAAABZgzALAAAAAAAAWYMwCwAAAAAAAFmDMAsAAAAAAABZgzALAAAAAAAAWWPWVC8A01y3R6Vdq9VaXhje1Nts6MbLbpXIL/dHuTIs7yngl3uHR5eCL0sMn5xFlnO5pWqfSwVRlwkcNVTVcjGlJS0p2yNj/bzgWhw6vcpyjbAeeR1faqUh1Uetf6oNt1foube+SLrP6x/0qfKpJDsMHtT2Wmn3/s2am9nlJTz3cHuFalWnfRsjr3i+IV9bPamdetzPNVGDB7Xdu0T7qlYk2OGcGvO36P2UTlamA33VWh7nneH2CrUuaEqy9mG1byvWpy+ejPn9DLdX6LnLf9KFhGsEAAAAAEwEYRYyL8+lhrrfq7vmPemx0MYeed1XVbJOqm/uiRsuWUOqjClyqWHAkLfbHSfwmjpr3okNPUKG2yvUOsnrkWJDqefyDUnP6HWX9L4nFL4Va9lbwR9dbcGA5hntOtakjTnjn/+TzC97fGvd+nzc0O+cGvP98d86U2+GURuTHT9XG/f3aW17hZY1vKBd/YbePm59/wstswZ+Ka0JAAAAABAPYRYSGFJnzU55+yXJr9KrLjkXeuTtkKSlcr4c3K1jt0o7zB+XlO2RsTK4PfA3ndIaVdgks0pqt64Fw6qVzQ65jyYIrgJ+ud+VKursskW8Eay0ilPVJSlY9RUbRnQ6QtsMzd/rVoktZpdpL1nlkxk4RbrT6qflVX26UKW4lVmVVYkrs0zjVEC52nRg4kvKnDP1WvZaS8K3X/+gLfFxTYv1+f4VEdu2X3PF/T3M3dikC5KkzdoYOv4zuy5USY3bLqmUAAsAAAAA0kaYhQTmqaTOp5KINkO7SsqDbYah3dbVRlZZBcz/DJ8+oQWvumULth3KUnVVUO7TpmaHSmtcaogOrWx2Ga96VOrwWNoRh9RZY4ZhzvB1LO2MHQ51rqtVq89lOdGQOmuOaH5dgvAri4RDpjCzpe3t48krvCZs8KC2P2voRPDlc/nGBCqIVqiyr0+VwVfnG/L1yR8iQ7XzDZldn9Wy6LAvXDUW9FS1LvRVB1+YVVgvRLQUnlNj9EnDQVbU53+qWruvVWh7uyXYi9n3nBrz/1uL3llkOfCyWrfl6/28NloOAQAAACANhFm4K24MXJRye+Td4dGCdXZ1tuxUaURhzFI5y66rqsavhjp75MFFLrUaHpU6DDn3ujX/o506VRxVyWWzy/DZLTOzeuR1ONQZfLvE2KP5uqobAang7x6Vfvh4bHCWpc431EgVbq2R9PzlGrUPjt/il7KI8OqcGrddiqpqCrUZptZamHHR4Vq8mVmDB7Xdm95lhtsr9NzHL0ReK6a6q1iNC4KB3VPVurD7oLbn1+v5d67o7bcW6UBfk5afqdfbl0P7L1bp/j5VnqnXsnx/wvlcAAAAAIDkCLOQgi/lrRnQ/KRthkvl3OtWSXBz0csunXp3QBU+n2ySnOUuxauWKllv/jcQfclQoLXDYVZ/pTJLK8+s9Bpudui0ZXNvl18lr/qmVZB14i3L7Kk4Xv8g/vbzDflqWnxS+3KP6VNJa6v+pNb8ep3PVDBy3IhsXVzrVmmwqil5m2GcdkhPfrjt8PUP+vRCJtZ3x2LbIN/PDwVTZTrQZwlUz9QHB/R/Efm7cLVZqrtM5xvy1ahgoJWzWfv6zO1rVaHn8vODe7WEK8fezzeC56EyCwAAAADuFGEWkuiR1+2XZNdKn10FE2gzlM2uTQsNdR+9Lm9L1Cwrx9jriKcdRuntCu7X0abOlyc672qe5i+8qNN/79GNDrtWlk/k2LvvTgbAh4OsjXOlwdDWFao8dknb8+tVkYlAK15lVoqs7ZBmm+FJLfrsmNZWmec7/1m6i0uHtQ0y2GZ4bLE++d9nVblxrqRzY8PpI1oSk1te1aZPth3UcFQr4tyNTfEHxp+p17Ip/T0AAAAAQPYjzEICwYHrhl2dXavvfO7USpda14dmWaU6xyo4fH5hrVp9hQocNVS1w5DGG+De71GVwyyBKVklzc1dqk73bi2xztrKSmZV0ZVEAVjOZu07dlDb8/O16A6Hv4fFqcxa1JCvt8MVV/GeZpjIXG10StsbzkW2AaYjen1B8WZmjStns0pVocYzTXF+Z+MMtJcUarWsDA+HN2eZXanoU2Vu4vlectnjbQUAAAAApIgwCwkUyukrlLrNlCBw1FBVy8Xge/GfZqh1tWp9WWOhUp5LDTaZTxrsWq3W8lCrYI+8NQN6Me4MK/PJh52Wii/bercalCTQ6gqe3+czQ6tuj0q7euRctVDKW6OK9fMss7Uy9fuZLMNq37ZF+qBP+1SvZfmRT+QLBzuuNl3oa1Njfr4a7zTQytmsfX2b4zzNcLM2Rj/N8Ey9tl97fOzYgTjhjaXNcFm/W7vy7mBN0e5wZtZAe0WwdXDMWJthvq6849YiRStLMtdqWO3baqK2XdeV42V6Yb803P6J9M5JXcjUcH4AAAAAQBhhFlJiW+9Wa3C+VfI2w4Hw7CqbZD518MPH1VBXKGkouFOhnK9+GfXEQsn61MLoGVm29W5VDzh06PSQSkLvdXtU3yFpnfm0xd5mR/B1rVrLJa/DL+WFqsKWav5jGfyFTJq52rg/OIhJlva3mMDJVNnXF32CFI09ITEkFJTFa4kcvnYl8vDcYBCWxPkGQ1eS7jGOnM3atz/F/aoiN+UmavsLO6fGty4n22F8Z/x632VXpaRhJZuLliwkAwAAAACMhzALd1GPvDuua5PPFVuBFRrw3txjCcPmqaTOFx4iH62g3Kdwg1koJPP5ZNOQOmscuvGqT63lwes6dkuGT9VdDn3c/XvNv7pQ86fRBPg7HQCfuuBcqJRDEzM02yglDMokSZc92p7fohN6RruOhd79Qm8/m6+3U7jK638w/zveMPmMStCaGKssakh9i7ZGVcJFeka7LK/Of9ai1/9gho0JZ2YF/3cBAAAAANw5wiwkEJxb1S+VGK7xd48r2KpoOZfyXGoIvV3kUqul7e9Sy06VJssOQtbVqrXcLqMutMEMwcbWbQZZziJJRbU67dgpr/W608CdDICfmBWq/MCvZfkV2nWsSRtz0j6habFL+2KGoz+T0jXON+SHh6zP3Vin57cVa9nl8eZuZUB0a2Jc8UKmCbQZDh5Uk6dMFVWxe8Y85dHVFhxEDwAAAAC4EzNGR0dH0znB4LffZmotwLSWM3u2fhwZmeplTMyZei1rWpxCmDMVLAPT0xlaDwAAAAC4pxBmASnKyjALAAAAAIBfmd9M9QIAAAAAAACAVBFmAQAAAAAAIGsQZgEAAAAAACBrEGYBAAAAAAAgaxBmAQAAAAAAIGukHWbN+g15GAAAAAAAACZH2knUA7NmZWIdAAAAAAAAwLjSDrMeuu8+3T9zZibWAgAAAAAAACSVfpvhzJma/eCDevj++2k5BAAAAAAAwF01Y3R0dHSqFwEAAAAAAACkglIqAAAAAAAAZA3CLAAAAAAAAGQNwiwAAAAAAABkDcIsAAAAAAAAZA3CLAAAAAAAAGQNwiwAAAAAAABkDcIsAAAAAAAAZA3CLAAAAAAAAGQNwiwAAAAAAABkjYyGWaOZPBkAAAAAZBHuhwBgcszKxElGfvlF3//0k76/fVujo3yF49cpZ/Zs/TgyMtXLAAAAwF324MyZE9qf+yHcC7gfwnSSdph1e2RE/7p1S7d+/jkT6wEAAACArMH9EABMvrTbDH+8fZsvbgAAAAD3JO6HAGDypRVmjUr6iTJDAAAAAPcg7ocAYGqkFWbNkFlWCwAAAAD3Gu6HAGBqZPRphgAAAAAAAMDdRJgFAAAAAACArEGYBQAAAAAAgKxBmAUAAAAAAICsQZgFAAAAAACArEGYBQAAAAAAgKxBmAUAAAAAAICsMWuqF4BM6JHXsVsyfHIWJd6rt9mh+o5xTrWuVq3lhZKkwFFDVS0XU1yDXdU+lwokKeCX+12pos4um3WXRNtTXt9SOfe6VRI+uEfemgG9GDxf4KihJr0hY73UWbNT3v74nwsAAADAr8nduR8aO3eb5kfch2jce5vY9X2plaH7pTteH/dDQAhh1q9CoZyGXaUf+vViUfIv05JkX/DdHpV2jb20rXerdb35c2+zQ6dXRR4bb5sk6e/XdWnh6ph19H7k0YJXfXe8vt5mQzdCLwJ+uXd4dElSp8Nj2Wun3KrV09Yv+qjPNdXON+Rra3jJz2jXsSZtzBl7f7i9Qs+99UXwVZkO9FVreejNwYPa/qyhE6HXrjZdqFphOfs5NeZv0fvBV2veOal9G+emuLJhtW+rkXZHrids8KC210q792/W+GccVvu2Yr19PPR67HNEfj6rqM8KAAAApOTu3A9JUuBom66VvSHn+ImVpOSBVKfDH7sxKmS6F+6Hws7Ua9lr4h4Ad4QwK+uYf3XoTPBuVcQXmRRRMSWp0+1IeKwkad3qtFcoSUty50VuCPh1SLUyihT84j2hp6P/ujERNrsMX27iv0ScTPMD3C1n6tW0+KQu9Jlx0HB7hZ57tl6LQ1/gZ+r13FuLdKCvScsVDL62Ldbn+zdrrobVXntZFX192icpFFxtXxwKrIbVvm2LrrxzUhc2zg0GX8VqXNCnyqfGWVc4JHtGu+K8HQ6g1rpT+pjD7TW6UtGnC/vN1xGfY2OTLmyM3P98Q76aFrv4RwwAAADjmMz7oR593LJQm3zmvU28oMp6vSVle2SU+9RaHm/N41dmTUi23g9ZnP+sRXK1cQ+AO0KYlXUK5fT55JQkDamz5j3pTUso1O1RadfqhCWkE/1LxMRY/2Hxq7RFUp5LDXV2DX90XZvK7eZuNrsM47pKP+pRSbqlrv2eqH9AQj9dlHeHQ97QywyFdGl7qlr7LMHS3I1/0utv/bcuD0rLc4bV3tSiNe+cDH+hL3e6tebZT3R8cLM25szVxv3VlpOtUOk7z+i5y9clzZXOePT28TId2B+sm8rZrAqXoa2fnVPlU9bqrSjhv4i0aVH+f8e8fb4hX1vVpgsfLNKyptQ+5tyNTaq0vDY/x2UNmCuNuf7Wfrc+r0q1ggwAAAD3rsm7H+ptNlsXCzSkzpqduvGqJahK1mbY7VGpO7YKK7oya0nZHhnr58XsNyHZdj8Udk6feJ7RrmNJ7lOAJAizspb5hXqqeI8M67dnkUsNA4ZKm7fE/QK/u5VZ5j8sK5sN3XjZrRKZX/AK+HVDktfhiNrfL2+8NsWJCIZlY3+JCMmCslpJGrykK5IWSZKu68rxZ/T8bkuok7NEi2ToyoCkOK1/A5e/kPQnSdLwtSuS608Rf9nIXfyM9PElDWtF4tbAp6p1oU+SzumTOG8vr+rTBUk6E6csOlUDl3VCUkXMG2aA93pFXwqtiwAAAEDIXb4fCvh1qEO61GHuv6Rsj9llkqLIoCq2Mivy3iUN2Xo/dMav99e+oM/jjTcBUkCYlZVCX9wuLWg5ot71lnLVgF9NLQvlLGtTac2a8BebJBWU+9S6yqPSDx+P2B5fnPLdjjhf/NZt62rVWi6d7lioleWSApIWSt3veuTtj/NXkG5PTF978n9clsr5ctSmhH+JyAbDaq81dMLVpn05igq2Qh7XorXSlXiHn6nXVstfM6zBVsjcBYviHDjZzqnxtciKs7AzHr0ttz4frw0SAAAACJuE+yGbXYbPbl8LpmUAACAASURBVD4Ua2CLGUxZ5lSFjN2LRA9nvzP3xv1QsCPlxZP8QRt3jDArC/U2B/8CsX6eAjLUdHQonPr3fuSRyvaoZP08zR9wqOno78f+IhDwyx0sd43tJR9jhk7W8t0JDIAP+HVt3Wo5JQVOn5By31BJuU8l8S5U5FJr1F83Uh54GJLwLxHTXXBQ+1q3Pq+aeGltaIbV6x/0xR/WPl2EZnG52sw5XhH4RwwAAAATNzn3Q5K6Pao6uUYNdcEKr2DAlYpLLTvNsSsWsW2GSa4dx6/mfmjwmD49XqaK/dwF4M4RZmWhgnKfjODPtvVv6Oma99S50mzrO9RhDw8otO43NnTdJ8NmHQ44L+bnj+NedanmPzb+2gKnT+jS1TUKaJ66T0pPvzkvYc949DDGzJrGPeJn6rUsWKkUEfDkLNGimEa/67pyXJb+vNBTAsvCQ+JDchc/I12OPHr42hVJi82fo54i+PoHKQyGH0+SpytaA7d98a4zeEyfRrdVAgAAAOOYnPuhIXV+6Jf6Q8HXUjn3btGNHQmGz1tCJRW51OpzBd+wdLxY97nrpu/90PD/fqITrj8FH2oF3BnCrKw3TyVvrpE7+EVVYvhiw6GAX+4d17XJ5zbfC/+FYZ6in9AxPHBRyo0+Qc9Y6+A4bOvdas31qNThMb+sbZL+rphHzob6xu+YJSCLfRStSwv6LUHZdOoRHzyo7a9d0a5j8SqqHteitV/o0/8d1sZQyDV4SVdUpopgGHS+oVhv57Xpwv7Yaq65CxZJb/l1vmpFOOQauPyF1rxYZ1Y+xXmKYNpyNmtf3+bY7VFPZYwn/I/YdK4sAwAAwDR3t+6H5qmkLrrDpEfeeH+QDw6Dj9HtUalbqvbVSo4vtfJNqclhpPdU94hzZ+H9kM6p9a0v9PoHWVFDhmnsN1O9AKSv96PIvu0YNrsMn0sF6pHX4YjoEe9t3q1rZRssX8axFViBo23qXLc69QqqotXml36/Rx93T+STTECRS60+n1oNu5aU7VGrYTfDM59PRu71ia13Ep33Gjrh+lOC1sC5WvviMzrxlkfnI/a3m4HQ4EE1eZ7RLmeCtsSn7HpdLWpqHzZfB/d//j8mu/Ip9FRGV5LH7A7r+MdfaM3ixydxXQAAAPg1uqv3Q90elTocKnU45E313ibgl9vhMJ+qaA2+bHYZvjekdx0qdXjUO5EPGS1L74fMwe9ulTIzF2miMitrmUMPvf3mkzJag39J6G12qNQd22vd2+xQfcdSOff61GqTQuWu16KesnG6Q5pvGSoYOGqoqmWhqn3xH20byzyvDJ9ai3rkdRjqLFsodexWaUf0vnatjNoyoYGH3aHhjfMkmU8tqWqWnFf9KnnVlegkU8+zRcuiWvTXvHNS+zbO1dyNTTpwOV9b84MN9pa2PdMXevvZfL0dcXSZDvRVa7lWqPKYW9ufLdaytyTpGe061jRlM7VOvBVax5ix1kazfXJRBS2GAAAAuBN3+X4oNOx9XW1ky6D8qnfEGaGS5xq7zlUzVIpffBWq+DKDtfqoDpZf+/3Q+c+YmYvMmDE6OjqazgkGv/02U2tBSkI918mflmF+WUtx51J1e1Tqvho8PvKphdZHyPY2O1Sv6PbAyGtEDoAfUmfNe9KbUevq9ph/lYjTZmh9PG3cgfIR1zN04+XguYOlvBXRPefdHrkHNpifwVJ6m2yQYqpyZs/WjyMj6Z0EAAAA096DM2emvC/3Q5Nt8u6H4l878h5GUuJ7k/GOi7PmX/X90OBBbX/2Ez0/hX9wx68HYRaQIsIsAACAewNhFhAr3fuh4fYKPffxC/p8/2Yqs5A2wiwgRYRZAAAA9wbCLCAW90OYThgADwAAAAAAgKxBmAUAAAAAAICsQZgFAAAAAACArEGYBQAAAAAAgKxBmAUAAAAAAICskXaYNes35GEAAAAA7k3cDwHA5Ev7m/eBWbMysQ4AAAAAyDrcDwHA5Es7zHrovvt0/8yZmVgLAAAAAGQV7ocAYPKl32Y4c6ZmP/igHr7/fkpsAQAAANxTuB8CgMk3Y3R0dDRTJxuVNCNTJwMAAACALML9EABMjow0eI/88ou+/+knfX/7tjKYjQHTSs7s2fpxZGSqlwEAAIC77MEJtg1yP4R7AfdDmE7SDrNuj4zoX7du6dbPP2diPQAAAACQNbgfAoDJl3ZT94+3b/PFDQAAAOCexP0QAEy+tMKsUUk/UWYIAAAA4B7E/RAATI20wqwZMstqAQAAAOBew/0QAEwNnh0LAAAAAACArEGYBQAAAAAAgKxBmAUAAAAAAICsQZgFAAAAAACArEGYBQAAAAAAgKxBmAUAAAAAAICsQZgFAAAAAACArDFrqhcA3Ku+OXtIlfpPeZ/Mifs63v7ef9+kyjxJGtRf/f8jPblJr9ji7Nzv15zeQIoreUh/eTp4nn6/5gzm6uaawuA1zmuB3a5VGtRf/Z/qj79dEXxv4r45e0hPXP83dbxk16oU9u86cUDHc7aanzdiXUnO/90TlrUn/v10nfBLa6zrGOf3qR41Hj4ndwrrDtnw+PMJ/7cEAAAA7j3Be4pbKe7+wO/0lb1Yj0Ztjvz/+xPpUePhAa213nsETsrZN0fe4HER9xtRuk4c0rX8TVr7f4f0xPUf4pzflvJ9De4OwixMSG+zQ/WqVWt5ki+OgF/uHR5dSnqmpXLudavEEhz0NjtUf9Wlhjq7bBpSZ8170puhfXrkdeyWDJ+cRZb9O+Kd265q32qdrhnQi3V26aihJr0hY/28CX7aDAuclPPU1zoSsfFTzbme6HUwZLppBjlfPWzdb1jX9KiccYMXSXl23Qx+KccLyRIFZ12DARk59rFr3JIWSJJy9Ip9q17p92vO4YGEX9zfnD2kJwKPqu23X2vLP+It7AetO3wgdnOCf6hSN6jjgR9kLEotaFuV/7CcJ3rC/5ApcEmH9agaE/0+VajKlwpVOc55IwNHAAAA/Nrczfuh0PlPrxq75zHvg77USp9LBakssNsj98CGqb/3iSt4TxGzPU7wlFCq/39/oSoLBjTnRM+E/xj/zdlD+q+H/1NemyTbJt18ckKHY5IQZmFCCsprVeJoU+fLsV+8EfJCoVQ8waAqatvcl/fI+e5OVTXnqrXc+uVrBlmd62rV8NiQpHnBtfjU+rJf7o9yZZQXSt0elXatDv7D0qPTaXzOu8JWLO9LxeGXKVdm3ZQ2PDxX0leWY7+S+9YPch/+OuoiliqrCevR8X/YtHZN8GXgps4/khsZ4FhCsljmPywbbEv04pPFuhnc2nXigNZ9bw2rzL/IHLZlsHIpcEmHb9n05yQhUsTv11asP/cdUGN/oSrzpK6+r3XklnQk5vepDARtAAAA+LW4e/dD4wj45d5xQk/HCcCserv8Uu6GiZ17mus6cUDrov9Q3ntA7t4EBzwS7CbJs6tj8JD+GpgrnR2rCJtz+NzYvv84IHfv2D1U14kDWqcVurmGDovpjjALCSWufJK0wyFv1KYSS9WU+j2qcniSnH2pnBGv58lmk0rqfCqRJA1Z3iuU0+eL2j+LBU7Keeo7/fmlTeHfYdeJA/qvh+OHO9/88/+3d/+xUdX5/sdfXFZlr3sJJgxiy00tUqRJrb9ITe9S1Fu3I3+ICewOJktjyXQlV7jGPyAkdtLNkmGTpvxhXNgNayd0M2wCoyUR/qjD2u+ylA2xYRFqkyKtdBvbWjpNJF5ddYXt949zZubMmTM/ygxthz4f/0jPnPM5Z6bmTD/v836/P1/p5MgHZkbXEfnHH9Tb//iRTm3cLHUf0Znlz6nk6l+lJ34sXbikklsKZMkIXikivy1zKuFmb2UP8kQDSk8sV3IK8d/1sD1QNGJmoUW/bGKfS6YnMsbYwyvjKcE9l/8urXgu9XEDYbPEMf75Vq15UL+53Cctua7ffBFPE06XXWWUStrTjEkxBgAAuBPN2HwoEpZ/x4g2h7ypd3e55QsVK+jxqeugX7WuCXU17VRwwGnnnWo4bNuUNrg2w7JoIWJVVbM14UF5qnmT87Gbjb/T3Vv1swxlhkZG1nO6/sTyjC1gMPsIZiGl8saQ2huNf0eSSvUypLtO50lEujRchy8J1TWr/cXRhGMaYl8yYTWcklZt85rlcXPNuN658Hc9Wr5VVerTOxeW6mf/OajffCGd/CKx5NDouSSdiUhvV2/V+s/MIIvMm7/G9c4/XFpfJg1f/ZFKXNJwLpdmyxyL1olnm+V17bNrOnnfw5bfVxZZYgNhLRmPnn+VNt7zgc4MSFXpyvSSsrD6dOYLSfem2v+s6vu/0tvVmxMDTq51CrqML61HyzdnHYxK7IVlpEQDAADgzjNj8yGXW5vrPOrofEGb015RhepD0S6uyyyJAKZIWP43R1RSukLPN86RwFU+Rc7qN1+49L81ie1TnB5Ex7K5plFlcf8TZrJB5Kx2Re7X/pWXtOTEB6kPuO/W+wkjdwSzkFGk06fdZ2vUus9a+leh+oOj8nsC2ux0A5/OkwiXW76QO/5Sb0ANPStUP9Stc7qiwQG39iSdo0K+kDvxS8VWZhg8O/eCDNcu/NVool4m9XRf1C/+8aD0tZFVdD2pp5WU0BvrM0ka1ztXv9LbTxiZTCd0r/ZrUmd0r9ZrUme+k0ocGyvae3PZtiXd5Pt05otv5D93RL9weB++cnujxD4FR76Rr9zpZm4tK5RxbXL6Ulmun610acl4n3aVpWn0/tk1acWPY8Gnaxc+kV+SYzL1Z2EtGfkqMahmaY7vK9+qXU9sztgLCwAAAPPXbZ8PSSp/0SvtOKnzdZJ6AmrwhxP27vJYfnYKlPUG1OCXMW+KhFNfV8GyJgVkVlWzVdcjZ1V/Ybrn6dP+c9e0sXqz7ncpqcVKuqbxmFkEs5BW9MZdXxrQ+71uSyPCCXW9GVDJNq86PL7E2m2XW77Q4+pq2qmxLdbmhenF0njrmtXeuExdTQGVbDmg6mM71RK9eddZmy326f3DUvVBp+aGFarfZ+yX7Zp+M2H462+kLy4apXv3PKhPVn6th/tdOpWyJrtCu8w43zVJGr+kX/z7w7rukq5duCa5fqz7By7J/+/W3laJjRWn0wA+/von0ooH5dMq7bLuY5YCrrffvAdG5b/nQX1i3/5ZWEvOfaW3q7caDRQl49oiZ1V/4ogevc/2vKisWL7+UfUoVTBrXGci0sboNUXOatfIj/T2CulE0r7f6BcjSs4OM/t+9XQf0RmlqMFXYg1+cvAOAAAA88GMzYdcbvlCUn9bWOervGpvjJYc9inoOaqiVL2yolUudc3aU7dXLW1Pqb3RLV+oT0GPRy1zqbwwrUjSQlHWv8GvXfirfvGdS6fKnB7cW/52d8rEsq30ntwzS0aW1Zrr5oJdP9Tb+XtjuE0IZiG13oD5BMItV0TyvxlWpNK8EfaeVFBetW5wy1U8ooY3w6q03CT728z6bb9HXanGj95Ye40nD7W+eBqv0TNrtYoeWJbQR6uraacamozjJtuM1Q1TNUCM17ivVr1jwGvmxZ4QnPta/+teJ0X69El1hYa7j2iJUqWpWm7Y90WXoO1TcORH+t+Ny9XT/YG5AmGfdM+9juWVj/7HdGq9jbHXb1wndYfVo+Wxpx+pelP1jEf0guvR5PTd/3Tr+hN92n/iiJYkvODSqY1bVTUQln/cur1C6++7qDMD0nqnSxu4pF/ofn0S/Z1f/1qPlru1/v864sGs2KqR2TXDt9bgS5lXJDw5Ys9ycylVKwUAAAAUsJmaD5k/Rjp9ajkl1Vr/2O79UF26olXnJ1RrXaEwGsQq86o1FDLHCKm10yd/52vybTD7DkfC8ns8GpRTtctckqYP7UDY7Fv7Izk9uM+4mnh0ESszU2u/GeyyZ1n1dB/Ro+XPaePVv+bvbeG2IZiF1Cq9ao8+RXC5tX2dT4c6H5dvg9R1LKzaLeZN07qfLMvVhsygS6yW3PbvpsQywC6nG71TzyzzZlPeGEq8GVd61ToavXkvS6hxnzv6tP+cJT3WZQSv7nc9Jt+Ji7HV9Ya//sbsARVvdv7J/3Uo+B8V5raLUvlWVUXOqv4fD2p/mcwG7rI1yjcymUr+M/srvHbhE11a8WMj06umWPtPhKWNbpVc6DBWJbRnkUXO6jdf/FAb16QLmFm/nMb1TvhSyj2rlrtUN97nGCDqGY/It9IdD5qVubVL0rULkjQZL2Hc+Jw2hu1fQn3af+ITldzyao+GxJ5ZAAAAuGPN4Hwoesyeur0Jq7L394RVu82r4bMfKbLBkmFlb9US3bzBL1/CBuf9CofZZqX6MQ2fy6WNjFmmuHJryv5ZVTVbVaVxvXM1h9NgxhDMQtZcG15TdZO5MkZdc8INO6q/zaOO4gNq37BMRiaVkT1VLinSeVTD214zgi2R0Xiz8kqv2m0rdxjpvNIq1Wh7yrTYPgU9ex2edNhX71it+gxL2M6Unu6L8kuxpWTjgZEK7SofTegXFc2m+pl7q6RowMZIsT3hek7Bsj7tP2EExmI35H9fYkuptWUyZRJtduiOBmsqtGujtP/EEaOM0KF5Yqzxe9pz2NOG02QzxcoAk1dRNL5gUllqeUoznvxy5Lou6Udab7/OyFnt/8xWTplCrCkkAAAA5p3bNh/qDRjBr8YK9bdZR+vT+VNurQ25tXbUYytzNF43gmNP6bznQ609uEId5qqI5Zax/aMvWBrXF5rl+pl7s6Q+7Z/uode/1kndq/3WHr60DrljEMxC9npPplj6Na68MSSfzGDU4Svx5WkjYR06XKrNIctNtLTYOUjVG9Duw6VGGmxvQA1N4RR13mbqrGVL8iojc4u9pC1BNP01AyOg0qf9Jy7q0or4DfnaZ9d00lrMNxDWkv6v9Ha1O6vVOxKaHUq2cr2t+uSzDj18osNWujeuM5Fv5FuZaRWPNGnDM+X61zp5z72JX4Lj0c9oXaqjpmX462+k/8jLUAAAAJhrbtd8yJbZZUgMhOlFrzp2BNRvCVTFg2MTRjaXK9ory6exg35Vnvdp9+hL2qOd8ncemLNzpNtiIKwl/ZLvvr/r4e4lum4pTYxK/6DcybiG//FDlSzJvCduP4JZyCh6I5a1Hrs3oAbPXltDdiU0IDTSaqPHlybUaEfOd2tQLyWeqDe6aoelnrvSq/YHzDrvgmlemF5iw3GnIE+fznzxQ5WsSTVCvMzQyM76wMj20g/1drXxmV+70KGHI/frk43ZBrLMTKjyrVr/WYeWnPvGaJ64cWs8E8m1WdefGNc74SNa8p2MJonLR81GjOlGrtCujYnBLutn4Ct3S44rMCrekFGSFEls1ph2md3lWu+SHratxvjCisS+Xv4vvsqqr1Y61y50mDX8kuTSqZpbHwsAAABzz4zNhyz623YqWNqcUObo8wXU4AmY4/Tp/VhwbMJyZIXqQ35JE+o6K9W/XqFy1wFVN72lrrWzXK2S0Ijd9re9JNkawEvJCzENX+hQXexv76jExZt032M6pfjf+eu7jySfy+6+VP2LHf7eL/QJ6R1iwdTU1FQuA4x/+WW+rgVzTLSB+qptaaL4vfFlY2NPHWKMhu3BUuMGH/sSkGQNWMW3Z2hKGP1i0GrV763RueaABqfxfpKvb3qWL16sb2/evPUBlGYp11gWlCnNzXQu6ek+orqUjevnsj7tPzGq9bOdLQYAAOakRQsXZr0v86E710zNh5zOmRQkSzifko6NL35lkedkgHzMh4B8IZgFZImbNwAAwPxAMAtIxnwIc8m/zfYFAAAAAAAAANkimAUAAAAAAICCQTALAAAAAAAABYNgFgAAAAAAAAoGwSwAAAAAAAAUDIJZAAAAAAAAKBg5BbOmJN01jWVrAQAAAOBOwXwIAGZHTsGsBZLu5uYNAAAAYB5iPgQAsyPnMsNFd92le37wg3xcCwAAAAAUFOZDADDzcg5m3bVwoRYvWqR7775bCxYsyMc1AQAAAEBBYD4EADNvwdTU1NRsXwQAAAAAAACQjbzkw964eVPffP+9vrtxQzf+9a98DAnMOcsXL9a3N2/O9mUAAADgNls0zT5YzIcwHzAfwlySczDrxs2b+vLbb/VP/qcGAAAAMM8wHwKAmZdzz6xvvv+eGzcAAACAeYn5EADMvJwzs767cSMf1wEAAAAABSen+VAkLP+OgAat2+q8qh8KKDjgfEitL6S1PT6NvehXrcthyE6fDuk1+TYsy+78b0rb97nlMJRFn4KeD7U25FW5/aXegBp6nlJ7Y0XyYY6vpRnL4b3sPizVH3R+rwn7jb5knmdCXU07HT6/1RnHSaW/zaOWU9M4oK5Z7VUfqsEfzv6YMq9arb+HSFj+HSPabPucpvX7Be5guZcZUhMOAAAAYJ7KaT7kcssXcps/9CnoOaqiF92qdblVK6UONlW+pPMen7puMTgzbb0fqqvuKdVP97hKr9oVUEObzECT+R4P+jMGsvrbPGoZ8qrVN6LdOwIqSgp+9Sno2auu2M971XBKktzaEwqp3RzjfFVI9ZXTvXAZgTi/tCfkVXljSO2NttczBgIr1B7yxndPCLhlweWWzxdQQ1M4FuTqb/OoRc1qbySQBeSlATwAAAAA4Bb0BtRwbEirBqRqe3Dq8xFp3QsOwZIK1R+skf+9PtVmFRyxB34S7fYEkrat2nbAzP6ZUNexIdW/7k0+MCV7dlTYDDSZdngUlIwMpqTrN651eNuBWNCm/WBYfo8v+fORW/XbhnQulqlkZH1Fr2FsyK219iBUNiJh+Y+tUGsodcZa5Hy3tO61DBlt0+eUBZb4+9lr+SzdRrAtz9cAFIIFU1NTU7kMMP7ll/m6FmBOY/UOAACA+WE6qxnmZT7UG1DDsRWxDByjvO5K8n6OwZ9EeS8zjGYoHVyhDntJpE1CAKzpLen1NJljDiWIRiAnVYDGDJDJWo6XHKQzyjAdygLtZXwppbj23kBWZYO1PudMsJzKA9OVcs4g5kOYS8jMAgAAAIDZYAuQ7PYEpDKv9qyzBoYs+/YkHrNq2wFt11sOga+dajgc/ylVgCWzCXUdC0ty20oibe8h10CL2TusxHdA9UM71eJJETQq86p1y4h2e3yqP+hX0XtmBpclK2ttpaQe23s2g3ZZ6T2poGrU6hT1yhBM7G/z6HyK1yZHr2jwVOLvJSrx95Mqi86W3ZZ0HDC/EMwCAAAAgNlQ6TX6KkUDQlUfqqGnWEtjO0yoq+mkivZZMpXMY4xMH8m1wa/2DfEhU2cApWqMbitjswZsek8qqNVaFRs8LP97xfJlFbi6omC0nDCVuqeM/1oDZZUho1+YJPUG5B99Iem9tIfMaxnyqlo71eBxq7YuLPlCKpfUbz9+bRaXa4qMDmmVY2lnLiY0NuQcfEoOgFWoPhRK7E82RzKzgLmEYBYAAAAAzAGR0SGtKn7hNo2+TLX7QqpNGRgxMoJUZSn765H27HtJ56N9qFxubZZHwd5sMoIyrB4YzTS7VS63fPsk6XFpaKeCp4z3UF+ZW8BncvSKSqpSlAKe2puUHWVXW+W0dUJjA6tV9IDD9iFJsWPS9TZLzsySyM7C/EUwCwAAAADmANcGv3ySIp3RLRMaG5CK8nmSSq/29PjUFUkMNPW3GSV7PktgpLzRK6kvIXOo/EWvOt4MK1KZrv/UMtXu88d/jITl3zGizSFbhllCECZNeV1CaZ6lp1YkLP+OblUfDKndJSNA1jSq+lLztKNDKa/wltxqmWHvh+oqS1G6KGuQyyErSyIzC3BAMAsAAAAA5qLIqIbLVuj5PA9b3viSznt86jroV63LLD8sbTZ7T2XgcmtzqU+9EXfm5u4vjsYazPtCfQp6fBozs7UinT69X+y3ZBU5l9c5lRlKivXZGpQ0GCtnXK36g14VvRfQmLlbSfH0Gq4vLV6t4dEJqfIWGrU7MvqOrVp3IMvm886loM6ZWRmy34A72PwJZqWo7+5v8+h8VYrUzDSre2S3GoX5dCGLVUf62zzqKD5gWVLW6anELS69arnRZ2e16g++Jr2Z6kbqzJ7imvieoszGjEnvI/1ywTFZr0ICAAAAFCYjQ2tCXU0BDQ5Iu9uK1d5oz2SKcuirlVGF6kOvqavJo4YBo5F8VoEsU3mjP825jOBN7RavpFHbOY1sLWOe0KzqYx4FZZlD2FZ1TBq3aafGtpj7u9zyHZRlvmauQiipvDGkcvUp6L+iLgW0NuQ1SxIzcxWXavDYR4psyM+cI9L5loIDbu3Z5/T5TmhsoFRrYycyS0ETBjCy2krqwlKqeSswD82fYJZZ393QFg8sxYItKW4IkfPd0rrXbu0mZl2R49hO+TvtQR05BJnM1S3KvGoNhVSfzZK2afS3edSiZrU3Oq88kjaQJ0kJN9I+BT1HVTSNyH954wFVN+1UsNg8RywN2OnLL0VKbTqW8QrxacSl1jX6039f1q4nU+1xUfvXvKQ/WDd5j+rj3Y+ZP0zq+Cvr9Msz0Re36cjlPXo0+urx7Xr2jb9YDn5avzp9SJuWZz5Xza/P6reb4q1H9bcWPfLzaH53unEAAACQM3OeoG0H1L5vmSKdPjV4lJSFM3jYmD/U+mwBkLQs2T9lXrX6RrTbv1MNh2/xwbn90jvfMrK8KiVFnM8/NrRa1S9WqHZDs4KegPqj5630ql0BNTSFbQGt6LwopHr73/0DAUsD+9XGfML6+a39SH6PRyXZ9paqfEq1/qPOmWfT7JkV6fRp92Gp/mCKz7X3Q3WlzLyL/p6ivxev+ts8avAXfp+sxHlK4hwmFee5E/Oh+ezODmY5ZiTZb0DW5VGtaZp9ev9wqTaHpp9eaty0SrUnFDJvyiEVtSUG0mLKvKovDWisyhLwiS0bO6Ex1ej5WwjURDp96ihO94SlT+dPubW2cfpjpz+xw2fu9yRkXA1aVjVJWnJ4OmJPY8KqLKhsrfiN8uX/zrRv6hvl5PEmXd1+WR//3vj5UusabX3lIf359z+Nr4CTEPxKZVLHeT3sUQAAERVJREFUX3lJV399Vh9vWiqNv6tXn1mn/SXml8X4u3r151f1q9OXtWm5+aXwTIseyuJLBwAAAGlY/nZete0FJQYwQrEAiLFioVGm12XOVyZHr0zjb2lrFcRq1Ud7TJnaQ15zH49azG3px7aP54294trgV3vsh8dVrZ2JqyVKRu8pl2Q80K6QU3ld/BhLz6zYPMISeItVbpgBr/MBNRyW5fNzyxd6XF1NtiywlCpU7ytVw3t9qrXP3abTM6s3YM4JrYGs5PdZ6wvZgnbR15N/T+WNIbU3KhbUKsgyw/F31a59+viyMWO51LpGW1vdaeYsqedOzIfmtwVTU1NTuQww/uWX+bqWGZKqzC1RpNOn3Wdr1LplRLv94bQjxiLjlicAjjf+3oAa/OHESHpS8CdNiV8W5YqxMZPKI9PVX1ukLOPL7nNzlluGWSYZM8zyZPnixfr25s3cBhl/V68+8yc9d3qf1LxOV7dnysz6nVZmG/Uff1evPvOptps31cnj2/Xsp/+T+eb9txY98nMlPMW41LpGW2Xc+K3/jl/XS9If0107AABA4Vq0cGHW+xbefAjZ6G/zqGWIFidWeZkP2Uwe365n3/9JYgAqalpzJzEfmmfu7MwsU3+bRy22dNAujy1AlRDE6dP7h69IZTVGqmvIKzt7z6zYzc7nNtN0na+l1ndARcc8auhpVnvjMnW9GVCJL2SUOppBqEqX1GuPsk9j6dr+9wKSY4PBDJH7hKww+2ujGlY4+XOTkgJgRmbaleT9LBlZCcdNu6dXYgp0eZVbLT25L8M7I5b/VL+9/FNJkzqead/xQV3VSv0k2/TV0U/VLWl77Me/qOahzM0BJoevSt7/SXiqUPzQ09L7g5rUCn06IL283foFsEIr10sfDE9KTyZ95QAAAAAFr7wxFM8ww20yqTPv/0Uvbz+UHMiSpjd3kpgPzTPzIpglZagrtgVxIp1H1VW2WquiG9KtomGy3uziwa8UzRgrzZr23oCCpV7VH/Oo4ZhbtRpS9et+uTRhuRZzlY+s32m0Bj1fq2+YPh/RoFPWlkMAzEiDTrymtJlZrsSeXv1tPo29GC/3DDaN6vl0T0QeWKFVQ6OKqOIOfGpyWFvXRCOj6erJL2r/zw+r5tdnE17vfmOdHnnD+HdS3bdp9NO/SPqfhG1LS1aa/xrR1TOKfyMYr+qhMumD6b8ZAAAAAPNcvJfV0/rV6cvalZfeU8yH5pt5E8zqsvVtSlIWD0D1jtao9XXpUDRIU/mCqo+9pa61eS6Tq4yuSFKsMbPmfNX5CdVuyHBcWvYVMayuKGjPjrIrS85Ck6TI6JBU+lRysOjzEQ1qRXy/VFlZUnJmlnk+e3PHsaF0F+jAVaySgQ81Kd1ZwazYkwiDYw24ZKbT+tTtPWrUeJse3X1ZH++27mOp+wYAAACAWbB00yF9vEkyelWt0SNl2fS1SoP50Lw0b4JZ2WdmLVNto1uKWMvplql2S4omgNZhUgVybKV5Cc0UewNq8BsNCuvNMRraamKZWJOjV6TizO8vO7daZjih3rNXVLslxXsvLY4FkZKzsozjp9czq1RFd1RUKj8erfer5pk/6cz4T2M9tKJPNV7+42X9Nt1NeflPtd3r09b/d1G7nkz8oih+6Gnp08TdJ4evSnpI0RTaq4mv6tMB82UAAAAAuCVLtWmvXx888zsdr7+11QGZD81f8yaYlX1mVgqVL6j+2En1qyJlA3Tn8jqHMsMosyG8JLXEAl5u7Qk9rrGmbvPn1Sp6QNLn6S8vbpmKyoY0FpHK8xUQ6j1prKiSTYN1y3tK4pSZZW9qH/lI57QiMYszQZ+CnqMqsgblIqMaTrmk7R3sby169o2VOnL5UE6raCwtWSm9Edal3Y/Fxhn99C+qeX6flpoptL9MuOmP6OqZp/XcXurDAQAAcpflQk22vrHAnWOlHrqVUkPmQ/PavAlmTadnlrNlqt2XIeBlfhGNbUlxrt6AGo6tiJfVVXrV7pMaep4yAzrGioHGufzGdZ26osGhsCr3RUsSM19nUekVdZyfUG1Wy/Rm0qegP6xV2w44fnFGRoe0qviF+AaHhvn9bR51yC0NrbCtsGg3YTTE3xLKUC5oy9z6fESDTiWQhW58UpPLl5olhZM63uxT93q/9i43fz6UXBMeN6nJ8aVaGv1S+FuLtgakl//4WOznR35+Vb86fUibnnTrZb2kQ8e9Rg35+Ls6FHhaz502zvzof2+Tfh5/WjJ5/Hf6w/qf6M95qW0HAACY75apdp/ZUzdbkbD8O7pVna7qApiDJo+36Mx/7TGzsMw5jveofjv9kZgPzXPzJpiVc2ZWVpapdt8BdTV5FJQtoNUbMIJW+xxK9U7tVUNstUW31kb394dV6wvJp4AaPL70JYIW5VVuDR77SJEN9sDRdHtm9Sno2auuuma1OwbGjPLDki0pgmbme4iVVUbC8ns8qRvJ7whI2w4YKztaDYzE+2H1fqguyfiMTP09YdVW5eP3N/suta7RoYeijQlPq3mNT9EcPXmTa8mtDQ2jXv7jZe16cqlGg2v0bCC61Wiu6Jy6+5h2nfbr1WeiYz1t3NSj+z65R3/+9XY9+8wa/VKS1vudl84FAADAzHC55Tso+d8MqzLtw2Jgblm6ySu9skaPnDE32OY4ifOhzJgPzV8LpqampnIZYPzLL/N1LbdNf5tH56syZ2YlZA2l2rYjoEFJSWm+6crrHMQCPNEglyUzq2jbkIJna2wBH4fyumm95yz6ViW8ZyPL7Ny6A4mrONrfpz0wZX3dXkJoPU/0c6xrVnvVh2rwD6UM1vW3edRyKv5zQs8xp9/TbbJ88WJ9e/PmbTzDRe1f8zutPH1r9eIAAADIj0ULF2a972zOhzLOc4A8Yj6EuWReBLPmJyOranibLRh1J5nh9OrbfvMef1evNkt7ifIDAADMqpkLZpmVEFnvb1vQKeHBOHB7MR/CXEIwC8jS7X8SAQAAgLlgtjKzIp0+vV/sNzOtMiwmJc1olQLAfAhzyb/N9gUAAAAAAKTJ0SvTO8BVrBKzvywAzCcEswAAAABgTlitogdm+xoAYO4jmAUAAAAAs65P50+VqihlveCEsWp6r2VTZFTDZSvoLwRg3iGYBQAAAACzrL9tr4a3vZC6P5akpMytz0c0WFpMvywA8w7BLAAAAACYNX0KejxqUbPDKuRDGouY/4x8pHMDia/294RVW8VKhgDmnx/kcvCUpLsWLtT3rGgAAAAAYJ7JeT4UCcu/I6ASX0jtlfYXl6lynbR7h0fB6Ka6Zvlc8WM7hrza3nhrpwaAQrZgampqKpcB/u/bb/X1P/+Zr+sB5iyWogUAAJgfFi1cmPW+szIfioTl39Gt6oN+1VJjiBnCfAhzSc7BrO9v3tRX332n727cyNc1AXMSN28AAID5YTrBLOZDmC+YD2Euybln1l0LF2rxokW69+67tWDBgnxcEwAAAAAUBOZDADDzcs7MAgAAAAAAAGZKTg3go27cvKlvvv9e3924oRv/+lc+hgTmHNJqAQAAAACYfTkHs27cvKkvv/1W/2SSDwAAAAAAgNss555Z33z/PYEsAAAAAAAAzIicg1ms2gEAAAAAAICZknMwix5ZAAAAAAAAmCk5B7MAAAAAAACAmUIwCwAAAAAAAAWDYBYAAAAAAAAKBsEsAAAAAAAAFAyCWQAAAAAAACgYBLMAAAAAAABQMAhmAQAAAAAAoGD8YLYvAIWlv82jFjWrvbEi9U6RsPw7AhpMO9Jq1R/0q9YVH7ej+IB8G5bFx3hT2r7PLZfj8RPqajqpon1elac9n1t7Ql6VZ3xns2fy+HY1a59+u2lpij0uav+al/SHLMaq+fXZNOMAAAAAAFD4FkxNTU3lMsD4l1/m61pQEPoU9BxVkSUQlSSrQNRb0uvRMSYUiSzT5HvxgFZ/m0ctp1KMX2cG0yJh+XeMaHMsWGUft09Bz4dam6dg1vLFi/XtzZs5jDCp46+s0y/PZLv/Nh25vEePOr30txa9OuwlcAUAAAAAmHfIzEJKaQNKOzwK2jbV+kKqrzR/GAhotyeQZvTVqo/9e5lcLsnVGJJPkiJhdQx51RoygmH9bT6NvehXrWtCXU07NVZlZoW53Nq+zadDnRPxjK45bak2/f6yNlm2TB7frub3JZWt1MqHvNrlGJxKlZl1WI+8YdvkPaqPdz+Wx2sGAAAAAGBuIZiFlMobQ2pvNP4d6fTpkF6zBI0yZD2VedWaKTMrxfax0lJVv+41ju0NqOXUFUl9qn1xVOcG3NpcGT/CtcFvBMAKjpGl9cHzZ7X3+SY1y6sGNemRV36iP//+p0oMaT2mXZcva1f0yIxliQAAAAAA3LkIZiGjSKdPu8/WqHWfNfupQvUHR+X3BCxlfhbTysyS1BtQgz9sye4ysrCCA27tCYVU3htQww7F+1+Z+9t7bxWCS61rtDXwtH51+rJ+u1yaPG5sX7rpkD7+r3f16po1kqX3lbG/fZR1yVlZUWRnAQAAAADuYPTMQlrRQFZ9aUBjVZYyQjPYNLbOq+HD3apOCiiZr2+xHpNCb0ANx1aYmVzRIJZTkKpPQc9edcWaupsZXltqdM7v0AC+zq3aU5o7PbPG39Wrz/i00rtNfwgczuKAp/Wr04e0aXn054va/8qgGpIyt8zX1oT1k1Q9tgAAAAAAuEMQzEJq1iCTvam79bWEYJQhbb+tKFspYuZj7AGu5Ebyc7sBvClD8/bJ49vVXnJIu55M3PbsG3/JMHCahvEAAAAAANwhKDNEapVetUezqlxubV/n06HOx+XbIHUdC6t2S8gIRFn3kxmUUrPaQxVKDCjZ/t00mnTKhCbyNv1tPo1N6w0sU1HZtA6YMd1vpCkTlPTyH6P/ivfW+vj0ab3aLO1Nk5kFAAAAAMCdjmAWsuba8Jqqm3aq4bCkuuaEAFZUf5tHHcUH1L5hmYxMqb2SL6RySZHOoxre9prRKysyquEM5+tv8+h8VRZlimkNaSwi6b18jJU/NZaeWHaTx7erPfaTZQXEcUlnfHp2TaqW99v0k3xfKAAAAAAAcwzBLGSv96SCA+l3KW8MySez19bhK/FMq0hYhw6XanPI0kS+tDjFaoeSNKGxodUqejGbC5tQV9tHqmx83LZ9mYpKr+j851JRNsPMoOwzs2zW+x1WO5TIzAIAAAAAzBcEs5BRNDClMq9aQ6F4zyzPXiNDq7HCsnNY/h0BDdZFywyjx5fGVyKUFDnfrUG9lHCe8sZoBpd5Pkna4VFQUupVC68ouGOnan0h1Woi6drLq9zqGJ3QWq1W0QO5fhJ58uQefXx5z60dS2YWAAAAAGCeI5iFlKIN2VdtO6B2a0aVZPTJCnnjQS1F+1255Qu5zZ3MlQlLjcBWpNOnhmiQSm7tCUWDYNFVCk2WQFjchLqaPGoYMK7Ht2GZFPlI5wbcCUGyJJVebe7xqOWUW3sac/gw8sFczbA76wPsqxmKzCwAAAAAwLzHaoZAlvK2miEAAAAAALhl/zbbFwAAAAAAAABki2AWAAAAAAAACgbBLAAAAAAAABQMglkAAAAAAAAoGASzAAAAAAAAUDAIZgEAAAAAAKBg5BTMmpJ018KFeboUAAAAAAAAIL2cglkLJN1NMAsAAAAAAAAzJOcyw0V33aV7fvCDfFwLAAAAAAAAkFbOway7Fi7U4kWLdO/dd2vBggX5uCYAAAAAAADA0YKpqamp2b4IAAAAAAAAIBusZggAAAAAAICCQTALAAAAAAAABYNgFgAAAAAAAAoGwSwAAAAAAAAUDIJZAAAAAAAAKBgEswAAAAAAAFAwCGYBAAAAAACgYBDMAgAAAAAAQMH4/5zCb8fnpSWEAAAAAElFTkSuQmCC">
截图来源:药融云全球医药交易数据库
Sage Therapeutics公司业务领域
Sage Therapeutics拥有三大领域专营权:抑郁症、神经科学、神经精神科。
01.抑郁症专营权
Sage Therapeutics在该领域的研究和开发工作集中在GABA和NMDA受体的调制上,这两个关键的神经递质系统负责大脑和中枢神经系统复杂回路中的信息流。GABA和NMDA系统对中枢神经系统功能的调节都有重要作用,这两个系统的功能障碍被认为是许多精神障碍的核心。Sage Therapeutics正在使用其独特的开发方法来评估治疗产后抑郁(PPD)和严重抑郁障碍(MDD)的研究候选药物。其具有代表性的产品zuranolone是一种研究中的口服神经活性类固醇(NAS)GABA-A受体阳性变构调节剂(PAM)。

▲ZURANOLONE的临床开发计划
神经科学专营权
Sage Therapeutics正在为某些神经科学疾病探索新的疾病途径,将重点放在有高度需求的疾病上,这些领域目前尚未有足够多的治疗选择,例如痴呆症/认知功能障碍、癫痫、特发性震颤、帕金森氏病。
痴呆症,包括阿尔茨海默病和广泛的其他形式,影响着全世界超过3600万人。这种神经退行性疾病的特征是认知功能下降。有证据表明,增强大脑中兴奋性NMDA途径可以治疗几种类型的痴呆症。研究人员发现,许多痴呆症患者的抗NMDA抗体水平都有所上升。
癫痫是一组以反复发作(脑电活动突然激增)为特征的神经系统疾病。尽管已经批准了超过25种治疗癫痫的方法,但仍有约30%的患者患有难治性(难治性)癫痫发作。大脑中抑制和兴奋通路的不平衡导致了癫痫发作的频率和持续时间。Sage Therapeutics正在探索增强GABA或NMDA信号如何潜在地帮助这些患者。
特发性震颤是最常见的运动障碍,其患病率是帕金森氏症的8倍。这是一种进行性疾病,通常具有遗传性,会导致手、头、声音或腿的节律性颤抖。研究人员认为,这可能是由大脑中向肌肉发出异常信号的电波动引起的。震颤通常会随着压力、疲劳和兴奋剂的使用而加剧,特发性震颤与GABA受体活性降低有关。
帕金森氏症是一种慢性进行性运动障碍,在美国大约有70万人受到影响。在这种疾病中,大脑中的神经细胞慢慢停止产生多巴胺,多巴胺是负责协调运动的神经递质。随着帕金森氏症的发展,大脑中产生的多巴胺减少,导致患者更不能指导他们的运动。帕金森氏症可能会导致震颤、僵硬、运动缓慢和平衡障碍,以及情绪变化和睡眠困难。目前治疗帕金森氏症的方法集中在多巴胺替代疗法上,最初在缓解症状方面有效,但随着时间的推移就会失去效果。GABA受体可能是治疗帕金森病的一个可能的治疗靶点,GABA信号有助于调节产生多巴胺的神经细胞。研究人员还发现,帕金森氏症患者体内的别孕酮水平降低,这是一种自然产生的GABA调节剂。
神经精神科专营权
Sage Therapeutics正在研究大脑和中枢神经系统(CNS)紊乱的潜在原因,其神经精神病学研究化合物SAGE-718以独特的方式来调节大脑中的某些受体,这些受体在大脑处理信息的方式中起着关键作用。Sage Therapeutics正在探索SAGE-718在亨廷顿病、阿尔茨海默病和帕金森病等神经退行性疾病中的作用,旨在评估SAGE-718是否有可能改善这些难以治疗的疾病的认知/行为症状。疾病类别包括亨廷顿病、帕金森氏病、阿尔茨海默病、亨廷顿病。
亨廷顿氏病是一种罕见的遗传性神经退行性疾病。在美国,每年有多达3万名成年人被诊断出患有亨廷顿氏症,患者年龄通常在30-45岁之间,在确诊后的15-20年内恶化,最终导致死亡。
帕金森氏症被认为是一种影响体内多个系统的疾病,美国每年约有6万名成年人被诊断出患有帕金森氏症,大约19-38%的帕金森氏症患者也有轻度认知障碍(MCI)。数据表明,大脑中一种名为NMDA受体的特定受体的变化可能是帕金森氏症认知障碍的原因之一。
阿尔茨海默病是导致痴呆症的最常见原因,2020年约有580万美国人(65岁及以上)患有阿尔茨海默病。阿尔茨海默病患者的认知功能下降,包括记忆障碍、语言能力变化和执行功能障碍。临床前证据表明,大脑中NMDA受体的正向调制可能会治疗几种类型的痴呆,包括阿尔茨海默病引起的痴呆。

▲SAGE-718的临床开发计划
全球首个治疗产后抑郁症获批药物——Zulresso®
当地时间2019年3月19日,美国FDA批准Sage Therapeutics研发的Zulresso®(brexanolone:译名布瑞诺龙)静脉注射剂上市,Zulresso®是全球首个用于治疗产后抑郁症的获批药物,用于治疗成年女性中度和重度产后抑郁症。
抑郁症
治疗抑郁症的药物始于20世纪50年代,当时抗结核药异烟肼被发现能使患者情绪改善。这个发现带来了单胺氧化酶抑制剂异烟酰异丙肼的发现和开发。1959年,丙咪嗪(被批准用于治疗抑郁症,三环类抗抑郁药应运而生。单胺氧化酶抑制剂和三环类抗抑郁药都是治疗抑郁症的有效药物。但它们的选择性不强,与大脑中的许多中枢神经系统靶点相互作用。因此,它们是具有显著毒性的“脏药”。这些毒副作用导致大多数抑郁症患者不能完成整个疗程,因此,这些老抗抑郁药的使用有限。
1988年礼来公司的氟西汀(百忧解)作为SSRI的出现彻底改变了抑郁症的治疗。百忧解是一种高度选择性的药物,因此它是“干净药物”,比老抗抑郁药副作用少得多。大部分患者都可以完成全部疗程。许多“me-too”的SSRIs紧随其后,主要有GSK的帕罗西汀(1992)和辉瑞的舍曲林(1997)。
如前所述,抑郁症的病因非常复杂。因此,许多药物都不止一种作用机制。例如,惠氏的文拉法辛(1993)是去甲肾上腺素-5-羟色胺再摄取抑制剂的组合。GSK的安非他酮(1985)是去甲肾上腺素和多巴胺的联合抑制剂。最后,丹麦灵北制药的伏硫西汀(2013)是一种5-HT3A和5-HT1A受体与5-羟色胺转运体联合抑制剂。
氯胺酮是一种滥用药物,也是臭名昭著的“迷奸药”。然而,氯胺酮的(S)-对映异构体被证明其治疗抑郁症快速而有效。2019年,FDA批准杨森的esketamine(Spravato)作为一种快速起效的鼻腔喷雾剂用于治疗难治性抑郁症。Esketamine是谷氨酸和gamma-氨基丁酸(GABA)神经递质系统的调节剂。与大多数现有的抗抑郁药不同的是,esketamine是基于非单胺策略的大脑兴奋剂。与esketamine一样,布沙诺酮也是一种非单胺抗抑郁药。
上述所有药物都可以用来治疗产后抑郁症。但是,它们都需要两到六周才能看到情绪改善。这个起效速度太慢了,因为产后抑郁症在产后的第一个月最严重。
产后抑郁症
对于产后抑郁症,症状发作的时间与类固醇激素水平急剧下降的时间线相吻合。这些类固醇激素有雌激素、孕激素和四氢孕酮。四氢孕酮是一种内源的抑制性孕烷神经活性类固醇,它的水平在怀孕期间上升,在孕晚期达到高峰,然后在分娩后急剧下降。分娩后四氢孕酮水平急剧下降与产后情绪紊乱有关。四氢孕酮本身具有抗焦虑和抗抑郁作用。主要的抑郁类的情绪紊乱都有四氢孕酮水平的降低,而抗抑郁药物治疗已被证明能增加四氢孕酮水平。
关于Zulresso®
Sage Therapeutics的布瑞诺龙是一种神经活性类固醇,是GABAA受体正向变构调节剂(positive allosteric modulator,PAM)。它被定义为变构调节剂,因为它结合的位点不是在GABAA受体的高度守恒的的内源性配体结合(正构)位点上。

GABA是中枢神经系统中主要的抑制性神经递质。GABA的快速抑制作用主要由GABAA受体介导,该受体被广泛认为是有效的临床药物靶点。事实上,乙醇、苯二氮卓类、巴比妥类和全身麻醉药都是GABAA受体调节剂。神经活性类固醇和巴比妥类药物一样,都是GABAA受体的β-亚基的高亲和力调节剂。
布瑞诺龙是一种人工合成的四氢孕酮类似物,可以增强表达了重组GABAA受体的哺乳动物细胞中由GABA介导的电流。在10–45岁妇女的产后抑郁症的治疗的临床试验中,60小时连续静脉输注布瑞诺龙的疗效比安慰剂更有效。情绪可以在输液后立即改善。布瑞诺龙提供了一种快速起效的抗抑郁药来治疗产后抑郁症,这是一种尚未被满足的医疗需求。
brexanolone药物基本信息
CNSa8w1Jq/IRXuVl9bYptkuKsoKSKORGschlpj7a6p0c+ZRD3lpxnXu4Ar7NSfm2hd7Th1PJO+3tS3WcYeo5xzn9/4b3Z2fRS/v/4z+4Lt0177LpfTvccva5UyfNNSdisj1oOBmjAnWuilvc1HhPs3mEn/Mh3E6eWU+8oJ+PNthQ8IP6nTyNq3Es91Prn19dvIP9qZKN2eARMFTxLMUVsUsynZRUeaherX9wgRwL7S9zZyy2IuWsVlXByx/1LxofXQaMu41fs91Ue1rpMbh5ow9aMkvpboYahyHmJNm9Xkr5BdQ82YjeVEXNftFtoAtPp/Zh+gvAmMy4EnicP1u8rknEvC0HOep6XdxPg1I+0e+7f8PXguOZCCyiOcXdjCzuZHH0gYKskRkNA36OdbgpfDwELcJ+vG8adsufFMpWrkjfnme24fT58Npv1kFkHEaT8ea+BtZAMEO2vOX4QSgkzNtmebnu3Gdy611U1hpD1qMm1u5R9zsIj3c510HMsljD4Fg9I0ueyCXVbSDaqsPG20BV7LrYv/HfPKrf+XSpz0J3wNLqPNXfParXlLWr2TaGEnhdO3dwDc//AEnNt8z2l0RGTUKbsYMM7DILKW6zPgwr8ZLocObIIMTEX8nzhG+e7a5MiNyYWjxstnhTbKXBTgfhXDwRCeBktjsjyXR3UT7hWkwjRxpW8kqs22wo415GfaM0CKcPk/8Zg2HaC9ag9M853KMO3dLKh14amOzSomyXtGZo31D6eo1crh+N/mfGL/PfKuDX8xN0jCcxVnPB0ffYGY9nF8J25qCQJCZbx2LtD24m6cAptzBBwUruO0q+xMt5hgAt94zSFZJRK5GsqxKIOZzO6vI/nk3UFa+gC3u+KUBjyN5Fj+/1Pgz10W1z2UGR8sSZkWMkQKe6EDJfrNqEMEj9cxban3Wd3KGudh3lbbaQ3XcVp00HMhkXVk60EjNxnqW7/SQhxG0zIn53I9+r0z2zFFJR8K+ff7uzxMHNun/ja8+nsmFqhe4dMFc9ulr/PXdBUx5+LYxMETtGNU/ghf2K7CRm5uCm7HANnyq2v7pnuuieqcfj8MBiT6kMS8Aq43fE15sLEPK3NidpGajg5pE/c12sSqq/29zcMUaElxH4wU7aI8LtJJcbLNdVDxu9vFwm5HtafCy+cBKKswAcGGxj3WVDgor7cMp/La7iwVs8S3jSF0BS4qH0sFrb+nK9ZyPGZb21OnfMvM0rJkyDaZjBDanvsQHBcY53XbfOs5zltf8v8UDuBeu5/lsuPIhZ0n6E7MsaqiciFwX0VmVBDeSGrx4or6PLzIyJlZ72zAvq/3Ax7CxZ27s6rZSmGT4W17Uh34ngVcxA4/BdXWcJFAV/dkfG8hFjrODOQAf/ZGDmctw00mgZCu4feYNuALcO/14HG4j2DHfsNaqyIiDrKIdbKAeVjw38NC0S8e5+MG5xOs+Pc5f32uj94voxf0f+Lmw8r8xY8pgZ32Nve/nlfsf4Xf62JabnIKbUdZU6aAcF85sqEl6R60AJy9SWLKS/76inv9h3t3b7KjHWZRJTUfkzlp7RyfkptNU6eDI0h3MeTUyzCzZhQOAOgc14QDIyuAM8RwO+2mt81NYBXn5BQTqzMDCPnzBtn+3r8BcOPCYcsC8OHcYmSH8eF6dGxekLSz2UREewmC8X5HMjXFnE7cv6o5ewOMgMND48utszdyHI3Numo4xk3s4XxDTt5bjPDX9HuqmHyO/aTeeJtu6t3ZH7ydOkHyzTZgty5M4e2MEXGHK2oiMMfFDiQPW567t5lD0MLMBMjdAYZ0tALIyOEMR/CMHW/y0OvyQXUAefgItAP6oIc3h/Rf7zM/rQW7MWef5KtBhZIaaKp/lzOMxQVpaAW5fBjUON4GdHnKJztwEa93mjTFb8NXiNa6jtoCov/Ukvf3xPUhJf4wvPbQEjv4rl2PX9x+npxX42tDeqmvl+LtVPLmhmVmj2w2RUafgZpQtLPaZqfeCcDARNeHeJm+10a56SfScm7wGL4WVUJEBrQf+SKDDy8GMHbhz0yHXGLscuXAMFlAMVnzAYk7u/8hLeV1kLPS+DBfVxcuSTBSN3kOwdg+BlpMJg67ou4sZ5D1+msI3M4whew3eyDju8PlYQxgaY/Zk3Nm0s2e7RtUnxxIPS0sWRGQXcD4bDtcfu4rMTRp1g7SJ7DNB5iZ4AGfzEM9LRK4T+40oI3Mzp6iNg9b1w8rc5Lqo9i2L+uwfLKAYtPiAJb+U6uJ0Atu9tFrzI0s6WFXmY1Wy4jFRGtlXdZJAoqArdsTBkjUs3/4iZzb5cKZ1EiiJzO0Mn485rDkYs6v4z3171ivi8seniTNtJZNu6YG0aaRMSPQm9ND38cfAVxO/R9fD2dfZ5S1iw+bR64LIWKHgZjzIdVHRYVyIsrIxApuYwChqnHV2AZQ4zLtqFlu2Y4AhbBZrKFvT4TayshM0yJ47yN0jY+y0sygTlrhiKrvtYc7tsee4jDzPIZqKFyWdfxQRPSzNWdRGTexFegjneK2EsyRmEHPu6Bu8NdhG4W74alAAACAASURBVGFqKwDwXHHmRkTGukTzYeLn3KwZcB9zVnvYUOumpsET98U9du5lXn584QB7tmPQggXWULbgHznDgoRNoudUJtBwiPYiF3kdGThtgY9RBS0j5jM6ndwVsOtIp3mzb2DRw9JczKvyxr2/Qyouc7GeHv5PZnKO8+0fD37gUdD1h3eod/2Al0a7IyJjgIKbsSBhZZro6mQJJ0aajKFtpVQU7WFfxhPgeZum1dETKyMf4GamY5OLdusumnlHLTZoSHjnzgwKLAuLn2N5yYsx53OIQOay+Atr1L5f5OCK53Cv7qSmxE/QDDSaKrfSXrQD5wBRR7CjbYA9Q3xBgUbOHLBlqxq8eDruHZXABuxzbgZr2cg2/3mcBStoPxvEPb+A24B2RnbOjYiMDVc856bDj8cTXW45PCwNN3OKMqMPYLupY2Q6XGyhLZxZb6p0c2ZJ7HUmcTY/z+3Dad2ESivA+fhpAlGV2TppOABzNg10xo3UeGCdr4BZVkCWi1EFrSqTLb6BhsF2cqYFYy5OErHXzSD1EM5WmZmfmMBm8lfnArHXmElMnJdJamd93Hwba/2Er45i1kaFBESiKLgZC2LGNScblhbFdgfOKnMZrAVYhNN9KGGVNXs55MDGApxF9XhqVzKv6jTrfAWxRwBiLrZmCep4RvEBo70xBydv6QDjtM0L1zpfOpCOc1MHHoeDVpIEcdaE1vxSnECTvZT0AMewSn7muX04Hz+Ep7YTd8bbZvWfoU16va5a/DhPXTAKCgAEz3MccAYP8G9f3MG2RBkyERkX0lYnyLTEynXhtn8Zz7DPYUygwUtNbEGwqHLIDtqLXMzb6CVQ1MbBjOdwJ7rrE5Ppbqp0cCTR8azP6mwXq4J/5CAr2TDAXaTwzSyA1R6WVDoo9EDiipfWdWYBzp3pEPyjrZT0QMcwr3vZLirKnmNOiZem3DWcMSuCxt7US81awMT99dHzblIXMykLLh1tIyU9Ezpjgh9z/ahRIQGRKApubii2h5H5fMkzD7kuqt1eCkv8tgIEDnD7qC623Q0M+jm40UsgtvqZTdwwiexEQYvt4ZoNXgrbXFQkrUwWKd8ZnvC/0UsrC8jKPklr1YsElsTMz7FP/G/wUt62koqkDxw17jAGtke/R8HaNmOIApDnHuIE2evo7dO/ZeaUO/hgPrx91lx4/nPenp7BD5uPsXj++qjyzsmGpQ1lbs0VafEzs8kYvb5m7sMjtVcRGQEDlnW25C/Dnn2xPhuxzblp6nBQXgV57iQ3fRI8SiAv0YdM+LPauFbNezz5dSpc0t824d8IQhaQ1eKnvDK2BLX9Ic6dBEq8zHvcl2DPmDfQTtLKsxxxRwoXQCNnWvzUOPxGsJOoc1MWM+2u2/hrk61i2pS/ITUVQrf+DaGj8WFd6l0FfHkUK6Udf7eKlasOqJCAiEnBzWhL+rC0+IdmZhXtwJ2oill4Hwtw7jSX5brMstIFCSbPn2ZfiYOAFSQFjXLT1mRQS/wETOMCaVzkCthSDMaE1sizCgKvtuHc5Ep6QWuq3AruHbDdQWGL0b8tUZM6OwmUmOvyS6mOuoAaQxi2+JLPlVlYXEpe3SGW2IZebK46aWS3fOlmH8y7g6NULe3c0Te46/TFcLDQ/vnFqGFm7qZj4efLuBcWsDR7UVywYp/8H+tw/W5mJnpuTWy1NAjP+1m6cn3igMgsYiAiY8/QH+IZP3k+CHDY9hiCYuuz0SwQE26ZYNtaN5vNwCqraIexMHzNARreNp7ZlqxvQT+7Dqyk4vFDFDq2grkf6zM63HfHVozr2nPRm9e+yMEVO6KzWHZpBWwoqmcXz0WGYzu2ErBfb6zrXlTQZPjSQ//M5TM/iTzr5mIdF36epB72Vx7jlodG8Rk3ViGBZoU2IpaUUCgUGs4Ozn722Uj1ReSGMXvGDLr7+ka7GyI3jKkTEpaZiqNriowJPec4v/ff6O5M/u8xJf173LJ2OdMnDf9wV3tN6dq7gW9++ANObNZ8G7l5DHY9UXAjchUU3IhcGQU3ciO61HqQC0fq6f34NKF+IHUGqV9dwuQlDzEja8aIZWx0TREZusGuJxqWJiIiIpLAlKzlTMlaPtrdEJErMGrDREVEREREREaSghsRERERERkXFNyIiIiIiMi4MKzgpq+/n9SUlJHqi4iI3MRCoRATU3XPTURErt6wriITUlOZPMQKOCIiIgNJSUlhoq4pIiIyDMO+RTZt8mQm6WIkIiIjYOqkScreiIjIVRt2KegpE41dXLx8mct9ffQP77E5IiJyE5s6cSKpU6fyRU8P3T09o90dERG5wQz7IZ52oVCIFM3BERERERGRUTAiD/Hs7u2lu6eH3r4+evv7R2KXImOaniYtIiIicv1NHWQ6zLCDm8u9vVzo7lZQIyIiIiIio2pYszZDwBc9PQpsRERERERk1A2vJE0opAmfIiIiIiIyJgwruFHxABERERERGSv0MAERERERERkXFNyIiIiIiMi4oOBGRERERETGBQU3IiIiIiIyLii4ERERERGRcUHBjdx4GrwUVjaOdi9EREREZIxRcAM0VToodHhpilvTSaDEQaEj8lPTEFkbrHVT09BJoMRNIGjfrpEaR/R20T+x7eP746ntTLguWOuO3leJn0Bl4uNYfQ3WuiP7C/rxWIFBgzf+vBu8SfrZSM0g/ba2tb9H8Sfgx1PiJ/Fu7O93or8PU+4y8ur2DNyXBPsdsF+jrGvvBp7Z23VV292dk2P8PP064T28X87dFcdsLY+xLScnZlmMuG1i9p+TM0Afu9j7dA7b3r/iUxAREREZMRNHuwOjLVjrprzNRYX7NJtL/FSUFZAWXptOXpmPvKAfz3bYELXO1mbTSjzb/eTa12e7YvYV0VTp5gxgfOl+lpqWRD17lsKqmEXZLirKPFSvNvfxqIe8NIB7oe1t5pS5WEjsOujqgOWPphsvPjoNGfcav+e6qPYZQcuZnZH25JdSXQw1jkPMSbP6vBXyC6h5s5G84kW2TjVS49hKAIACtvh8Zh8clNdFWuW5fThzgbQCNqxws6v2XtyrO23bAizAudNHdcybFqx1s7nqZPxbtNFBje1lVtEO3KvTY/pk43FELxvg7+ha6tq7gW/+6PcJ1qzg7h/FLitid/MWMpJt49rDieZdAx2NvU+v4MfvwZO/bGb3uzncnRNZ++Qvm3nk3RzWe60lVdwd/r2IF35itHn+63C8Iod35s0y1x1jW84TvBJ7uPdyopfd7+F3L3+XWbHtRERERK6Bmzi4MQOLzFKqy4wv69UYmYwtPiNISCT+i3bkC/PmygyqrS/+LV42O7yxm5sW4HwUwsETnQRKXoRNtgAjrJGakg5WRX0J7+RMW2Y48BhYI0faVrLKbBvsaGNeRrpt/SKcPk/8Zg2HaC9ag9M853JKqS5exJJKB55aK4iwFCR8z6yAJljrZp9tedrq51he8iKBJR6cPh9O85wCJW8nPadwcDQgI0Nz5vHSUQtchmLW2l2cWAtGgPAz5u/fxdrZ1tou9j5dAlvty6CLSJAxmOMVVrBSxd0tRTzJA7xgHuP4uzHBCrB4czMnNh9j29OtFMYEIl17N3AKo6/vtHgo3GwES6c27FHgIiIiImPOzRncNHgp9PjJc/uotn9hznVRvdOPx+GAotgv8Ia01UbmBMwv7RmexF+6h5S5sTtJTUwmwr6vVVH9f5uDK9bgTnqCNSEO2uMCLUd8VsPq8+NmHw+3GdmeBi+bD6ykwgwAFxb7WFfpoLCyNBLI4afc4Td/L2CLbxlH6gpYUpysU+nklXmMIXaxGZnwfgi/h/FiAr4GL4WHl1FdvIi8TS482/cAK+lKlvExDS1gupbu4fnmH7Ct4hhsvgeA4xUrOLWhmednx7d+5fs58ZmSWK49nNjczImHyrn73QJObJ5rBEuDOF7xBK+8B6/kRP5VPfnLZgrN37v2+pm/dQuzgLVbPTxT+jPgETqSZqEi+xhKQCYiIiIyEm664Kap0kE5LpzZUBM7TCmsACcvUliykv++op7/YX5B3uyox1mUSU3HsvAX+/aOTshNp6nSwZGlO5jzamSYWSBp5gaoc1ATDoCsDM4Qz+Gwn9Y6P4VVkJdfQKDODAjsgYFt/26fFSAkygLFaPACHUZmCD+eV+fGBWkLi31U1LoprHyC6mLj/YpkbowhYbh9UZmcgMdBIP85nG0vUtNiDSGLBIrhzE1ZfAYoGN7vIZb4XCwknTnsoSFYQF6akY3KW+oyGqcV4C7LoKakg1lD3P9oiGRXDK/Y/6l4bUGMaw8nzMDnmgUK75ez3gsrf3KAl9bOCvfvnXCDLt7bV8WpeVtgNjD7u7z0chbbnm4lI5yFMtrtfdrLnS9vYfE16KaIiIjIYG664GZhsY9qAArCwUSw1s0unovL1OStNtpVL4mec5PX4KWwEioyoPXAHwl0eDmYsQN3bjrk+siNyugMFlAkmR8SZwHOnR7yPvJSXmf8nnvEzb4MF9XFy2xf/OPn3FiCtXsItJxMGHRFZzEyyHv8NIVvZhhD9hq8eDrWROazlHSwqsxjvo+xVcsW4fT5opakRQUZK8hr8OLpsPoUk12xArS4zNciluRv5UiDi4W56czJPMmRj4C0ThoOZLKkzGpnvp+x2a4x6JpnNbxPmMPSYH7SRl3s3QW7f1nE+u9Hz/l58iHrt1msfbmZ4xU5bKOZ579uzre53xPO7IiIiIiMBTddcDMicl1UdBhfyrOyMQKbmMAoYM8KZRdAiYNAVOEAW7ZjCPNDrKFsTYfbyMpO0CB77iBzH4wgwFmUCUtctsCnkRrHHubcHnuOy8jzHKKpeNEQMh3Rw9KcRW3UxA4HG+Acs2KHAJoFHCxdHTBnCSxcWkD54UacuYuYlbHAyJrd/kcOZi4LD9FrqjzEkp0u2rdbr+2BXuzwudHM4jzA/Iwr3yp5MQLMLM/ccAGByOuBhqXNYu3LW+D98gEyN4bFTg+7ao5x/F0/j+z3cKoUs+0GPnRac4SqWJ9jVcIwiiEoiyMiIiLXy80Z3JhzbqJFVyeL+8JtYwxtK6WiaA/7Mp4Az9s0rY7+ohzJhJiZjk0u2t/MwF28yPjy/mZG/PCrRHNEYuadLCw2JuNHn88hApnLzIn5iQVrX+TgiueMCmUlfoJmoNFUuZX2oh04B4isgh1tA+wZ4gOFRs4ciJ4T4+m49yon93dyxjq8PeDKyKT1cCdB6pm3NFIQYWGxCxq8tGYuIw2ILlw82gHN1ev4EOZ/A2iPHj4W9n45d78LVpZlbfi1xRgydipRYGyq/1GyzE20xZuNYKg+u4BZQEfUWgU0IiIiMnpuzuAm10W1zxV+mWxYWhTbpPysoh1Ur04nWAuwCKf7UMIqa/ZyyIGNBTiL6vHUrmRe1WnW+RJNlI8ZHhaTwYgwig8Y7Y05OOE5J4kE/eyqymSdLx1Ix7mpA4/DQStJgri6rRTWAfmlOIEmeynpAY7h2eil1TqHxw/hqe3EnfG2Odk/+fatVYnLXhs6OYNV7S2dOdltnAnCwlwX1bmdBErsQ9IMTYf9ZGWsGbi/o6qLD1vmc2eCogGJHeMd73we2Xy1x/s9P36whBf27+KRmireebecu79fBRSx27bPpJmbcPsHeGH/d43171ax8s4B/s2JiIiIjIKbM7gZMrNcNC4qfL7kmYdcF9VuL4UlflsBAge4fVQX2+bcBP0c3OgdcD5IIMGzWOKZ82/SMLJQbS4qklYma6RmYz3Ld3oiE/43emllAVnZJ2mtMkoyR83PybdVQmvwUt62kookJ99UacwXCmyPfo+CtW1G0ALkuW3nEM6atRnHjZqPEy9Yu4dA5hNmVsqoshZZGT0kzTrfI3ULWL5zkGBsNL3v5cfZBZwYYvOuvT/jFdcPeB4jExWbYQlzJQqYT3MKD79rNko2Hwd4aAsnNm8Zen/j2h/jHe8DPLxfRaBFRERkbLn5gpuEQ9Ig0UMzs4p24E5UxSy8jwU4d5rLcl1mWemCBF/WT7OvxEHACpKCRrnpVvNhmZa0uC/6xuR4I2NUwJZiiP6C30ng1Tacm1xJA6+myq3g3gHbHRS2GP3bEn62jLmPEnNdfinVS2OO74EtvuTzgRYWl5JXd4gl5hA0a2hdVtEOqn3pZh8cFHqM/W8B80GfjdQ4HANPSM9/DmcbODctSv4gTzCyTFj9P0Qg/wmq8eNxGJkk6mwltu0V5exB3HV0/N1TvOC8Z4itu3hv33x2vxxpP/CwtEgltpU/cQGzeP7loR4LOPs6zzzopt7K6rQnaPO+n1dcP+AEr/NMjpt6AG8OP7bW59j+R7JVexMRERG51lJCoVBoODs4+9lnI9UXkRvG7Bkz6O7rG+1uiIiIiNxUpk6YMOD61OvUDxERERERkWtKwY2IiIiIiIwLCm5ERERERGRcUHAjIiIiIiLjgoIbEREREREZF4YV3Ayz0JqIiIiIiMiIGV7mJiWFqZMmjVBXRERERERErt6wgpsUYPqkSUxM1eg2EREREREZXcOOSiZPnMiXp05lqoIcEREREREZRSmhEZw409ffzwQFOCIiIiIiMgomjsROLvX2cvHyZS739dGvIgNyE5g9YwbdfX2j3Q0RERGRm8rUCRMGXD/s4OZSby8XLl2iR1/0RERERERkFA17DNnFy5cV2IiIiIiIyKgbVnDT19/PZQU2IiIiIiIyBgwruJmQmqo5NiIiIiIiMiaotJmIiIiIiIwLCm5ERERERGRcUHAjIiIiIiLjgoIbEREREREZFxTciIiIiIjIuDDsh3iKDFmDl8LDy6guXnTNDtF/6WMu/Mf/pLv1T/RfughMgimZTMx6iC/9498xbco1O7SIiIiIjLKUUGh4tZzPfvbZSPXligVr3ezL8ODMTbTSj2ejl9ZB97IA504PeWkAjdQ4thIYUtt4TZUO3sjYgXt1esK+bq46GVmQ7cKZ6aWmLn4/eW4fzlxjm108Z+wv6MfzZgbu4kVGkOCBLT4XC62NGrwUevxJzmkPcwbot7WtddyEgn4822FDWQHxu+kkUPIsNS0ABdH9ijKEviTY75nHB+iXzeXm33A+8C79/UkapM5lUt4PuTVn2rBTlrNnzKBbz3gSERERua6mTpgw4PrxnbnJdlGR8Mu4pZNAyYtD3qap0s2Z8HbWl/lYz1JYlagfHqpXm/t41Ppyfy+0vc2cMiMYiF4HXR2w/FEzUProNGTca/ye66La10iNw80Ze6CQX0p1MdQ4DjEnzerzVsgvoObNRvKiMib2QK6ALT6f2QcH5baAKxzwpBWwYYWbXbX34l7dGRMELsC500d1zJsWF9BZNjqosb3MKrICwiTBpccRvSzB31HPn17jk3frGTBS7z9NzztlfNJXwle/Nm2gltfRMbbl/Iz5+3exdvZo90VERETkxnYDBTfJsioxX3xjMgddyb5gA1lFpSyPXdjiZbPDm6QPC3A+CpBOXpmPPCs42pQoE9FITUkHq6K+hHdypi0zHHgMrJEjbStZZbYNdrQxL8OeEVqE0+eJ36zhEO1Fa3BiBBfllFJdvIgllQ48tbFZpcRZFnvmaJ9tedrq51he8iKBJR6cPh9O85wCJW8nPacBs0FhnQRKHJx5vHQIAWkCXxzn/P5Egc1XmfytHzPzwq/o3H/QXPYZPftf49PM/8ZXpl/JQa6Nrr0/4xXXDzihwEZERERk2G6g4Ia4L77xw9KML9p2s1YbGROrfXiYl9X+wMDHsItkbuxOUhOTibDva5X9dcPbHFyxBnfyM4wIdtAeF2jFBnK2Pj9u9vFwm5HtafCy+cBKKsqMbM3CYh/rKh0UVpba5rz4KXdYQ9kK2OJbxpG6ApYUJ+tUOnllHoK1bgpjA8bwfgi/h/FiAj7bHJy8TS482/cAKwcMSCE+YPriP/+dvoRD0T6j90/1nP/8T9GL+49w6T8L4KHbkh7j+ujivX2/58kNu0a5HyIiIiLjw40V3FyNqLkoYB82lufewRwgdphZIGnmBqhzUBMOgKwMztA0HfbTWuensAry8gsI1Jn9sgcGtv27fVaAkCgLFH+e0GFkhvDjeXVuXJC2sNhHRa2bwsonqC6G6MyNkRnD7YvK5AQ8DgL5z+Fse5GaFmsIWSRgDGduyuIzQMHwfg+xxOdiIenMYQ8NwQLy0oxsVN5Sl9E4rQB3WQY1JR1RAelA+zd8zKW/nItfnDqXSSue5JY5p/h0T/y8sP6/nKSb25ia7P28Hs7u57d42Pr10eyEiIiIyPgx/oObXBfVPuMLtJG5Wcm8qtPml+1OAq+CNcwsNyoTNFhAMVjxAYs5uf8jL+V1xu+5R9zsy3BRXbzM9sU/fs6NJVi7h0DLyYRBV3QWI4O8x09T+GYG1WVG4QFPx5rIfJaSDlaVeag2+x9tEU6fL2pJWlSQsYK8Bi+eDqtPMdkVK0CLy3wtYkn+Vo40uFiYm86czJMc+QhI66ThQCZLyqx25vsZm+0a1Mf0J6hpMSHr76BnBpNnJBl79tlZemBUg5vjNW5YdYBZo9gHERERkfHkxgpuEs6HSTDnZsCd3IvTl0FNiZ9ZZffGrQ3YJ69nF0CJg0BU4QBbtmMI80OsoWxNh9vIyk7QIHvuIF9ujSDAWZQJS1y2wMesPHZ7TPPcZeR5DtFUvChJpsMuelias6iNmtjhYAOcY6QQgMmsqGbp6oA5S2Dh0gLKDzfizF3ErIwFtHd0wu1/5GDmsvAQvabKQyzZ6aJ9u/XaHujFDp9LlsWJ6Dv5Zyatn0Zv03HGZk2zY7zjfYCH9yu0ERERERkpN1ZwcxVzbhoqHTHlliPD0gKVLnNSfEQkE2JmOja5aLdKMJvlmOOGXyWaIxIz72RhsTEZP7pzhwhkLovrQ/S+X+TgiueMCmUlfoLm+TdVbqW9aAfOASKrYEfbAHuG+EChkTMHoufEeDruvbLJ/WGdnLEObw+4MjJpPdxJkHrmLY0URFhY7IIGL62Zy0gDugbsp91XSZ0BxGZvZixm6q1w8ffHE3dvxmwmXdV5jQwVEhAREREZeTdQcLMIZ9lgD39MJ6/MFbUkt9hnzi9JpJNASX3cUns55MDGApxF9XhqjeFs63yJJsrHDA+LyWBEGMUHjPbGHJzwnJNEgn52VWWyzpcOpOPc1IHH4aCVBFkTgLqtFNYB+aU4gSZ7KekBjmE9DyjP7cP5+CE8tZ24M942J/sn3761KnHZa0MnZ7CqvaUzJ7uNM0FYmOuiOreTQIl9SJqh6bCfrIw1A/c3zleZ8re3celP0fNuUv92AVP72/j8i79jwpTj9F0ifv0VHmnkqJCAiIiIyLVwAwU3V2HAss6WBeGyyUb2xQFuH9XFtjk3QT8HN3oHnA8SSPAsloTHsp5L0+ClsM1FRdLAq5GajfUs3+mJTPjf6KWVBWRln6S1yijJHDU/J99WCa3BS3nbSiqSPnDUmC8U2O6iwuezZcPajKAFyHPbziFcmKHNOG7UfJx4wdo9BDKfMLNSRpW1yMroIWnW+R6pW8DynYMEYwlM/4dv8XmTN6piWsotM+jvgQmT2uiJCWxIXcKUfxjFSmln9/Pb94rY8PLodUFERERkPBrfwc0VPMQzLeGX9dPsK3EQwAwAgn4jc2I+LNMSv60xOd4IrArYUgzRX/A7CbzahnOTK2nfmiq3gnsHbHdQ2ALWgzYjQ9iMZ8MUtmAENUtjju+BLb7k576wuJS8ukMsMd8fK7jLKtpBtS/d7IODQo+x/y1gPuizkRqHg8Ik+wUg/zmcbeDctCj5gzzByDJh9f8QgfwnqMaPx2Fkkqizldi2V5SzB3EA0xcz88GV/JftIZ59/7mFzv9MdNQZTHrwsVF9xs3xGjf85ACLR68LIiIiIuNSSigUGvCh7oM5+1mCUlUio+By8284H3iX/oTPvMEoD533Q27NmUbqMI81e8YMuvuuplTBMbbl/Iz5+3exVvNtRERERK7I1AkTBlyv4EbGlf5LH3PhP/4n3a1/ov/SRWASTMlkYtZDfOkf/45pU0bmOFcf3IiIiIjI1VJwI3INKLgRERERuf4GC26GOzpHRERERERkTFBwIyIiIiIi44KCGxERERERGReGFdz09feTmpIyUn0RERERERG5asMKbiakpjJ5kEk9IiIiIiIi18Owh6VNmzyZSQpwRERERERklE0c7g6mTDR2cfHyZS739dE/vMrSIiIiIiIiV2XYz7mxC4VCpGgOjoiIiIiIjIJhZ24Aunt76e7pobevj97+/pHYpciYNnvGjNHugoiIiIjEGHZwc7m3lwvd3Qpq5KbT3dc32l0QERERualMHWSu/7AKCoSAL3p6FNiIiIiIiMioG161tFCI7p6eEeqKiIiIiIjI1RtWcKPiASIiIiIiMlYM+zk3IiIiIiIiY4GCGxERERERGRcU3IiIiIiIyLig4EZERERERMaFEXmIp4iIjHMX/hfnfvcal3t6h9D4y0z+2v/BbXdNvebdEhERsVNwIyIiA+vp5sKpk4Rmf4+0BXMGbJo6/ctMPPPvnPlfh7h41wNMu05dFBERAQU3MuZ1Eih5ETZ5yPvIS+HhZVQvPUShxx/TbgHOnR7y0uL3EKx1sy/DgzP3unRYZHzpO8W52hp6UqYCH9B1dqDGvYRCi/nKP9xCSsh40LOIiMj1pOBGxrBOAiXPUtMCbHRQA4AfT9sCyC+luhhqHIdY4nNBpZszA+wp4HEQiF2YX0p18aJr1PehamTbW8fwhF+nUfftApbGtDpcv5v8L+7gg4IV3GZbfu7oG9x1+mJkwZT4NgNtn8yVth+/zvKa/7e8lfYwNffNDi89XL+b/E8irdwL1/N8dvSWSd/DFj8zm4K2BVf2dx4WPIDz4J9ZHHdso89PXbItivp3Yaxvnx/f54Q+/gu9Ex/kb/63B5g+aOMgwf/3V1z6ZPEQdiwiIjLyVFBAxrB08sp2bzTPrgAAIABJREFU4MxegHOnj2p3AeSX4n4884r3lOf2Ue2L+RntwCZ4AOdbx2Dhes5/2/rJ4D3/Ac5FNWzkvU+msYY/G4FerFvvCW9fN/3P3FXfGNNgkO3jXGn7URI8gPMtP4ev4SEO1xtBQCSwOctr/t3kc4/t72w99599g9fs8cpg7+GUO/jA3PaDuRfIv9K/c+DcX87BlGl4TsVua3CH/109zC/4M88ftVIus3ms4B5oGoH37sJf6Nr/Eh3v7OPTC8PdmYiIyPApcyM3gJPUWJmb/GWDN2/wJhi2FpO5GfWsTSPbEt51X8TzBTFNWzrw3HoXH3zpA+4628jz2cn7Pe9L0+Dzq9/+qtqPV8ED/NsXd7DN9vdzuP63PDX9Hs6vjH5Plq5cF515uYL38LZbvgzBmIWDbn+W94Lw7fvuYvHBD3gvCI8lGJJpmM39adN46vMuwArSFuGc+wHPHz0blZG6IhdOcm7/r+hLczJjxm85f6iB6Xm3X92+RERERoiCGxnj0skr85FrnzfTcGjwzQYKXoJ+PG+OaCevXEsHnil38MGgw4LO8tqpIO75Bdw28zxrDn7Aa8FFSb7InuW94EXc8xdd5fZX2r6RbW99wLy5X+ap00HWzH2YmvuIHhJ1qz0QiB6CZ7SfHR5e9ba5PDLEy9z/wtt4q8labw7hsg3tevut3bbjxAzzsw3HOnf0De76/DZ+8cWfeepS4qFgduf+co7F89fZhoQZ2ZRfLB8s2Luy9/zw2SBr0hbbjjOE7VuO8xS38UHaItpvPUZ+cyOPpSXrVyM1py/iXhi9/ra/vQ2OtnKO2Vc+9LAvSLD+V/Td/gyzv55Gb/MtpHRdpO9K9yMiIjLCFNzI2BaVhTGyL3n5BVC3lcI6Y2nA4QcW4Hx0lPo4EqK+4Nu+eAdbeetSGj/MBsji21P+zFt/Octjaba77Z8cY+Zbx4zfYwOmoWzPMNpzkac+v4vz3zbSTYfrd9M+fz3nzT4crt+N8+gsau7rYttbxzg+92HOR2UKGtl28HN++O315pyqRra99QavzVxnfpm/yFOn4ANz/bmjb3CX/wAfFBRwfuYBnAc/54fhIMUIbFgYffy76mdGAqxPzsHy9ZxPGtxZjMzIvL8duI09kAsHZUN5Dy/9mbve+rP5Io26lbZ1Q9jeHhDdNjsNmjo4zKKoYM3TtBtPk7n/b6+PD+TSZrKY84O9EXE+P17FJ2cukhJKI+X0Pj6ZMpGLp7qZ9vfLmEqQv17xHkVEREaOghsZ87KKdrCBF9mX4WFVh5t9HcRlZppiCwrYgp+E8kuvUW+vUtoKar69wgxyIuPKzv3lHG9PuY1tQHh4UTDmbrs9O9LiZ+Zb/nBwNKTtba60PUzjFzmRzMx7n4DnE+tLtaUrkqmKHQLV0oGHILy1O2qx+zyQZu7/vsiE+tvuuwv3Wx20Q3x/EmTDlubcwZqDxhf/eQC33jVA1upKzeaxgvU8Zk3QN5cO6T20T/APHsD51ht8e7kR0A2+vfE+L55tvpfZGbibjvFeCyy1nbsRbBl9y69vjBtKB8ClzxO/l0lc/uBXfNI+lS8/+C163/93Lvd9Qs+n85n+99/jbzQiTURExgAFNzLmtVY9y2YgkrmJLyiwsNjDQutFrotqn+u69e+qZGfgbhpsroQxnAjsd/kB/kxNy4rEla7M/bYHYWnalW5/FceLM41fLF8Xf04tHck3SVLhLaHgeY4D9w+l7YhbxP23HuPfBsxkXcV7mGZkZ9rPA0P4Ozt39ANj2F1TTBB56gDO7Nj3cTaP3XcHbyUbGjflS0bQNyRBPv3wI6b8/f/FzC8F+bi3k/4Za5j1j3/H5CHvQ0RE5NpStTQZ23JdVPt8VBQtCFc8cyacKNFITYmfIMZzbTy1ncbcGnMZDV4KK80qYg1eY/2oWoRzLjx1MLbKlk1LBx6m8Yvl66Mqc9XdCp6zsRXR7Nt8mXlpV7H91Rwv5pzuv/UiTzVH2p476jfOLzsD9yV75a9GXjt6NsHys7xWb6/+Fb2/w81/5u1bMxLPlYnb1yDtBzSbedMvGgGHzdKcO+D0b3EeTfKwl6t5D4OtvHVpGvNmDmV7Y16VvULe+W+v5/zyO1hz6RzvJfq3lLaCbXPhqaMxVdWC5zk+feYVzLdJY8qMi1w6/ivO+l/i4uQ1pD+gwEZERMYWZW5kDLM95wawMjdZ+QVkxTYNdtCemUFa0I/nwEo2lKUD97KcF2kIFpCXu4w8zyGaihexMNfFusNuAsHED/28Xm67bx3n//YAzoO7ecq2fM3ch1mKMa+C/5+9uw+KI8/vPP+W1DPTM/Z27NjVY67VZ0UXkjc73NXgo2PGoxVPajGoL87riFqsIRYUiKs56oRnffMHBHGIEAGB2GDhD9/uGEXh4RAB3LG9uC7s2dgWRo14WtmeHXaLro6b8kjUrNZNX7lV3vX2zs50t1ri/sisqsx6oniQkOjPK4IQlZUPv8ysQvnN7+/7yy+XZtxtN7tamXfiK8BZc2Or1ylkeft7250/m6+Wn+EPZ28k2/NbL55h4nmAV2j7+t9y/s8m+bvJOpBXgKK06WbmJ3XB/UX+8Bc2nDVFtVb3queP8w++cINv2AYUcK6LtAENtuerRc/zjfSRyp4/xcQ/OM6/nL3B3/0T28xWd7gfLBdwDCGt5iaV7fpBZIvl7/wtf/LxF/nD/yFtn54/xT/+8qQ1sIArY1/M7nwh2v7d8eToaH/9V38Nv5DxTcrrua//bxxej3L/mbM87/4yR7LOdY+PIgsc+uXzPLuttYuIiOzeoc3NzV09RDr24Yd71RaRnO7ZR0vjXSbO9WY8lPP1rjd57QddvP/bqaDl3ltdBPg9ut74Cj/63jl++NU3zXXcm6Xvj4/StcPhoIuee46PHmhsqEfLGi0tWze3x+QHy3/EXWP/tv/ovMvQn2xQscWIcQDcW+T9f3uf52rP8IvZo5mUB3/FvX/9/0BJC7/0q8/mCH5ERER27tkj+f93UXAjsgMKbh6H/Q9u7COwFVZz9DSwBkBwF7pPH/G3i/8H//VvCnlK5zMcfv53eL5c3dVEROTRUHAj8ggouHkcnoTgRkRERJ4kCm5EHgEFNyIiIiKP31bBjUZLExERERGRA0HBjYiIiIiIHAgKbkRERERE5EDYVXCzy3IdERERERGRPbO7zM2hQzz7uc/tUVNERERERER2blfBzSHgS5/7HM8cVu82ERERERHZX8/sdgWff+YZfvHZZ/no/n0+ffCATx8+3It2iTzxthqKUEREREQer10/58buwcOHHFEWR0RERERE9sGuMzcAH3/6KT//5BM+efCAhxpkQD4D9BBPERERkcdvq54zuw5uPv70U3768cfc14WeiIiIiIjso133Ifv5J58osBERERERkX23q+DmwcOHfKLARkREREREngC7Cm6OHD6sGhsREREREXkiaGgzERERERE5EBTciIiIiIjIgaDgRkREREREDgQFNyIiIiIiciAouBERERERkQNBwY2IiHyGhRgyBljb72aIiMieUHAje+OdUfre+gCAe291JX/P5t5bXVw4d26Ln1F+lFziA96+lHqdsfz33t2yTU4f8PalLt6+t8N9FdmWEEOGn2CsgFljM7QemAvtOMGWAvc7YXWA1mA8c01Bv2P62qCBxyjwZzCUY36zbWuD9TDVQcnqAEOr29m37NsbWrXtd479yb2u9OOVGXjFg/6s7bQfo3jQn/t4tMzgbFGIIce0/MFe+rlwWB3AMxjaYn9FRB6tZ/a7AXIw/OgHP+Hrv/0V4APeWYGvf+creec/3vxdut6w5rk3S98fH6XrW69Y737A25e+n3f517ve5PyriWWd7917q4sAv0fX0fSl3mXi0gZnr/xGgXv1qIUYMuoZT75uZjLSQUnaXGuDBo23+7g5UofLNj0e9FPduZiaUJE5T77lc9nu/HJAxWZorZrjzEIAb9EOll8dpXtpEaoMuvPM1jQVoY0BPA1j1pQxPJ3Z5jyFpxPK+1cYbo8Qbk9/P8SQMUtNlu8QRAi3hxhquYP7xDrF7dY8sRmGildoKwPooGbQT/Coc3+zfx9ceEciVAT9XOYKw14ItlyC3gDeojjBrMfDvo92lfQsRAhnO8axO0R9tVn2J5PLG6A36Kc1eIVerONaZm639a6PYa/LPKeXs7dl3OhKe514v5Ie22fA5b3CmZZLBE9u8bmIzdBatY4/6/kQEXl0FNzI7t2b5Y9+Uo7/eeCd7zNx+8fwu+eYSJ/vhI/BK7XbWvWPvneOgT+1XpybhW9cZjAjaLF7l+tjP+YO3+YCALNcGAOopePNr21r249UbIbWqi7cUxHCZYmJ5h3Uo46LqBBzo5WUV3RxbbXOugiz8U0Tbi8FzIuw6sHjydcFLZ9hu/Pvk8/6hdMj3/8QQ1Xr+COBna0/NkNrw1jqAntLHYQjHc4LcZt4MojYYbhtv5hfAkbHwDfNJF2Mj8K4PZi6PUNF8ju4h9+Hsg4mfVHWz5tBQTzop3r9YvL7mm0f1ya6cBf30WrUs+xYmZH1pojLG2AYiAfNtqdunozh6aykZ6om2ZZwpMNa3gz6Ltj2OTNITL8RQyporeij50QX0dMR2uzvF9UxPGVmcpx/k0REHi0FN7Jr9364zJ2X6nmed5nomzWzKozSt/FbqeyMfX7gzti3raAj5cKf2l/V0gG8/K03ufbbs/T97nv8wzd9vAzceytPW96ahq43ufYqZrc0Rxve5Ye72dE9E2LICmycF0ultI2kXQSszjLuu8jNYqieD9FWlvsi4WhxJaynTdzG8juaXw6kePAq0f4rOw6c1ia6cPuaGW8wnBfEdjkyjcudp7Jmbsr7d9iY5PJ9uNePU8MsnC8mMAEl7dM0jZoX8gwaNDLtvBDP9X1wZD5s7a0y6K5opglwZ2lDSftF5owB1iIdlHiv0NNyiWAsQMWtbMFbiLnRZmoidZR465LbbQ1EgRr8I3Wp85Noj3VMTaW0RSK0pWVubmS0Kv3vTiltkfTvfSltC31wq4q2RButLFDvSB0bg11Esx30Mh89AXMfd5T9ExHZAdXcyC6ZmRIwA4u7zd81u4tt4Xjzd7n25pvmzx/4OP6Ny6nXb36X8ydS89774TJ3mGXAUYeTzQe8s/Jj3u6zanH6Zs0gyqrN6XtrYzc7undWZxmv6OPClneB4wQDYzSdLsV1soby0at56hfiLF1fpOl06Q6X3+78Vh1JcACPYVh98NPqEBx970MM2fr9J/vsx2ZoddQrpK1/1f6+VQewOoCnqotlxmh0bMe5DXttQTzoxzM4Y7UvSz1BotZldcDRFnvtgrPOIPe2IL0mxH7H2zxG9poJs2056hRs7dly/9OOpX2dW+6/Q5yl6278yQtt67w62pi5H3Yl7RHa2jsIRyKEI9M00cxkJGK9TkzLrrx/xTaf+XOzvzJvi3dktB6PcRV8UQLBOCXtEcKnZ23nMs/3oczct0mf2f0rHFmhp8LqXjbiyxLYJL4b9Ywnzptxiu6lRbqrDKo7F82gzvZZigevZgSGa/Nw5iy4T6wzZz/2ZR2Zx3Te+uw0jCXX3TqRuvtRUN2S43NdRQ2XrO+Gldnbsuuqi4qzcOPWVnVHIiJ7R5kb2ZV7b01Ds4/jG/D8G33Ye22nZ2eSdTLAsaP5a3JSPuCdjZd4/cRLvPadF/mj772LP2e3tK/w+pU3eT3xMkvmZmLlCQlw7Kwuama3E1vdTWyBG0vN+EcAqjhT0cWNW3G89ru7o/V4Rq3fK/q4aQ+YClmeXczPIt3rF5PdW9YGDaL+COERkq9bgysMe99jyKgn2r9COO3OtNn1KcJw4rXhJ5js379Id6CGm5EILqxuPC0z3BzpILxQnNYty+w2g62bX0Y3vdE5yFXbAMAYjfPTye5RngbDbHPEqlWoStQZ5N9WPOg3azQi1oXf6gCehqz3tbcQYmi+1nF8A0Efw94s+5+sj4kwXATmxfQp6/i7Ctx/S2yBGxRTkZzgwtvbx42qqwTPF3gHPmtNR+p109S04721QYPGxOd4i5qbXBmfLa2vQ3EVR4lSXTVmdemEIaOe5WT2pZnJxHnb6vsQmyEw2ow/o/bHhXckYP7q+HOTvabOyewiBiGudUJ5he2t2AwBaunlKtHTtTAfgnyZ1dMdhNs7nNMSNTeYAWiibmlt0GDudHomOdEWS5GLEm+AyXWDxoZ6AKLBzC6E6VzH3HA37ywiIntKwY3sSpxyzr4GgSwxg2PQgDRv953j7bRp2bql3Xvrn/H+V3+PF37yfXi+lq5vwY++By+8lqtFH/D2pW8zcTvx+gmtubErqmM4Upeso0iI35pjuaKGXsC8A1pJ9/UF4l7bhZ2t5sa8yz+QvIAqaHmb7c4PlfScT1xchZgbhfHRtG5IvveSmaqb6RdBq7OMM+a46AVo2gCKrPX3prbt8l6kqXOWDchsT2IbtouzkvN9lFfNstZeylEA38UtLsybmUwcy7JamojiPmltqeg4buYK2NaLrF9fpMkfSLWxrJYmrubbcA6ltLWbd/y7l6xJvvfIsvfmufNdtAIbABdefzPdAfP8mctutf95FNXh93URSF7cv0d0qZmaEUivxzAHCLAK/x2F9lZbg36upa0+daEdYsi4its+iMFe1RfdBvd5F66iAOGTM7ROmCOljSeDDvNiPnHvJP/3IU7wsjnYQrY22Qf7aJoyAwzvSIeZQbMPAmJnBW1tI6UQm8E9dQV3IBnxsTYxx5nzdXALoJQa/Ft09zID3ORnh2YmF4oLP152thswTVOpoMjMCF5kcovFl9ezf25FRB4FBTeyKy+/UQv3Zre1THzjx44sTr7R0uKUc/ZVeOdfkHzv/Z+8xAvPp6/1XSbO/QWvvflbmIGMj5eTmRu2HH3tsSqrpWnpKkuxujwXJiGudS4Ci1Q7RjFazF3YbF1Er8egpGi7y+9gexmcoyolreb5fGznLnzsTvZ+/QeUeYFMciQtswB9/9pTcrqZ5USwFLzKuO+iVUBu1XbY5l0bHGN5dMxZi2J7v7y/BvfSujNQtbI9TVORZMG9WYdiFaYbxjYGKMi0fKLWFvwBzDJ3u4+bU+tcDsbp5Sokg9Ktvg+27AxgZmsumkMqj9Th8gYIezPb4PIGuEl6fY0ZhET9tu9BUZ1z1LXVARq5aH4OrEkl52sIXLYPfpCYd4bL1+FML6S+k+YgAdsSu0P0xHFz3dYNGHtgmsj2hL2wNph/VeXFL25v2yIiu6CaG3lk7PUuZs3LB5jBSS2vFVCXA2bw5Ihj7v17/owXs18Mn8gxPekVzl9JW9++KOVCP3RX5XkGyOos44khYm21B5M+GJ/PVZ8xyzhuiot2sPxOtpe2TzW+Rbon7HUeA+b+ldXStNTFNVs9TTAYzzI9TnDQ3sffub61iS6Wcw2Lm7GuLebfjbzbclF8AsYD9nofe+2E9f58qk7oWo47+Rvri7ZsS+75gCw1Uma9SPnZqu3fLy86ngw8HMp89DDH0uoMlzvdqSxXFiXtEcILfZT7pp11NhV93IxEGPZW4a4w92uoZYbFQQNPQ5SehWloMOs9HHUoDVF6pvqINqTX/mzDaH2qlqSqi2VqaRupw1Xm48z1U1Rfr0nVwRXyfUivcTLqGV/qojrjuTfOZri8AXq5ZNazrA7gMS5Bb56gLTZDawNMnp5NHpfxBgNP1Tpnzs5Rnay5ukN0qYvq+XXcS9bfAcyaHk/6SGeF2FhPG6HN+kxuU/xuFPcxZW1E5PFR5kYemazd0t4ZZYIX2eJGX04/+uNRjn3zzcwA5d4Gd186mjl94/v0nZvlzgnfjrf5KLi8VteYjDvaK5QAa/NmTUB6FsTs/mTWPlSAs+bG1qe/kOUdz/LY5vzZlLSv0NNyCo+R2hfzTrk50lJrlYHH1k5wpU037zKnLoMq6SmexWOY/fvNLI91QV1k1kA0GmPJrnnOdeHssren8m8rcRwSd/zL+/toSnRpI3FME+etmZ7+LKPcbTVfxv7XMTy1jsf2eTK7he3korKUGl89c6sdlDguuF0Un1iksWGRpqnIlkFjfOM4vadt589xfl0Un4iyvmpm4y7Yn1tjZYGyDY3sjdSR0xaZPcfxiJnd0gDWBk/RTSXlS6nhngv7PljdSZPSh1TObWN9EZYWqV4CaLYCkezmJsyRFUvKIBwxu7ZdOxawgqE4tJxiaDVCG+ss+6a5WXyVaiurtp6eTY3N5G+Yo/6vkp6FUsd72WuMzGC2BCBjgIk4S9fB3Zt/syIie+nQ5ubm5m5WEPvww71qizytMrqVkaWY3/Sj753jh1990zmiWmL5396g73dHuQPJZ+KYwYrZTe2F77zIH/0++B3Zl3eZONfL22QJpjLaYKvHcax/+4qee46PHjzY4dKytSy1F/IYZb9QT382Sy7OAQKswOLYqDXIgBWEWxfS9KcGndg6u5BelJ/2/JVcAW22B2j6mmkaHQNbV7eCH2Cb84Gc2TX98z6i/7grmQlxdq9Lf4ZMIiCJE2wZpXjEWWvkDG7S5XiQqa292YLe7AMKpK/X+X20L+OsMbKtZ3UAz3ytnnMjInvq2SNH8r6v4EZkBxTcPGoKbvbd6gCeBhzBRKHBjchn/kG7IvLIbBXcqFuaiIhkKusgHMmcrOJwKUhRHcNZPj8iIo+aMjciO6DMjYiIiMjjt1XmRqOliYiIiIjIgaDgRkREREREDgQFNyIiIiIiciDsKrh58PAhhw8d2qu2iIiIiIiI7Niugpsjhw/z+S2KekRERERERB6HXXdL++LnP8/nFOCIiIiIiMg+2/Vzbr7wjLmKn3/yCZ88eMDD3Y0sLSIiIiIisiO7fs6N3ebmJodUgyMiIiIiIvtg15kbgI8+/ZSP7t/n0wcP+PThw71YpcgTTQ/xFBEREXn8tnqI566Dm08+/ZSffvSRghoREREREdlXuxpQYBP42f37CmxERERERGTf7W60tM1NPrp/f4+aIiIiIiIisnO7Cm40eICIiIiIiDwpdv2cGxERERERkSeBghsRERERETkQFNyIiIiIiMiBoOBGREREREQOBAU3IiIiIiJyICi4ERERERGRA0HBjchTIcSQ4ScY23rOeNCPZzD06JtUoLVBg9ZgfL+bsU3O4/107sPeODj7HifY4icYixNs2WqfEvPubEtrgwYew8DTMkMcc3sew/wZCs7QaqReJ3/yfWdXB/AYA6xtq61xgi25lrHWmbbNeNBvtXkrIYaMrT8X8aCfoVVz3oz9NYw8+yQisnPP7HcDRD7L1gYNGm/3cXOkDtd+N0bkKbY2aNDINOH20hxzuCg+Aeu48I5EKB70E4wF8BZlm/c9oktuarK+Z21r1Py9vH+aM9fr6V6yz1FJz0Ji3XGgmclIB0eDfq4dq2N4AVonjjNstXVt0CBQ/KK1bJxgy6m09ZkajTHnhArzb4e3t4bWqgGKIx2UJN6LLXDjRC3erHsQJxiI0tNbmmV7i1QbXck5m6YitJXZlw0xZNTD1ApnAqcYOpb+vmV1gOr1i4S9pRCJ0JbYctDPtWMB5zKxGVqr1vHb2y8iskPK3IjsmxBzo5WU08W11Ue1DfOu8dAjW//WStojDHt3ELrFZmh9Qu7sFrIPByfD8fSJB/0EildsgU32bEHj6CLdVfbfc2RnYneIbrHNpqkI4alm4EW8IyvcXIgQjqzQU9HMZCSAd2Og4CzI3GglZ07aP1/NTEYihCPWNir6uBlZoacC8E2b0yPTNCVmL6pjeAoCwbiV5THwVHWxPFrv2P/k34HVUW6cvWIL7Gzbs/3c7K90NnV1AI9RD1MR2spceEemoSHL5351AE8DTOYMNNNY7W98gjLOIvL0UnAjsl9WZxn3XaT3bCXj8/pPXWRnQlzrdONPDz4r+riZdrE+6aukZ8E+LUfmZmOdZaKsF9gtLR68RHWVPRAPMdQAk/kysrfvmIGP9Xcgsx1WgDZfS3ikDpeVcQqfnsWTrYtqWUcqAE8GQNkClRBDgWJ6vS4zCGlZoGIke8bE5U1kWKyudQ1RehbsmZpS2iLTuDtP2QK5OMEATEY6KInN0FpQgAeU+ei5fXXHXQFFRBIU3IjsizjBwBhNp0txnayhfDTzP/Vkv33DwGPUM554IyOjkSs7E2LIMLubjDfk6N9urSsY9Nvu7DprBOz98h1tsqYnanzs79nv5NozGubvM+ZFW+KiJ2avQbAu2lYHzDvPjNHoaEPaHXnbhZPZjhmr7QOsWfM6jkuebFDO4522D5ntNY9X4ygsd55K7kNme9KXtbfNecyT20rchc9Xn5AxT7aaklQNkbkvIdv20i6UHetLdb8q7Pw5Py+Zn41U+7Jt23EOCr0oXp0l2u8rqDvT0WKIbqTalivTtjY/RnkF3LhVWCbO5Q0QXqiFxL7EoGZhiy5WS2bGNn43ClaGxWyPC29vMYHEZzAt++JpGAMW6b58hwsjdbiS58v2+UhfxjCo7lw031udZXypi2rDwBMoNrvEpp1zxzmIzdBqnKKbSspJZb6c3xUzA11t+AnGXHhHOighTvDyHGd66yDoLyB77KLibOHHXEQkF9XciOyH2AI3lprxjwBUcaaiixu34nitO6/xoN+sxYlYd35XB/A0bNVRJl0pbZEV3C2niPpz9IsHYIwbrBCOmNteGzTnD49gvTZoDa4wfGzU2Sa70XrmpiKE2yERVOXqi7/cuY4/2Qc/TnACeiMRXNZ+V0+E8LZ3EF4oTuuHn+jrHyFclmpb9eDxVHek0TlYiBC27oIf7a+kej5EW5lV2zDRBf0rGRedhR/vOMHLXbinIgzb920kQvGgQaB4JXn3PJ7RnhBDVea+Dyf3x09wIUDFrUt0n5gmPGLvxhNiyLpTnr0uJPc8Jf5mugMLxL111nG9yrjvIuEiWAOWO69yxmrX2qBB40QIb3upGag41mddeHkEAAAgAElEQVQec/uRcJy/2AytVXOcWYgwbNWXBFtOmZ+XRBbB9tlYGzRoNMz1h4us8315hooR8wI4UJz6HMaDfue5zWFtfgz36Y7MN5a6MmpHLtiO27VON/5ItrxKiLnRZvyRWuaMUda8W9WBLDBkdDmCYapStTFNUyu40xfZWGcZWJ4P0dYeIOyFtUE/64muaUV1DEfqgBBDLVYQY18+NkPrZev3sg7CER/BFlsU6susPYoH/Vyzzz+4QEW7td6yDsKRLMfQYrZle9YGT3Hj7ArDRWQEqeMNhnm8Kpz1hq5jbri77U2JiDgocyOyD+K35liuKOYoYN6xrGT5+kKyW8fS9UWa/LYLmrLaVP/6Pdds69ITYm40kelJ3blfXn/PbMNSF9XZMgi+aUdXlQv9lUTvZr8DW+64y+7C217HxqDt7nKiu0661VnGK/q4YAsqSs73UT46m2pPWvcel/ciTcmsWLbaBtje8TbP1Xi2OoNs7O1ZnWU8kYlK3vFeJLqBlb2rT8tWlFLjM++U577rnWOeMh89yVoua/9Opy52y/tT9RYlp5uTxzx+a45lxzEspcbn3KL9/GXO78Lrb7Z9lnF8NkpON0NFDRXW/K5jict+s41m5quAz8JWYneI2rqlTfpS24vejbM2WJ8z22MGgrWUUMqF/qhZx5JXFW3J7l+JmptUd7BsAX78bpTy/ulUN6zYDIHb1nFxZMLqU1kW+09VF8vW9O3X01kDCIxamZbVHKO3pWUX41Z2N9dPerbWnvFL1zRlHZ8s3faW19/b7g6JiDgocyPy2IW41rlI+qhEsMi11bo8GZbHxT7Sk1NbJEKbdfG1bN11zWZjfRGKC9jU6gCehjHzYqfdeh3YVePTmBf/gVtxvMdmk9mL3XB5E3faDTxGttGk8qjINTKedafe6h6UuPNe0h4h3G5141rKfl6yz2MGYd3zIdqO3uEGffTu++dqa9s6lvlsrLN8ojbzOB8thoZTNFb0cbM9S9YmNsPlTjeTETMQdHkv4jYuETyZa1S1Qo0lRzprmoKNdThzvhTvyRpaLw8QJcqZ3oDZ3mTWxgwoLnMlczALK3PTm6umZ7QeT5bgomkKWB2le8kcvS0R3HltmZm1QYO509nPQ87zszpAayLjEpshwDQ3+69yOcusWylPjhonIrIzytyIPG6rs4yTXths3l02BxYwh6wdD9jrSa6mur0UHcfNGHO2kY+yDRu7M1YmYMJeNzFg1cHMmP8W1TG80Ef50jobiZnsNUOxGQJZMySZ4nejkMzGmHVIOVmZI/vIcmsTXSz7avN2Gyo53wfXRxmyapwybXG8nS0mGDSPTUm7ec5yZai2bn+c4KC5zXhwxsw+lXWYo2PdvkOcEMFEDcbICj0Vi8l6kZTc85hZq1mGJrrgbFVBQ427jrmznMs882fUi5nnsLzA7dnWZGbEbOeA1YGCshJHizOzhPG7UdtFcpz125W4jyberaSnty7ZDTK1jRBDVV24p+zd0Eppm3LTXZWZrRxvSNS/FCKVzWk7asvSFFVxhjHGSWWzIFV7VN3pzGY5Mjf5NpdvQAGrW9p6iy3jspo5stva4A5HWSyqSw5xvV3xu1HcxzQovojsjoIbkcdsbX4so/sUJLpYmReKJe0r9JDqjnKZGls3KbPbV7Lr2HyxOURsVqluVIU+MK+kfYWe26mC5Mv4zLaWVcHl1MWV4yLQV5P2XmF3ul3ei1ZXNwOPcQnONqfeLKriTIV9QIFS2hb6iNq7zOV9roltPYwxjrNLW8Y+5zzejhbjPTab2v7tPnPUKcwuV/YBBTKlt/8SnDcvsl3e48wlC8aj1sV3KRVcsuY9RfeJ6Sx3zfPNU0qNb4zx0ebMkcRyKevgZj+povHLcMaXZ/6iOoan3LYic6vOYgdDf7u8ASZP2LpgzdcWlMVxnawBezc44ixdhzMnsQYuOEU3NVQwQ2tVF26fm+7L5oX8xjpm0BObodWoJ9q/krnNsg7CU9CYdl5TQ0Fv2UKrwN5sW/ByF25/HS6rUP/G2RXC/nVHF7NE4JxriGbHMNCY9S3dS2PmUMplHVm/E4mRz8zuZZeg11zX8LHR1MACtvlL2iPUzDsDHHt31cxBDnbLPG+pIFREZGcObW5ubu5mBbEPP9yrtog8NYqee46PHjzY72Y8EeJBv/mwvh3erX30zBqD/IMqHExraYMcHFSOB0PGZhwPyARsAx9YQbfVHRKamVwoJlBlDhKR9/MRs4KjbPNZ7y1Dnq6H1nbna83hnBtwdA0zB2+4ivtf1nDjd7pwT01DQ32ODKJtO/b9Te5XLrm7nKbqZJrT2mXK+vBN23613vU5Pmdml7qLWR5w6pTs6pY4Nk/s3xEReVI8e+RI3vcV3IjsgIKblCc+uEk8UPCz9vTz9Av6A80MYHeaNZJ9FptJGxlRRCS3rYIbDSggIgeUNSqUVWT/WbpoStyFb5rKN4z0QWI+4NK7382QnSmqYziy340QkYNCmRuRHVDmRkREROTx2ypzowEFRERERETkQFBwIyIiIiIiB4KCGxERERERORAU3IiIiIiIyIGg4EZERERERA4EBTciIiIiInIgKLgREREREZEDQcGNiIiIiIgcCApuRERERETkQFBwIyIiIiIiB4KCGxERERERORAU3IiIyBMjHvTjGQztdzNEROQppeBGRLYpxJDhJxh7jJuMzdBqDLC2X9t/nBz7urV40I/HMPYuINjm9veay3uRptHZHNsPMWQYDK0CqwPmfqf/tMwQXx2wjkecYIu1L7nmz/IztGrbZGyGVsexta1zKzs4l45tZ9n3rG0kxFDLDPFC2lPIfFnbFSfYYtAajDumOz53GcdKROTxe2a/GyDy2RViyKhnPPGyoo+bI3W49rNJsgfM8xrtX2HYazubsRlaq7pYBqCSnoUA3qLdb+taJ/QsRPZgXfsgNkNr1RxnFgJU3PJT3bmYfGvcGAOamZyCxoYxa2ozk5EIJQB0EI7UMmTMUhPpoGR1AM98LeH2UlgdyLq58vRzksXaoMFcwW1fxx/psNpD2jlOWTbGnBMq+rjpX6e6IW06AEbqb0Ji3sTfBet3gn6upf/9AMaNLscyBP1UX69JLb+xzvKJ2uTfmHjQT/X6RfOYJV7bzoHTKfOfpVN41qcJt5fi8ga4GfTjGbzIJPU0jpqzeKx/8U0n152Qvs0t/w6uDuCxHyf7+7bPj/PzHyfYcoqoP0JbWYgh4ypua55s+9g0FaGtLMdupzGXdzNpP++Yn5vGjP22tyNb2wrbpohsj4Ibkf1g/YfdNBUhXJaa1hqMb3nxtf9KaYsEPsPbz8W8aOleaqbJl/5eiKGqLtxTEYbLMM//5RkqsgWzRXUMRwrcZOwO0YoaLuwmsFkdwBMoTl0wbmf7uxJiqGodfyRgXiR6r9BzfZTiEfOiMR70cxkfJYxmvUjetjIfZwKn8HSmJjmDnTjBllGKRyK0YbsIP59jfUV1DC+YmRl/pAMGDeaK+7Z1kyIc6XC8jgf9XDsWKPCit5S2iNlWM3Nzhwvp2/UGuImf6ha4OVLFUmAMKCZOKRuDBo1kHtdsF/rZ2rU2aBAoXmHYGyAMQITw6QFa7/rMY7o6gGc+rcmxGS5fr+HmiLXNLf4OmgGDPaC1zouxbgYXRVWcqejixq04XseNhAVuLDXjH8lx6ByfJzMj5TmxxWfMamu5r5nytLfiQT+Nt/u4GanDZf0dGFqN0FbmwjsyzZAxwFoyGMo2TUT2krqliTx2IYas/9AdFxFlHU9BYCO5ufCORAhHOqhJf2t1lvGKPi4kzneZjx7mWDqoXesKEA9eJdrvs13cufD2FhNomSEem+Hy+sU83wfrgtSoZ5wxGg3DvLs/Wm922Uq/qE6sfyRCOJL6Gfa+Z+vqdYruJXNdrcG41T3uKsGNPDtRVMewdYFacrqZ6Po6sM61lvzd3hJdu9YGndOrOxcZb8jTRW6pi2prvkK5vAHC/nWqjVPcOLtCuBcuG7YsQ7r59O57fpZwE70bx979raQ9Qi+XHN3U1ubHcB9LP2epZdYmunD7EwHYFn8HYzMERpszMiQub4BJ3xiNgyHARcXZSpavLzi62sVvzbHsqy0wcHDhHVmh53Z9ni6BZrvCkQjD54vT3oizdH2RpuR+ufD6mxmfT3TPK+VCf5RA0N7CbNNEZK8ouBF53NIvdLNy9q/32PvJW/34g1athfkf8tbzr9lrDtL7ydsuZMxaFlttQ7LdA3iMAdbSal7WBg1agzPm9hP1Do5+/Wk1Mo7ah1z1CImLV+vH0dWnwPU5pjtrdBwXlfZjsYN17dwi0WwXztnqi1Zt5yhxbFcHzONiXfAmzpVj39LqK9Lf+3HQbwYF1jpag/EsdSK5P1uJmgv7evNeICbFWbruxu/Imhip/anqYtkeqFi/p9qwQMVIhPBCH+UVfdyMRAhPNZt35CMR2k4Xeg7M7IcZ7KzQU2FmCcygqpQL/XBjfh24Y/s8poIgR7BytBhuR4FiLqQFUZO+SnoW7EGVud8l7c75bvZXmlkM2zTHhb+1rzf7K3F+R+oZt85hsj32z+x8rbndY6N4Jo4znFj/6VlHsLWxvginOxzbD0cCeE8Ww/p7xINXwZ/KDrm8Afzrp/AMhszsBdOZWafYHaLWOV6/XYn7qDV9i7+D+QKUktPNcPsOccB1sobyJfuNAivYOL2dTJ8ZJKUCkj1gtQ/AdczN8vp7zi2erIG0oExE9oa6pYk8ccw+6Ni6aqwNGlQPHrd1mxjjBiuEI66C52+cnza7wcRmaK26SvB8AG9RnOAE9EYiuLC6fEyE8LaXcqG/kur5EG1l5jrW5sco71+hhPcyahKWO9fxJ7rI5Kh3SO5bQ3TLGpG1wVN0n5gmPGKvBdjG+mIztAaKuWntl7nPAxRbtRlzpyOE2xPHOnEsdrCuPHvqcLSY8qUurq3WmRd/sQVuLIHbX8jCi3QHaqztm+faXE8H4YViWi9Dr9UdKR70EyhOfC6s42Z9DtYGDVvXmYQ6wsfSuqU5ArcCPluj9cxNmcczHvRTHZjJ7B6VLrbADYqpSE4wsyrexDbtXaxWBxi3uk+tDfpZP5+qr1ib6IKzK5nbKuuw2mu7dEyv3QCgkiYfRIuvMOzNbKbLG2A4NkPrxHFn+2w1HCl1DPvX8cwfh6AfT3p2ZdSg29pmz8IVuHyK7qVsByet5oZ8NSGJ2i3bMVsdoPWueQxu9sPSyQ5HO8uLX0y9OFpMU/8KbV4XyeDjfKJ7pTVPRR83R6o4c/sU1bf7uNk7Q2sLfOfsHP+wc9EMxhjAE7B1N7PWXT5aj2fU7P7n4j2iS25q9qI27Ggx5UvrbACuojr8vi4Cia5psQVu0EfvNutZXMfccP0OcUq3WffoovgEdNs+92vzY0Cfs72309ZddBw3d7bXSBEpiDI3Ik+aLHc0S873Ue4YQao5dde7wPknExejRVWcqUhkDVx42+vYGEx1i3HcER29amYprC4i/hzdhMod3YvyKaXGt0h3Vb47/CHmRivpOZ+6UHKdrMno555vffFbc8mMRirzE2U9BpR10HY0kQmpZzyZQdnBugpVVMfwVHOqy9FlOJNRl5NLJT29iWChlBofVhehdOYd6+XOU45uTub5tI5p7zYHrCjks+VL3a0376KbF53blRz1zZGFyDPS2OoAjUzn6LqWyDadoptijoLVrWiaJpqZTGZpArS1X+HM9Us5snFmrZRjgIDYHaIscuNW2jmIzdBqC57K+1eszEdim4ksDiS7yE01p81nz/CkMknJwGab3dJcXh9cTh1D86Lbvm/r1CSOX2yBG9RQUQQk2ztNU+K9JeDEcVwb63C2il/zBlKZpbIOwtYABsnvTlFdMkNkdjO7Q7TCOhe7tbHOsm1dJaebk13TzIC3atsDs8TvRs39w/5ZzMx+ZlPSvkIPqb8Rc8V9zr9XRcdxZ/te7PC7IiL5KXMj8riV1dK0dJWlWN3+j3BlL+htt14navVtd0QrmIP+K3tS/FrSHiHcbnWpWdr9qGHZ1lcBOYrQrbvS9FmZEGvkoh2ta5vKOmwF5CGGjGZq2ne3ymyy3+V/8ofnNQNYN/5ILXMtswDUjHRwNOh3ZhsSktmZ1Oubd/0MrQZoK7MX22+5ZbwjASBOEMwgZeI4w+2YGZqpPsptNTxrE124p1ZwB0ZZ86ayd2sT6/gX+nDfcrY1HrxK1OcmYPg5sxDArNiwZ0fGHIMcUJXI8FgMM2M6fPIOUcdoaYXuWy1DgyFK2mFutBIqzHYzaGbkUu2f40xvABdxYIxG2whv45fN78vGoIGnoZKeBZdzdDCHzMyT+f05jntp1sy2wJZ/B10nayjvnGWtvTTj787a/BicmE4FMMl1HSc6WsmZhW2HNlbdjPnHz+UNEM6SycvNnnm0BsM4eyXVvlyB3V4FeyLioMyNyGNn9uXvrkqr3bBGCTL/o+7imi17sDbRlbtAdrvz28TvRiF5Zz5OMODstmPeEb3E5U44c7LAC4ajxY4+8PHgVdvFTohgME6yiLciW93Ji7grFumeSF2Qr01kDq+bb32OrJM139BgCHiP6BKp4t/VUVvXoO2ua+fWBuvTiun3glU3ELDdaV4dsO6kW1kp+zENFvC8k118tvLKuJMdJ3h5jjMLiWChmAsjtcy1zLC0nvuzV0hBvrP+LMtFZrLm7BTdJ2op2ViH4hdZG6yHqQBe+8yrAzTe7uNCmQuvH6uo3VTS3sHRW3NgL6hfHaC6042/vYPhhRpuXJ5hHUhcDDtrcdIzN9M0WTU2w16XNYzz8R0MFV9KW/uLBFvM/Rm2Bm042u4MgkvaEzcZEgMvrNBTAdDMpNXdyqwRMudz1guZ2ame/kqa+vsot2qfkj/JGwP2jOcWfweL6vD7xmhMy97Fg35zBDXHzQbz833j8lXGKxLZp0JZgeaJLPVCOxGb4XKn25nl3ljP/PsVu0N0R+dTRLaizI3IPnB5A2atg/0urW+acLsLcNG20EdrlYHH8V6uzEHpNue3t+MiTZ31VBtdQCU9/c1w3TZDmY8eTtHtm2a40AsGK+PTaO1beX8fTckqnVIq8OMxFlPtzLigMIdKjRr1yedlNPX3UW5dFjrlWl8dw1PrtuNrjroEmLVEDdbdZV8fPRVYmZvtr6twzjqGQp63shMub4DJdcM6n1ifA/PXkvYVelpO4THM101TVmajrJamJfMzYGYI7Gvc+Wcrv1JqfPXMrXZQUgap7Enatnvv0Hq5ht4cnz0z05Z6vdVQyllrdIrqGI7U2dZxNbnuEkjVIMVmaG2AyUTNUlkHk/MGnsHE8QhxrdNNTQS4C6yP0nq9OFXjVFTH8AisDc7ZPslmN0hHpibt9bg17PHRu9EtiuTNUdrGl6Bpyvb5TAxh3L9iDkNOHcO9ZkDnnkp//sol6L0Cly9BbyCtzmiWmiloTDxLKLmMOfz5ZMTMskWP1TF8bACPUZ+WRTQDkLkNwDqf+f8OmufgZrGfasNI7U9Fet2YqeR8H1R1Ud5/ZeuAYTT1twVwDkW9E456rswR3uJ3o5Sf9TnaFb81B8VVu9ioiORyaHNzc3M3K4h9+OFetUXkqVH03HN89ODBfjdD5CmW/mwWWwDom04OgjB3OnWBnBpQIK3ofSsVfXz3RBf/ojgVVObuVpV2cZp8MGfmRWtyPUxzs/hqMrAyn9FzJRXAOh7umX09jvUl2pV8Zk6c4OACFefhclUXyxkPgc18zk1yPXmCUfs8k9Qnj3XWY5NYj/WwVPOhnc52pAeXGW2IzTgGwPhsCKUeNJt3mogU6tkjR/K+r+BGZAcU3IjsgdUBPA3kvdiXgyX5cNRdZ/+eBlZNnz89Q5Y+TUS2Q8GNyCOg4EZERETk8dsquNGAAiIiIiIiciAouBERERERkQNBwY2IiIiIiBwICm5ERERERORAUHAjIiIiIiIHgoIbERERERE5EBTciIiIiIjIgaDgRkREREREDgQFNyIiIiIiciAouBERERERkQNBwY2IiIiIiBwICm5ERERERORAUHAjT593RrnwvXf3uxUiIiIi8oRRcCOP171Z+i7Nci/rmx/w9qVzXDh3jgvnRvlRrnW8+jVe/9Np3s6+kpzrnXhnB+19msVmaDUGWNvj1a4NGngM62cwZG3HNs0w8CS2G5uhdTC0+42uDuBpmSG++zWJiIjIAfbMfjdAPmOer8V/qovAW79B1xsfMHGul7eTb/4a5//gTa4971zk3ltdtI/9OHNdv3uOCdvL483fpeuNrwDvpq3X0nfOOe2Ej8ErtTyfPt8jFyfYcorupWYmIx2UpL8dm6G1qgv6Vxj2uh5767JZGzRoZJpweylQSc9CAC8ztCZOgC/xHpj7N2r+WlRHb7GfodUAbQzgmYem0THGs24ldTziQT/VnYsZc1QbXY7XTVMR2o7O0Fq1jj/bsRQREZHPFAU38tg9/8bv8fVL/4y3X+vj/Jtvch4wsyvf54UckcbrXW9y/tWt1mxmaN7/5uV9DFwKV14RJRCMZwQwaxNdUFG5+w0U1TEc2f1q4kE/geIVwlkDrVmGqsZYBjyjaW8N1hJuL8XlvQiGgaeij5sjdbjaO2gDIMRQyx0ujNSRXPPqAJ5AMZNnrcClrJAW1jE8NYBnMGQLsEREROSzSMGN7IOv8PqVPu691cWF9IzMudnU71aAkuldJi5tcDYRvLwzyoUffI1r33qF17/jo+/3p4Fy4rkyPpbCAqZHx322hmjnKGtee8YhxNxoM2f6o9zYv6bZhLjW6cYfsQc2i3RXGXQD+JpxV/Rxc6SKpZZRinuLmbtVRZv3PYYGrdljd4gC5Wer2DIPVdbB5AmDwPVK3P4QQ0Z9jiwPkAiWAMp89AQuEYwF8BbtYndFRETkqabgRh6jD3j70reZuJ3oQtbHtTfs732fF674eDltKbO05l0mzv0Fr73p42W+wgtM8869Wl5/Hu5t/ITXv+ozZ36+lq4rR5m4tIGrwPXvm2NVnKnoYm61gxIrQxEPXiXaf4ULXHIGN6sDeBrGrBep7ltrgwaB4mnOXK+newmSXcaKsLq32bprWd3dlkmbL5/VWaL9Pkd3r5L2COHTA3jmawm3w1DLndzLJ9swzVzLAnFv3ZYBTkl7hN6gn2uU0haJWFke8xi03vXl6KrnouIsXL4Vx/uEdOUTERGRx08DCshj9BVev/Im17pS2Zh7b3VZAwh8m4nbswycswYUyBh04BVe+8YsP3zHXM8LL/2Y9/8/gA94Z+UlXktmYHLU2zyRXHj9zYwHEoXyIa51wpmT6RfnIYbmawlHIoQjESZ9YwSCqdL65c6r0Jt4b5HuiWwF/HGCE9BrreNmPznmc1qbH8N9zN6eOMEWa7CA0Xo8g7Ow1EW1ccoKriDaeQpPIuNSVMdwIrhammMpFifYkhh0oJ7xpS6q0wYhyFVvsxXXMfe2lxEREZGDRZkb2XepgQAs92bp+/3Uy/gGvPAavPzVWgZ+8C7nX30F19Ff4+7GB/Df/Xv+7KWvkSgz/9H3/oLX/sDH3d9PvO7i/d/u4/XnAWYZSHZ7q6XjzScgi1NWS9NSPddW67hw9yrjvouEi0gbFayUtnYzKEgEEPjeAysHUt5/JZmBKTndDIE7xClNy5C48LbXsTZoUJ2ojamoyTLfNiQGEUiroemNRNLWGWLIuEq0YhE2XLSNRPDa5nfU3MRmGOIKk75TzFmvWyeOM2zV0ix3nsLTibXfmQMuLK+njouIiIh89ii4kSfcB7z/E+vXV7/G631/wY++9QovH32JOz/4gHssc+yrfcm5X/6WD94Z5c5LX+N50oOEJySgcSjlQn8l1fMzuG8v0uQPZMxhZjKgZyFiBj5BP9Xr29yM1a2taSpCuN16nbmp7XN0dTONJ0c0q6Tnn7vp/scwGQlwNOjn2lbrK6qjzRsn2FKJ+3zm29kCGsf7xS9ucwdERETkIFFwI/vuzti3uTCWNvGEVUPDB7xPOWefB/gKL5z4Ce/fg5df9XHt1Q94+9JLvHbFueiPfjDL8aO/9egbvkdc3os0GfV0V/RxM8voYBvri+CbtrIzIa51LoLv4ra2Eb8bhYo+LpQBxAkGxoC+LZaCo8WVRO/GoSxLQDFaj+d2HzcjEVzJ4a0zAxCvNWJbwc+oiS1wY8mNvwiIFbqQuY/OLnQiIiLyWaPgRh6vd0a50DcL/IS3X+vjdUfRf6Z7b03z9kv11nDR5ihrqTedXdJM7/LDP/01vv4HX+HpUUqND6LF2UcTKznfR3lVvTXUcjM9/ZWwzcyNy3uRps566zkxlfT0N8P1ApY7WQOXbQMBxBa4sTRGN4mgBit7M8eZhWmaLt+hhkt4WmpSI5lZNtYX4djW24zfmmPZd5Hhbe1hnKXr4O7d1kIiIiJywBza3Nzc3M0KYh9+uFdtkc+AH31vFL7l4+VCCv+/8Xuc/8l1+E4fr/4w/7DO5vyXufbVvzCHhf7tDfp+d5Q843iZ83/rle3vBFD03HN89ODBjpZ92sSDfq4dC2R95kw86Kf6eiKQsdXQWN3V3FPT0GANLlDRx03/OtUN6Wm6lKapFdyBS9AboHjCoDH92TkOthHfVhOjt+k5NyIiIgfZs0eO5H1fwY3IDnyWghusLmc3zuavd9k36UNei4iIyIGl4EbkEfhsBTciIiIiT4atghs950ZERERERA4EBTciIiIiInIgKLgREREREZEDQcGNiIiIiIgcCApuRERERETkQFBwIyIiIiIiB4KCGxERERERORAU3IiIiIiIyIGg4EZERERERA4EBTciIiIiInIgKLgREREREZED4Zn9boCIiMhu/OzjTT782SEePtzvluy9w4fhuS9t8qUvHNrvpoiIPBUU3IiIyFPtw58d4he+cHA7Inz4s4d86Qv73QoRkafDwf3fQEQerdgMrcYAawXNHGLI8NAxitcAACAASURBVBOMPeI27dS29uXRigf9tAbjO1rOYxjmT8sMyTWsDuAZDNnmDDFkGGnT0mQsk7Z+w8jTxjjBFoOh1W3vwo7ly9j8m798AMB/+ukm/+mnmxm/2z2wref+p5u8/a657HLkAR/fz5w/3cbfFJ46+sv3H/JHP/i0oHkPYkZKRORRUeZG5LGLE2w5RfeSbZJvmnB76b61SB6j2AytVXOcWQhQcctPdedilplO4elMn9bMZKSDo8Ecy/imCUcCeTac+tw1TUWYnDfwGKl3m6Yi1MwbNI4mpozhSf7eTE+/OU9bGawNGswdc1nvhRgy6hlP39yS4ZxW0cfNkTo2Bg0CxSsMe13pSzwSfW99ylt/7wj/2gpUGn/zGcfvCd//d5/yNz+FCxXmtH//Hx7yFz95yOuvHOEvY5u8/7cP+OZv5v4v8+cfb/Ktifu89Z3CUiz//S8fovdPHlBpHMH1nLqciYjsFQU3IvskcaGYuOhsDe78gm9try4YYzO0Vq3jj3RQsrs1PV2K6hiOPI4NhRiqWscfCZjH1xsg7LWmG1dxLwTwFiXmjRNsuQS99mkQx/7ZyW9tMBGsjOG53UwTlfRY21ibTwtWgJL2COH2EEMtd7gwUof90xQP+ola+zB3u48L7ebnNuqfTgYuhXz6XO0rnGm5RPCkc7/22zc8R7g48Qm/WXwY4+hh/u8fPOArzx1i8s8/5ZOHm9z88Sb3MTMt33ztCJ97ZnsBydBb93n7LzNTMOf/z08ypgUvfp4vqsZGRGRHFNyI7DsXXn8z3fPvQUGXh/K0igevEu2/kiVwLKUtcpGhwRBYGby1wVNE/RHasgQA4w1GZqYknW+acHuE8OkBPPO1hNtfNIOlLawN1jO+BONGV3Ja01SEC8l9mMXd24EL8Pb20Xr5KlDDRq6Mkm0dZkDmwut345kI4X2E2crRxU+Zj5gZmobAx/zGrx6m6MvOgOH+p5vMvfuQmlcO84XPHaL57z/D4l8+4K8/3CTywSZ1ZUcAWIpvcuyXDvGStfzhw9sPPNre+BxtbzinvfH7Hxec6RERkcIouBF5AsTvRlMvYjO0VnWxnHht77LmeK+SnoUrcDnRxe0Unk7zznzFLT/V6xeZpD7Zzchxtz9jPQG8GwN4GsYAWDbGUtvNNm8Bd9xTWYOESnpy7GOqbVYGY6qGGw2J983uWCWY2YPq9Rp6bnfRvWRNz7kuZ/e/8n4rs7Wa2s/kujMyVmldreyZicS8U9CYWE9B3QrjLF134x9xBrDpx2ncfsxGbUGMbRuFZm62bXWAxlHbsSKV1UntwxjRYx1QhJnxGjnOUMsdjiazUOZ8wZZRikdyZADLamlqmGWtvfSRZQh9lc/gq3yGN37/Y6b8X2Dyzz/lnfceMvnnn/LTn8N/+3iTtjfv8/KvHOLwYTOIKf97R/i1XznM//5Hn/C5w2C8YJal/r8xs97GeOEwnzsCR/JUq07+ubOO5tUXD/Pqi+YC77z3kHfee5h3/sY8Xd9ERGRr+isqsu9CXOtcpGkqYKvHiDBcBM4uaxC83IV7KsKw/cJ2JEJxWre0OMBoPXNTEcLtVlAQmLG6GsUJTkBvJIIL672JEN72DsILxWkX+bnmzX8hHw/6abzdx82IFRCsDuBpSARwia5ZEYYTrw0/wWTQtEh3oIab9m22zHBzpM5cfHQOFiKEi/Kvq+LWJbpPTBMesbc1xFBDlJ6FSJ4AzQxsmIoQto7z2qBB9eBxWwAzRuP8NOFIh3XOrhI8v0XQF1vgBsVUZHnrkQUrCaP1Vrc0cOecKU4wAJNTzTQ2OGt+mk4nfnPhHYmwNmgwRIS2MisIrOhLZnYK8yLubAfiEfn4/iYf34cvPnOIX/riIX76800isU3+14pnKHM7I5Uf/uQB508+w/eWPmXgX98H4K//qxnc3I495NgvHeJ3az63o3YkgptEsJNu6s8fKLgREdkljZYmsk/GGxIjT5kX0m1lEL81x7Lvou0i2eyytnx9gTguKs5WMt6Qb6QqG9908oLZdbKG8qV1NhLrbDcLuz2GYXYlun2H7GvczrwJcZauL9Lkt9VglNXSlPh9dZZxxmg0Uvs/ziLRjcQMlfT0ppZ1eS/SlGw7YD8+edblOllD+Wi9c+QwSqnxLdJdlWc0r9VZ82LdFmyUnO+jfHTWNppaM5OJQKeoijMV9vZvVyXuo9tfKn30MsfPYIjEqGWeBisLN+LLE9iAGbiYQW15/wrhSIRwJMKkL3POkvN9ROdDrA3OUrPQR7k1fW3QPiKe/bxkG4kuyvojHD3vTuwhU39mZkX+l7FP+JsPNzlRdIj/seQIv/hFqDQOZwQ2Dx7CFz9/iOqXzUzOP/3m5/mn3/w8Na8coeaVI/zTb35+y8Cm8TefcfykBzKvvng4+V76/CIisnv6ayqyT3Zyt95ldf1ZGzRHutrRHX+rW1aTldVhdQBPrkG2tjPvdmyjAJ3YHaL53s+5rjqGI3Vmmw0j2a3LLJq3LvyXrG52O9yN/bCxDu6TwF1n97Gk1QE885DIsniTrxPMLmPRE7m3sdyZK3PjVNLeAasDLJ+oxQU447tUd8Ls3BQ/wgEF7v7NJn/nWbM2ZvR//jz/4ocPtlwm/B8f8Fb4Aad/3Qxu/sm/MjM3d/+Tmbn5q/h9fvXLh2j4+/qvU0TkSaXMjcgTxMw2XLXd/Y4TDIxRfrbK7E4WNJ89UtJu3lGP3t3B81DuRiGZmTDXvxfz2vaC4hMwHkhlTOLBq6nakbJampa6uJbMnMQJDtqzK4t0T6SesbI20cWyrzZ37UaOdcWDM2a2oKyD8FSzlXEKEQzGMS/8V+jJlnHJWOcWbShU0XHc9gyU1d7129u5yA8xN7qboGCR7qpL0NtBDcC8Gfg1jjZTYwuSc2ZurPk9VXOcOW8NfDA/Rnnxi9tsx3tEKWYHCauCvf7rR/gHv2EGKflGNrsde8h/+ZkZvPxx6AFveI4k3zv32hHOvXaEX3/hEL/+wiHOvXaEKkP/bYqIPMl0+0nkSVJUx/DUOp4qg25rkv3uvPfYqNmNDcyMRbs5veR0M8sNtgEF8mzC5b1IU2c91UYXUElPfzNcT2y/ijMVXTQmBxTIM28eJe0r9LScspaD8v4+mpJl6aW0LfTRWmXgARKDFKTyD5X0FM8693MkV41PnnV5j3PNMGhMTjdH+KrAj8ewRvXyTZt1NbF862SPnkNUSo2vnrnVDkoSgcTqKN0nagkXuIZ48Crjvou0YdZVpWdYkny1WSa+R5RUHdQawOkOwu0dhe9Cxvwh5kYrObOwzVH+VmcZP1FL2/aW2rW/im8y9NZ9jhyGX/47ZsAzH3nIy79yCPdXDhGJbdL5P+UPXj66Dz/7eJMv7dFQzQ8eQtP3PubDj+Crv6rhn0VEduvQ5ubm1o9dziP24Yd71RaRp0bRc8/x0YOtu7nIdmV73stB4nyGzNqgn/WtBiJIco5AFg/6ucyVHN3Sagm3lyZHYsvWfW1t0GDudJZujasDtN71MXxywRqFLvXw0GvHAs75E9s6f8c5wl82yQAx+/N7duP9v4G/80VnUPIf4w9ZuvOQ4A8fEPz2F/gn/+o+f/uzTX7ntSMcOXyI7j+5z/2H8HefhX/+jz7Pv/0PD/npR5v8zlfNe34NgY955Wj2QKfha0dYWn/I1J8X9jfgu/Wfo7joMPc/Nf+7TWSSCh0K+r/+/CEv/HJBmxIROfCePXIk7/sKbkR2QMHNo3LQgxusOia2qEc5uPbsgbM22YKb//KzTf7N7Ye8XHSIl37lMP/5p5t8+RcLz4z8X3/2Kf/o64+2c8O/+csH/P2/l/8/aVBwIyJip+BG5BFQcPOofAaCG9lzsf8Mv/CFg1sL898+fkjRl/e7FSIiTwYFNyKPgIIbkSfHzz6GD38GDx9uPe/T5vBheO5L8KWte6+JiHwmbBXcaEABERF5qn3pC7r4FxER08HN44uIiIiIyGeKghsRERERETkQFNyIiIiIiMiBoOBGREREREQOBAU3IiIiIiJyICi4ERERERGRA0HBjYiIiIiIHAgKbkRERERE5EBQcCMiIiIiIgeCghsRERERETkQFNyIiIiIiMiBoOBG5IBaGzRoDcb3ZmWxGVqNAdZ2tZIQQ4afYMx8taftyyEe9OMZDD3SbaSEGMp2jFYHsu5nPOhnaDVzLbmmJ95LrivHem1zE2wx8Fhtsi8bD/rx2M6FiIjIQfHMfjdA5LMnTrDlFN1Ltkm+acLtpfvWItmB2AytVXOcWQhQPGEwd3oagLlBgwDNMDrGcnLmMTyd1q/WuXZ5r+BuGWBtpIOSgjYY4lonnFlwbT3r6gCehrHkthuNxO+nUu0AuqsMolMR2srMYDNQvMKwt4D1i4iIPKEU3IjskybrojIR7LQGn6ALy9UBPIFibo7U4QIoqmM4srebKGmPMLy3q3yMQgxVreOPBMzA5HwfgYlZ3IzB6QjDZUB7hznr6gCtd322c2tmVJLBrQGTU9CYDEbMiePWb03J4KPenFZl0J2cb8wRrEAzkxEzWCrv3/rzFA/6uWb9XtK+wpmWSwRPBvAWbfNwiIiIPCEU3IjsOxdefzPd8+8BT0hwI3nFg1eJ9l9JZVyK6hhuDzE0CjVlWy3twjsSwQtmEDlfSwmzyWAkHvRz7VggmU2Zs+ZrvN3HzUhd6hOSETRlWhs0aBzN8aZvmpvFae3yu/FMhPAqiygiIk8p1dyIPAHid6OpF6sDeAzD+hlgzbrT76yvyKxfSS7TMkNqzvesugsjo8bCrLtILZeo84gH/WaXpqUuqg1ruxk1NyGGbMvmqv1wtMuoT2YjEu/Z60ec+5x9O/Z9M+tpZhx1JWY7U/NXdy7mbs9W68opztJ1N35bUGGut55xxmg0DIYGbfvTMMZy56ks240TDETpOV9AIFHWQXikrvDQt6wjGfQ0TUUIR9J+FvooB1zegJU9TCxXS9Po7C5rq0RERPaPMjci+y7Etc5FmqYCQIihhig9CxFH16ASfzPdgQXiXvMCNx68yrjvIuEi6+58+l19YANY7rzKmYVIaj7rrnw86Kf6eg03IwFzmdgMrVV+ggsBvN4A4WNp3dIchechhox6ov0rhPNkDeJBv7NdqwN4GqJZ5sy+z4ntMBUhbF2Arw0aVA8eT9Unjc6BtX9mV7Eu3FNWt7BEbZOtPYHiFcIRV/J17nXlEVvgBsVU2CaVtEcIn5+htWqd/5+9e4+J6773fv/Opd15ziXqH+OUXSJ5B+zuZZ1gaKlS1Y+52aY4f7SVJpRaMgjQZDMnNE/VP0BIZgQCjZEQ/BH1SfAZKyNAgORSMlLTP2KCL9yeVM3pdA/GUuapDd2WQs/UjLR78uznNEnj+Pyx1sysuXAxYMDjz0tCNevyW7+ZoWF9+P5+v+UOt1FIlLxby9BtH+IVJdDUDt2xz7CdztkZSj6I4jyIGYDiQ8xsw9JOrFeBSR2Wlj4cbfiskRQq41yXMmx8nrzSDJtFREQeEQo3InvEftOZmH9TRKVrhlrbRG8Ail10cZyhYDUtxVFmL89Q7zbD0JS/jK7pzH/VL+k5H7+5LjzRCL7bRHk+fn78nJxq3C4Pvg+iODea9xOcZLjUy/V1j4umX6O4inouZDh2jdccu46tslBY56WkfJKF1iJyAVyvJcJD2vEOSk+XwVKiP3OzyRPqKa0kihVu7G1twcKIhzlgrimf6xfLgRk6k+bHAJTRBRDsNatKpV5OLflZOMi6w9IKW8MsttrbMYPbldPrz6uxnxcNuOng/CbmdS2zFIFCzbsREZFHkMKNyB6pt9/I25g3pNYyvrNldE37cOaYN+qd10K05N7mCl66N5zb8ejI+JofwnXWes+3vyB1iKlbZZSQx6nTUwwFy8kj9tklrhJoagdg4RqMTnvxdUBpXT6zI0uQv2bj6f0NtHPl9Dzd+AlE2jKGsszVntRw501U5+LyyFewERGRR5Tm3IjsKyECgSjmpPN5ukpnWF4x9zicr1Hvn6R/xAOny60bUrPq0TmSeJbLQmBig5t1MygN+2zHRSbw+cs4dWwTszqKq6if9TAUfxZLrM/J18g/TNI1ooELmYdHrfWa065jVUdcVZmXTs7NpySlX0PxOTcZXnOwd83nyawr5xB5s0us2DZFAxfA/Rp5QL7zPHnX/CxblZvEXKLE8t+FrW1JixE4TxCfl1Nxbobhs+Y5mYaixYYUdjsdOJwu6Fj7eTX2+TbXe8oo6ZlPm3eT7GOWyTerYiIiIo8gVW5E9pUiSnFTYFg35a5L8fkmZpA5Q62/kdFwIoQUts7T1XScAsP8vn4sTAsk3Xyncjh9jC4ZVBgea0tKlaG4ivrZM1QYHnO41LHkPrZMe2kuNygAYssPp4r1K3aNkh4v9ebaX5t8zanXYf3nAeVUMzC2REF8uF8jXT2xYWkZXrPrUspQr80yP4epYBuF1mezQiUNxVjLKjtwtroINC2vWblJU9zGovUe2oelJTPnIA27LrF4MfYeOHBePG9WvA5v8llJkQmay80hdCU988lVm+Akw4eraNm4FRERkX3pifv379/fTgORTz7Zqb6IPDJynn2WT+/d2/Xr6kGL+0WI/qbbNCQN6QrRb0xSaS0oYC4e4MNJIkwkDQOLTNDcAd0pw8IyhRtziFniGTYZxR7cuUYA3HjOja3PGpYmIiL71DNPPbXufoUbkS3Yk3ATmaC5fIpT07r53BeCvRScZf3A8QhRcBYRkUeBwo3IQ7Db4SY2OXytCfEiIiIijwOFG5GHYK+GpYmIiIg8zjYKN1otTUREREREsoLCjYiIiIiIZAWFGxERERERyQrbCjfbnK4jIiIiIiKyY7ZXuXniCZ75yld2qCsiIiIiIiJbt61w8wTwv3zlKzz9pEa3iYiIiIjI3tp2Kvnq00/zvz3zDM8o5IiIiIiIyB7a9nNu7O59+SVPKeCIiIiIiMgeeHonGvnsiy/42+ef8/m9e3ypRQbkMaCHeIqIiIjsvo0e4rntcPPZF1/wH599xt91oyciIiIiInto22PI/vb55wo2IiIiIiKy57YVbu59+SWfK9iIiIiIiMg+sK1w89STT2qOjYiIiIiI7Ata2kxERERERLKCwo2IiIiIiGQFhRsREREREckKCjciIiIiIpIVFG5ERERERCQrKNyIiIiIiEhWULgR2feiBJoMCgyD/uAOtRhwU9AX2pnGdkSI/qYJosFeCoxeFuzbDTeBSOLIhb7k70VERERinrh/f3sPqol88slO9UXkkZHz7LN8uuUH2EYJNB1n2R2mpXgThwd7KfDlc/1iNY4tXjGtBwE3FUuvsdhatEMtrm2hz6CWS9a1QvQbZxje8KwyuqZ9OHOwzrlA3lglV856mFvzOCAyQXP5Eu5wG4U7/UJERERkzz3z1FPr7n96l/ohIlsUvbNMyWnXtoLNQp+BL3+eAafZisPpY3FnureuaMCNL3+eRaet96XeDEEtRH/TbRrs2yMTNBtmUGkJ+wBwhssJNPnJv9hGIVECTe3JF8ypZmCsl4K+0K4ENxEREdlfNCxNRB6SEEPn8nA7U2PZEkPWMLv4V99t8lhiBTMQ9Qcxg0q4iin7MLXINFfIJzelxfg5AMUuum5d0NA1ERGRx5DCjcgei81/WehL3OzHbtQX+gwqzs0wd+54Yi5KZIJmI/1YU4h+277mwB8JNBnU+rHaMOerpM65iQbcSWHD3uZCn0FzIBSf91NgbHLOS3CS5R5X8vCwyG2WyafhYpjFsO2rtZr8w8ssRUIMXa6kIT5cr4iW6Xx8hptAJER/+RSnutOH560szdi+c1B6Gq58EN1EJ0VERCSbKNyI7Af+M0ydMG/0r/eUMeybIAoUtprfl/TMsxhuo5AQ/eVLuOPB4BKcjYUNcz7Lcs98PDQMOL+J82KYURdWG7b5KZZowE3F5Uqux9qc9rJ8NjnAzJ27AN3m/lHXDJ0jGy9GsHBtkLyDKTFkZYm5w4dwBHvTwlThiTw6y8+Au5qVPoP+oBXUOqA7fB46zsCYvf8O8g/P0FluUOtvpNI2f8lxMO/BPwMRERF55CnciOwHrkvxxQUcxyopmTWHaKUJTjLMILXxYHCGYWZYXrH2lXrpThsGtp4os5dnqHfbqiE51bhdM0mVj5Ke8/FQUXiiEW7dZit1kYVrg9SfKLLanI+Hudg+KCMvN8rSrUYqi4toCYdZvFiNAwfOi2Faiq1V1az2CltjIS99AYG5pY+30EMRERF5lGlBAZFHTcYJ+cAOLRP90EQm8HGJgWIgaA2TOxfbacBYmMW6CZrLjzPnusRiZILm8tTV0UzDhidlS8qqaUBJ/vMP5WWIiIjI/qXKjcijpLiK+lkPQ/EgEyXQZ1Uy0vaFCAQ2qq84KD2dGAYHmCHEX8apY9tbeDo3v4zlO7br51QzEFvBrLjNrLiMNQJmFael2DomHDZXOov9O5wYrlfS46W+1EuXq4yuafu8neRgE72znD4kTkRERLKewo3II6WIlmkvy2djw9LaoS5WxUndN0m+NUSt8ERj0oICdg6nj9HDHipiQ93Kpzg1nT4350E5jlXC5enk4WtBc5nm+P9aIWfA6SAacFsLF6T00Zqf08F5BpyHAChtPQ8dBgW2IWoJUWYvQ17qkmoiIiKS9fQQT5Et2N5DPB8f0YCboYM+syoTmaC5A7ovVuPIOOQsNrTMen7Nf6nkyo895hC1+DNrUp6HE2/HNiwt2EvBtSo950ZERCQLbfQQT4UbkS1QuNmsKIGm41w5nXiA6EMVmaC53HzwZ+oCAyIiIvLoU7gReQgUbkRERER230bhRnNuREREREQkKyjciIiIiIhIVlC4ERERERGRrKBwIyIiIiIiWUHhRkREREREsoLCjYiIiIiIZAWFGxERERERyQoKNyIiIiIikhUUbkREREREJCso3IiIiIiISFZQuBERERERkaygcCMiIiIiIllB4UZERERERLKCwo1sz+ok3hoPV1eTN3/0dg3e9+5uupn1j7/JSE0NDW/fBO5ytb2GhpoMX+2TrALc8Gdua3US79s3+ejtGkZubLprj4EQ/YabQGSv+/FwLPQZNAeiGfdFA24K+kI7cp2dbMtuoS/zZ7PWdvPz7GVhR64eJdBkJL+uyATNTRMkvaPB3jXfYxERkd309F53QB5xB6rwjH+Lq+01jPxknLqjwOok79CB5+XnzEDxBrjPV3EgftJdrra/zsit1MZep2HQ9u1hF33nq+C9S9xpfJO2lddpeLuDofPjnMS8jvfXuXheffGBunzk1Q5+X+Pno3EXR7b2qrcpSqDpOJ2zZXRN+3Dm2PYE3HRwngGnY096tisiEzSXL+EOu1hqOk7nrG2f6xKLrUV71rV9IdhLwVkYDbdRCBS2vsZU0wTRi9Vs5qciGrjAcs95CjF/nirOzaQdUz8WpqUYzCB0huE1WyujazrMou1ndGHEQ547nNyX4iryzh6n/2Cs3XhvCDQdZ9mdul1EROThULiRHfAcJ8+PW/++y9U3PuaV81XmtweqcB/3cPlGFXVHzQrN7196k29QRdtmwsXqJN75Er73wi/484/Gafu1h6vvvcDI4GT8kIb3zf896bHClf3cn/q5ndJk7Pirb3+XoQcMRjuppBQ6OyYo3eRNa7ZYGPFAzzyFwBL2G23zRrg5ML9r4c7h9LG4mQPjgcwMHNtqa6Pr+PK5Hq7GkRI8hptg9PQUtfaw4jfoBMwQ4sOZE2LociXdFx2JPjlt7Qd7KfDl0xAPGkW0hMO0APHQfXidgBmZwHfLS3frGsHprBHvr/m5OnBevGRWktZ570RERHaKwo1sy0dv1/BO7ptmlQZYfe8X/PknXrOyYjnw8hlon2T1aBVHfuTinTd+A8A3bvhp8E5maBWwwg+/nuN7Pzfb8/76Jp5XvRy54ee3jYlrmtf1cDmpIjRJw7yLvvHxRMUoYxVp7+S5z3PKd5yOQHl2V2qShJjyl3Fq2gGkDmNy4HQ30nntY3is4l5CclUkETzMil45uUzFw+BCn5ulOh/OnCiBpnbz/L4L5HX7rGB0gTxbZTAacFNxuZLrGcK0GVRIr9L0GdTe8sbPWRiZ4lS3D0ewl4LLlVwPW//25WdsF+t1NPRcoCMQfYx+zkVEZK9ozo1sy5FXx3HzC3M+zA0/rYN/5Ko3dT5MN1dv+bl8A3MY2/kf8A2Aoy6GxseTv95ycQg46TGrOkde9XLygHVeWpXlJiOxeTZArII05KniUOObDJ3P5XK8Dx6ukstB68j9Me/GgbPbC+fa157vEuylwDCsr8Qci7R5JMFeCuLzIKw5NAHz3NhxC31GxrYyWfdYe5+aJgjE+hLspSBlrkfaPJTgJMOu15KG4tlF7yyv8dp7WSBEv2HQH7SdEJmg2XbNpH4nzQv52Jw7kvJ60vuXek1rW7mHOQapNaz5J9Z1AwE3BVaf0tqKTNBsJPqT1O+MQkzd8tqqKontQ+fycG8YDEJM+WfoLDcoMM7AmBVsrNfUQSX1sx4qUj7PhT7DqsDEzk18+fLnWYyFlsgEvlj7Z5fp6q42g821qsQxwd6M844cxyrh8nRanBUREdlpqtzIth142csQAC8yNO5a4ygriBzN5XJNN1epoi31kBt+Grx/ou6tcTPQYFZkWgf/mDjmsIu+nzxI76poG/8Bf27/hfntrY+Jrk7yzp9cuF99kHYekpxq3C4PtdbwtCTxIUrh+M1lc3kv+eG0dy6DGTqXXmPROnahz6CWSyyGreFGwV4KrLZShwqte2xkguazy3RNh80b58gEzeVAD1Dsoqv0OFPBNgqt+RxD56BrOjbEKUrAN0i9e63+hxg6N0P9mA8I0W+/jiW3p4yKayFais027UPc4lWGcHIFYQWYO3eBU1ZVYqHPoHYkhDNt6FWI/mtVSe+ZL+BiwNnG4nR+8rC0yG1gkCvMsxg2i+KFzwAAIABJREFUrxa9Y2sqMkFzuYe8sTADm51rEpxk+HCVNUQsYaHPGpoWbKMBGLYN/UoalmZVehqseVst9FJgDJrzmGI/M85qWqxFAppPm8P/ClvDLLbGGjSHpl05Pc+AE6IR2zuZU81AuJqFPoOpEz6cTNB8dhAYpMBv7/EgzfkpQwtzDpGXNkBURERk5yncyPbd8NPw4XcZevW5NRYKgNgws+jbfr4z3gE1v0vZf5MRL7SNe5Pm4Rx42cvQy4nreFe+xQE+foDOTdJbMwl8kzqe4xuH4fe/9nPwJ+P7YmgaQGHrJeqNM3QEyum2bY9+MMXc7AwVhse2tYxTEcjfsNUyuupiN+/mULBEyCBDEGFTx+bemWLO9RoDscBhhTMfEBtWVuCboOFiNY7gJMOllVyPHRuZ5spsI+6LyT0dTpunAVBEpWuG2nKD5bHEZHSH8zXqjQsE6sz5JYkhbrF+Zx4aVdJzPh6SCk80gu82UVLDTREtreaNf3yRA9d6Q+Qa16ymRD+YYs51afPBZg3RgJtaP+DykndtgpV81h2WFg24qVh6jcVWB9CWCDVJHDgvhrFPxYmFsTlrAQHz840y22EkzcGJBtz48uet12WGnfgiGMemae6A7ovVrPQZ9AdTFhGYXWKFx3XAoYiI7BaFG9m21ZU/cfIlF3AX+CZ1b3njlRfTTUasMHPkVZe5mtrh5zm9qdZvMtK+wunz3+LGL+GV889BbDjZjd9x9YXvUgespp628hu87c/jHh+nzrb5oxcmGfmTi779ULWJK6JlrJGCs+0MuUhOLmusHrYzy/w+BMVV1M9eYDZSTf61Qeptq2rZqyx29WOZV9IyKwrWUsTxleXM0OP7IIrzoDnEbXGNIW4PKnXeiRkUdqbtLfaI2aVKro/lUXHtEM4Tt+m/BvGxlWnMyhfMmJUU1yWu51/IuFpa4ucqtnJfbIc57KzTfuzsGQr8jYyGXSxdnmFu9jgF50j62cw7mBxZClvD6YsHlOaT+wCvXkREZCs050a26S435l/gO0c3PjJm9fdz3H4hd5OVkxep+zn4al7nt8d/YFZ1jrrwvAxXfzkJ73fjfe8uB172Wiul3WTEO8nt9+EVa+GA1fc8NNTU4H1vkt+/D4eOf4sDq5N4k+br7LHiNkZdMwz7EzeijmOVlPgv2OZHhOi35jPk5pcxF5/DYA73WpsZCDpH7HNL/HTONlKZFirWP9ZxMA/sfYpM4PMnn9/QA1dGevH57e1bVZZjm/27fYhAIIpZZZinq3SG5RVzT2GdFy776fcNUn8iFvzS+70QmHigOR4rSzMQnw8UCwpbk/bZRSYIbDTnJjefklu3bX124Gy1VaKKq2nINytdBYZBbXx+TSycmMPSFmNfrUXmamnhMIvhebpKGxm17Ytf46LtnHCYxbFGayibfbuL3Ijt2LFGuHWbKFFmL0NeampJfe5N5DbLhw+paiMiIg+dwo1sz+q/8luet920/JGRn2ZYUCC+/y435v/IyZceYAnmA1W4G79p23CTkZrX+e3xNxkaH+eVldetB3je5Wr7Jb7x1rg59+dt8/o+fsbQ+Jt8b94PjS4Y/A0fAWw6YO2OwjovJfYNOdUMjOXZJnlPUmndlDqcr1mTww0KjHY43bh+263zdN06k5gsbnuOygMdW9zG9R4SfeqAUynTrBzHKsE/CD2uRPvWELXSTVdZiiil3eqDuTxxvLqTU84pBhkmefJ9ar+nDj7YEtuFdV5K/Gfi73VeT1liZ045p0ptCwpsJPWz64DSjYao5ZRziilm11noIRFWwoy6rGfQhMMshm3PS4ovirDZB3maCzWkva7Yggh9IcCBw7Y4QWwRgZW+41w5fT5tgYikhSEwh+mR//ymeiMiIrIdT9y/f//+dhqIfPLJTvVFHkGr73nw8TNrWea7XG3/Bfw887C074y7OJK6HLN9Oejvd6zz3Jm7XH37Xzn60se0ev+UPvQtPu8n0/nmEtF/jj1k1Lpm2nNxHkDOs8/y6b17Wzs5q2R4SGPaM2F2+kGOWfxgyMgEzSOHGLAPRYytSJYyPDEx5ya2xXouTmy4WLCXgrNrV/Tqx8JUXjOo9TcyGm4j1/bcmpIe24IAVjv1/9XL8q/MOTWxZ/CQNKTQPsTN/oDaEP3GJJV6zo2IiOyAZ556at39CjciW/D4hpsQ/X3Q0mpbSS2lChRfbS12zCYegPlAMlwzm6z3PJpHTxYHURER2RMKNyIPweMbbkipCNj+Qh9bcavU+5BuzGOVAXtVQERERB4nCjciD8FjHW5ERERE9shG4UYLCoiIiIiISFZQuBERERERkaygcCMiIiIiIllB4UZERERERLKCwo2IiIiIiGQFhRsREREREckKCjciIiIiIpIVFG5ERERERCQrKNyIiIiIiEhWULgREREREZGsoHAjIiIiIiJZQeFGRERERESygsKNSJaLBtwU9IX2uhsPWZRAk0GBYVivNUS/YX1vuAkEeq1/J381B6Kbv0Sw12wrkti00GfQH0ztRy8LO/SqRERE5ME8vdcdEHn8RAk0Hadz1rap1Mv1i9U49qxP+5H5Pl05Pc+Ak6T3rH7sEpw9w3DS8Y2MhtsoBCAUf09X+twsHWtjcQya77gYcDribS8fTLzj0YCbinMza3fHdYnFcFHi+8gEvlteulvtBzkoPb1MRdNE+ucZ7KXAl6/PWURE5CFSuBHZI/VjYVqKIXaj3REot268d5bD6WNxi+cu9Bn48ucfSr82vvZxlt1hBqz3CMromvZR+oGbIYpoCc/TEHHgyAnR33SbhovVEHBTsPQai60bNB6Z5spsI+6LiU0Op49Fp/VNsJeCs8t0Tftw5qzRvxEPee4wDkL0G6lBa4YKw2P+MxZci9u4ftr90D5nERER0bA0kX3AQenpMuaWPt7rjuwfVlWkoXjtQxb6jlPRMUHUdk7H5UqutxateU7sPY5+MAU9LqvKY2cNZ7tWxWLYFmwiEzQbtiFokQl8XKKlOEqg6QyMhVkMz9NVaobWxbDty1apcThfI++cX8PWREREHhKFG5E9F2Lo3Az1JxI35Qt9trkhTbYb+KB97og1tyMyQbPRy4J9n+2cpDk31rGBgJuC+M26bb5KfB6Kua3WD3PnjifNNUnqW9IclBD9tvktzYE/EmhKnddiHWObt5JJ9IMp8tzrD98qbA1z3X3ItuUQ7u4Nhnz5LxCIwMrSjPW6kgNLc6wC4z+TPD+nfAl3OFZpM6s2c/4zFBjH6TwcCznt0G2vxmV6nUVUugaZCqZuFxERkZ2gYWkie2T4rGENZWpkNByOVxGiATe+/HkWw4749xV9h1hshf6zy3RNhzMMlRqk9tolFsNtgBlAzHMyVTEGuYK9fT90h1nMwbzBL/ez4GzDeTFMfsqwtIU+g1psc0+CvRSU95Ifn+syQ+fSa/F+cLCRTt80UacZOqKBCwy7XjOvtaYos5chr3udQ+5M0HzWw5z9/SyP/auMrunX0lu9swzMcOWDKM7WMIutUQJNfvJj1aGcagbC1YkTgr0UnIXRcBu5kWhSaCpsDbNYN0FzB3S3FrHQZ5jzgcoNOu0XTXpvTLn5Zeu9eBEREdkGVW5E9kh9fCjTILXx1cyizF5OVBUKDMOc5H7rNlGKqHTN0FmeukIXQCOjtiBTWOel5NZtMq8F1ojbNufD4WzDuWJVfco9zLHMUsbKSogpfxlddbbAVOyiq9ReiciwHw9DwcRrs1eotuxgNQPxoV+XqC/1cj3+feZ5MitLM9SPXUoMCwv66TxclTY0LV6ZulbFohVMHCv+9CpV+RJua8hZYavVDyuojrqsz3c6H5+98mZZvvMAq7SJiIjIpinciOwpB85uLyXWcKmYteZtmDfR8+T5UoeEpVhZSqpqrM0+xyR2g76TzPlEw9dC5iR+1p9Hs6NmPVQY5tA6iLJ0q5HK4iJaxqC2r5f+syQFwtiQP/N4koemnR0EzGDZHIhCcJJhBqlNHZpXmk+uvQ851QxkWB0t76AWFBAREXkYFG5E9lpONd090NkxQTQWBnzJ82zMSk2IQCAKOHBenKerdIblldhBg/jic1uiBHyDlJwu33jJ4chtlm3VlmjgQsqqX3ZW5WjE9sycoJ/O2UYq1wksDudr1Psn6R/xwGb6hIP8w/bXFmOGi3WXa7aLV3N8OFdsVZriKur9gwy7Uqo2xW3JgTI8T1dpGV3TyUGz+5j9WNvnEJxk+PChlNeX/tyblSXIS0pAIiIislMUbkT2AYfzNepnPXQEojicPkYPm1WH2PAoc5J6EaW0W9WE2ET2WAuNnErZt6nlhnOqcVtD3QoMgw4qkyo3hScakxYUKGydp+uWvaKB7dkyazEn0Q/7k4fDrafwRKNZ7UliBo3rPZuZs1JES7xiEjLnKtUVWdUZc3Wz6/kX0qpf0YA7Y0XMHKpmbnfkxJ6TY1BgWIsI5E7QnFoJAuBjlu3PMyLElD+P/HXnHImIiMhWPXH//v3722kg8sknO9UXkUdGzrPP8um9e3vdDVNkgubyJdwbhoy9s5Xn5Sz0uVmqW/s5M+aE/0Hz365LayyeYAaWDs7TTTsVlyuTH6IZe++m8/GVe6BnngHnx7bn1tgfDGo9fBUvbx728H+fMFdGiwbc6e2u0bdYX/ScGxERka155qmn1t2vcCOyBQo3DyAyQXP5FKfWeSBmZubDMRkL2ypUj7BgLwW+/OQQJCIiIg9ko3CjpaBF5KFZ6DMn6NePZVq+eiNFtITDD6Nbe6O4jcWLe90JERGR7KbKjcgW7KvKjYiIiMhjYqPKjRYUEBERERGRrKBwIyIiIiIiWUHhRkREREREssK2ws29L7/kySee2Km+iIiIiIiIbNm2ws1TTz7JVzeY1CMiIiIiIrIbtj0s7T999at8RQFHRERERET22Lafc/MPT5tN/O3zz/n83j2+3N7K0iIiIiIiIluy7efciIiIiIiI7AdaLU1ERERERLKCwo2IiIiIiGQFhRsREREREckKCjciIiIiIpIVFG5ERERERCQrKNyIiIiIiEhWULgREREREZGsoHAjIiIiIiJZYUfDzb0vv9zJ5kRERERERDbt6Z1o5LMvvuBvn3/O5/fu8eX9+zvRpMi+lvPss3x6795ed0NERETksfLMU0+tu3/b4eazL77gPz77jL/rRk9ERERERPbQtoel/e3zzxVsRERERERkz20r3Nz78ks+V7AREREREZF9YFvh5qknn9QcGxERERER2Re0FLSIiIiIiGQFhRsREREREckKCjciIiIiIpIVFG5ERERERCQrKNyIiIiIiEhWULgREREREZGsoHAjsu9FCTQZFBgG/cGtnB+i33ATiOx0vzYjSqCpl4XUrQE3BYZBcyBq2xqiP8NrjAbcFPSFHnZHRUREJAso3IjsOjOsbDqoBP104uV6OExL8UPt2A4wX1sitHzMMvnkxnZHJmg2DDo4z2I4jHvpuC24FNESDlN5LTn0OJw+RjmTEoQswV4KmibIsEdEREQeQ0/cv7+9p3BGPvlkp/oi8sjIefZZPr13b4tnRwk0HWfZvbmwEg246eA8A07HFq+3exb6DKZOmK8rGnBTcW4m+YDSMkpmZ5izbap3NTLsX6Zr2oczJ7Y1RL9xhuG1LlTq5frFahw8Wu+PiIiIbM8zTz217v6nd6kfIpLtIhP4bnnpbjW/dTh9XMdNx2Xg9Prho6UVswrTkW+FFrOK02LtX+hzs1RnDz8JDudr5Bl+FpxtFO70axIREZFHioalieyx2JyShT5zXo19bs1Cn0HFuRnmzh2nwOhlITJBs2Gfw5IyxM0a9mW2E5tnkz7nxn6tAvu+WPvB3sT+Tc53iX4wRZ7brKbE+jZ7OY9Tp9frm7W9LwTFbSx2Q4eRPkdnfUVUugaZ2tJ8JBEREckmCjci+4H/DFMnwiyGw1zvKWPYZ84jKWw1vy/pmWcxvFFlIkqgw0PemNnOYjhzpWOhz6CWS9YxYRbH8ugstweKQWqvVZn7pr2U+C9sYjGCKLOXIS/XtikyzRXyybcfVmrOHRp1AYToT50vk1PNwIavM11uftkDniEiIiLZSOFGZD9wXYrPv3Ecq6RkdomVB27EQenpMobPpq5CZhdiyl9GV11RYlOxi65Se+WjkdFWa39OOadKZ1h+8M7AyhJzsx5qrcpT88gSzHqoMAxq/WudFKLf6GXBtkJcgWFQ65+hszy9smW3fEfLCoiIiDzuFG5EsojD6UusQrblpaN3SHFbvBJV0jPPQF1+SuUmg+Akw64qCnHgvBiOV5dGXWV0TSe+z7QQQ95BLSggIiLyuFO4EXmU5BwiD1uVJeincza2M0ogYM6PKWw1A0R6NaOIStcMnSO2eTRBP52zjVRua5lpB/mH167wzJ07TkHH1IaVm4Vrg9SfKMq8cx0rSylD4kREROSxpHAj8kgpoqHHHHpWYBgUXMunqzS2z4Hz4GRiKNctL90ZVigrbJ2n69aZxIIBZ2F0C/Nc0to90cjwtURoij2os+LcjDlnqLsypXJTRMvF5AUIlm5tJWSFmPLnkZ9hfpGIiIg8XvScG5Et2N5zbrJXpiWb48+hOTZNc8cSeQwyPNvIaLiKKetZNiU98+b+kUMMtBaZix6sOS8HoCz+XBw950ZEROTxsdFzbhRuRLZA4WYt5sM3GdvcA0q3LdhLgS8//kBPERERyW4KNyIPgcKNiIiIyO7bKNxozo2IiIiIiGQFhRsREREREckKCjciIiIiIpIVFG5ERERERCQrKNyIiIiIiEhWULgREREREZGsoHAjIiIiIiJZQeFGRERERESygsKNiIiIiIhkBYUbERERERHJCgo3IiIiIiKSFRRuREREREQkKyjciIhkmYU+N4GIfUuI/qYJonvVIRERkV2icCMi+0404KbAMCjoC+1pPxb6DJoDDx4JogH3nvR9oc+gwDCo9c/QWW5QYJghZ6HvDMOzHioMgwKjl4XYCZEJmg3znMT2KIEmg4IMYSgacGfYHqLfSA1TSWcRaFp7/0KfQX8wZWNkguY1w1iIfvtrEBERsVG4Edl15s1j2g2dWEIMnYOu6TCLrUV73Zn9L9gbDyaFrWEWw2FGXWXm+xf24VzpxZc/z2I4zOJYI7iqKLSf77rEYvgS9fENDpwXwyx2Q4eRHO4cTp+13R4uimiZruRKeYbAEZmg2ThO52xy2NpQTjXdp6fo2DBY6v9LIiKS7Om97oCIrG+hz8CXP8+A07HXXdkdkdssl1bSkLPXHdm81M/I4fSxuBsXjkzQ7MvnergaB2ZlpeLcjLnPb9BZ6qXrdD7dTgcQot+Xz/WL6wTGYC8FZwfj39aPhWkpTjkmp5qBsFXFiV3LMmeknJuLGZ6skLrQ52bpg14Kzg0mnYffYNh1iVHOUOu37zhOwTmAMrp68uhcqmKx1b7fgfPiJbOSE25LDm0iIvJYUrgREXlELYx4yHOHicVeh9PHotMKEXU+nDlm8KowPPFzhg0PlHq5ftEMRPjPUOAHaKSyuI3FcBtghpeOO1EodrDQZzB1Yp4833GW3WbgiV0LMEPWyCEGUittEXv7AGV0TSeuAVhtx0LUPF1MU9pq9Y0ogaZ26DYrUJ1Lmd6FIhp6LtARiD4+fwAQEZE1aViayB6Lzc+IzZcoMGLDbMwhN7V+mDt3PD6kxzx+wpwXERselDR3whr6YxuuFLPQZ5vHEuyNXy9puFBkgmajlwX7/qT5IyH6jURfk+ZgBHtT5mQkz8ewv8aMc1KCvRSUe5iz5ofEhhslnZc0tMlqP2D2tTkQzfB+9rIQm0eSev4G/U35pGxtxIZrrfcZ2V5f0ueT/NrNeT2hzP1bV4ipW14aihPfxz6XxJwbMzjEhqSV9MynDEEjaVjaVF9y/+aWPo5XpVqKzeFqldcecB6S65J5/XCYUVesn2vPmSk9YQ6HMz/D4yy7zZC2HsexSrg8rQUTRERE4UZkX/Cfid+EXu8pY9g3QdSa+zDqwroptd3k+aegO8xiuI1CogRGoDscOx86R0JQ7KKrdJCp+HyEEFP+MrrqimzDmawb37Q5E4PUXquy9nkp8V+wbrhD9BtnYCycuGE97KFiM5Png73U3vImrplpPk1xm3m9UvO4lmLz5r+WxA3y4lgenUl9nTGHK4XDib/c297PUdcgtUa79X5Z70/Hg68cFg34420sTnvhnJ+F9T6jmMgEzeVTnJqOvWfzdN06kxQQ5s5diLc96poxP78N389Jhg8fIlGrKKJlrDERJqa9lJQ2gs8KLGcHrQBmLS6Q4TOrbLVCUP7z8fcxdUhkYWv4wSok/jPxUGcOOSuiZQxqM/7MOHAUVzMw1gh+c4ia+f+FDeQcIm/zPRIRkSymcCOyH7guxec2OI5VUjK7xMq6x79mu4l24GytZsX6q3vFuRm4dZsoDkpPl8VvDqOBCwxb50U/mIpXRwoMw6yWsMxSvGLQyGgsfOSUc6p0huUVzBvqUnu1AArrvJT4Jzdevaq4ivpZDxUPtNKVLZDF20kNbSn7Ien9LDzRCKWVlFrvl+Pg1m6DHc42nCu9a7xfa4t+MMVc6uflbmTOVmko6Tkf3194otH6/LYoFibKPcyRT8PFDJWbUi/XY5+v/4wZeGL9vbNM3kEzvNS7GtNfT8BtBjN7Za/cw5wtxCRVw9IqN0BxG6NcSKlQ2SpjsWAdDmdYwGANG/1/RkREHgsKNyKPOusm0z78KMbhfI362SlmI1FmL5McAmw3nebXxsN/tqeIlnCYxel8fKk3wPueNeQrftOdMrRrP7FXboCV2LLa9spN7NiVJeaSVkuLMns5j8pYeD3h4tTldlsIMX+OTh1zmFW2cKKSVWL/ebpYjYMQ/Smhx75YQGFr6s+btUqb1W/A/NkeOcTAZhYLKM0nd4tvmYiIZA+FG5FHXPTOMsSrKVECPvtKVEVUuma40tFOJ7bqxbFK21AzgBD9mxlaZlVfhmxL7y6MeJiLLS+cm0/J7BSzVrvRwIXEjXRwwrxeTjUD096Nq1O2/icN0wr66ZxtTNyAb8d6/bWL3GbZViFa87gM0t9r8zMqOV3Otqa/5+ZTkqnCk1S5gVynb905N/EhaMBSoJ3Ow/aloh043bZhgJFprth+jtZnhdlYGCz10uXa+CxWlpjbTPN2kdssJw3RExGRx5XCjcg+V3iiMWmyeiqzOhMbYtYOp5OHEhXWeWF2hnp3deLmL6eagbG8+KTzAmOSyk09U6aIlmkvy2cTk+NrSSz1S041bldiMnsHlYkb6eJy6EgMY8ob29zSvYWt5hyV+JCNSzC6U8v+rtffBzhu3c8o7b0+zpXTO7C0d045p0gEs7iUyk26IlqsldIWrg3Gh6DBIJ3n8hLDEWOK27jes2zOkVlZggcMZeYDWSepvFhN/sZHE/ANUn9ijflYa/yMRj+YAltIExGRx9cT9+/fv7+dBiKffLJTfRF5ZOQ8+yyf3ru3192Qx13qEszBXgquVXE9/wIV52Yo6Zln4Ng0zVYVJ/m5NVECTX7y3VB7djCxPHT8WTdldE0nDx2LLzHNRLzNNbn+L7pu/Z9mkIv3odEMphHb+bZlqdOe6WS9nsVWaxGM2Dm2Z+eYQwYnqdRzbkREHgvPPPXUuvsVbkS2QOFG9otowE3F5crEc2seK1ECTYln74iISPZTuBF5CBRuRERERHbfRuHm6V3qh2Stm4zUdHN1w+OqaBt3ccS2ZfU9D5dzvdQdTXzv42d4Xn4u+dTVSbxvgPt8FQfs22/48a78IP34FPF2c39Dg5e0foiIiIhIdlC4kW16kbrxcepsW9YMKdzlavvrjNyyb6tJCUav0xBb7Ouwi77UQLMdR10MvTWJt8bPKwo4IiIiIllH4UZ20XOcPD/OSeu7zVRuPnq7htb3zX+31nxMXeOfGBn8o63NyUQY+n4HQ6++uH4XDlThGd+J1yIiIiIi+43m3MiOW7tys9UGNz8sbfU9D61J4Wdthxrf3HIfNedGREREZPdpzo3sOxsGkHUqMB+9XUPv+/YtscqNNafnZS9DL9v3x+YEpc/5EREREZHsonAju+5AWgABbvhp8E6uHWxu+Wmt+Zi28XHa8PDnH3k5GSvjrE7i/XVuhuByk5Ga3/GNxm9yiOf5ffskjp2cwyMiIiIi+8qTe90BecytTuKtqaHhw+8yND6eEmzucrW9hoaf+rl92EWfVXk58tILjPz6ZuKYN+b43o9ezNDu7/jOuAtzSs+3qPs5+Gr8fLQbr0tEREREdp3CjewRK7i8Ae60UGMOXWt4+y4nz48z9JaLQ/adR1200c3IDfjo7df57fGfJao4sXPfAHfqMLQDVXjGv8vva2oYufEQX5qIiIiI7AmFG9l9q5N4a17nzz8ZZ2idYWKHctee7H/k1Q7w1vBO7ptpq6v5+Nk67ZpLV3/nwxoa3r6Z8QgREREReTQp3Mguu8vVN/wc9IzHl4DOdMyN+T9ycI1ws/qeh4aabvCM88rK6zTYhpodeXV8UyugHXk1vVokIiIiIo82LSgg25K+elmM7WGcMdZiAUePf5MRb+rDOzMce9S2str3OziwOon3p35ofJOhcSvAHB1n6NWbjNTU0LuZ59yIiIiISNbSc25EtkDPuRERERHZfRs950bD0kREREREJCso3IjsOyH6DTeByMO9SjTgpqAvtOXzF/oMmgPRXbnW7okSaOplwfpuoW+dzyHYm3hNkQmamyZIvBtRAk0G/cENzsN8bzIeJyIiIg9Mc25E9kyIfuMMw7FvS71cv1iNYy+79DiJTNBcPsWpaR/OHGtb0E/n4SoWN3N+cRuL9FLQB4ut1Qx0mwGn+2I5s03t0B2mxWp3oc+g1m8/eZCCpO+NxM+B6xKLrUUs9Bn48ucZcOonQkREZLMUbkT2QrCXgrOD1I+FWSxObGsORBlw7k4XHE7f5m7is1LJJGv8AAAgAElEQVSI/vIl3GEfhbatC9eW6aorWvOshT6DqRNhWjA/P1NyUKkwrH+UG3QC9WNhWlrDLLZCNBgCJqm4VsViq3mdaMDN0EEfLcUkKWyd51RTO4FjtvAlIiIi61K4Edl1IfqtYJN0Q1vcxkAxwMd71K/HRzRwgeWe80nBhsgEvluVdGcMElECTcfpPHzJDKNBKOnZuKoSDbgZsrXfcdasFC22mpvi1ZniTGc7cLrzKBgJ4WxdO3CJiIhIgubciOy24CTDpV4aMt7Q2qxM0GwYFBgGBUnzOcyb4oIM+8x5MCECTfZ9IfpjxxqJ+SRp82AitusZtvkiwd7EtWznryulrYpzMyn7egkE3NZ10uenpPXN3oemCQL2+T5J19rMXKUos5fzcCcFkyiBDg9zGY8P0W8c58rp+Xi1heI2BpwOs5+211mQ8v45nLGKTJRAh1kpcq70mp9LsJdaP8ydO247L6X/xVXU+yc3956LiIiIKjci+9MMnb5KrofDOKy5OUPBalqKzRt/X/48i2Hz5jwacFPRdyh+4z137gKnpsMs5pjVhgqjkdFwmBasuR99iSFRcZEJmss95I2FU6oIIfqvVbEYbgPrfF/AtUHFIkR/UltW1SPpmEGuEHsNUQLrvRWRCZrPLtM1HTaHZ0UmaC4Heqy2OzL1e732prlCPqW2TdFAO52HG6m/lXrwDJ3lM9Sv0b7D6WPRPozQeh/nXJeSq3JBP52zg2AMWnOrDjFkTCVeE9ZrafKTn1Q5ep48e0dFRERkXarciOxLZXR1xxYXKKLSBct3ophVh5mkv/ZXnJuBW7fj1ZuSnvPWDbOD0tNl4KqKD7/KzS/LeLXoB1PpN+TWtVtan49Xgmr9MLe0wbC5tMqU1Y8kjSmVk7WZfXstEQJyqnG7ktsePrv5ldsyWVnKY7S1yrbFrHbV+svomg5neF8yCPZS0AHd4XB6eCxuY3HaS0ls0YggVIbPQ8dm+r3M0kNeOU9ERCRbqHIjstuKq6ifvcBspHrLE8XT5utYVrbXszTRgJuKc9A1HWYxx/p+aYcvsk2x6ok5VG/t92Y9ha1tQIgpYCXgpuJcHqPhMJV9bpJebmSC5g74yWEPr/szt1VheJI3uC6xeGIyvgBBheExtxU7KLwYJr/PoDkwz4DzY5ZnIT+txbyUao6IiIisRZUbkV1XREMPdJanzK+wVktbn1Wp8Nnm4AR7t/2cFMexSkr8FxL9iUwQCMLK0gzEqyYhhuxzZ9aSm0/JrIeheJ82Os9B/mEYvhbKeLzjYB6k9M0XDxZRAgHzvMLWMKPxCtc6cg6RN7u0ZhDMdfpYDLclLzYQs7LEHPB/tIZZDKd8jTWaoSV1e2uRWblJ3WYpbA2vM8zvY5bJJ3f9VyQiIiIWhRuRPeBw+lgcy6Oz3DYJ/VrVpp5p4nD6GD3socJ23oNWKtLkVDNg708HlBZDYZ2XEv8Zq4+T5PVkHtaW3lYjw2eNTZ+37nWK27jeQ1LfTtmGpTkPTsbfw9pbXro3fA+LqHQNMrWFQBi9swyHD23tWUQbLcwQuc1yaUqQCU4yvNXriYiIPIaeuH///v3tNBD55JOd6ovIIyPn2Wf59N69ve7GY8pcoGDZ/eDDzxJC9DfdpiHpoakZtgXtz7MBKKNrOvm5M+bQPbPStOby0NZwtu7Uh7TGFiCwvk0+P0qgqR269ZwbERGRmGeeemrd/Qo3IlugcLObQvT3QUtsKFewl4KzMLrW0LHN2ql2HpL4M3A2ufCCiIjI40DhRuQhULjZZUkVlPTqiYiIiDweFG5EHgKFGxEREZHdt1G40YICIiIiIiKSFRRuREREREQkKyjciIiIiIhIVlC4ERERERGRrKBwIyIiIiIiWUHhRkREREREsoLCjYiIiIiIZAWFGxERERERyQoKNyIiIiIikhUUbkREREREJCso3IiIiIiISFZQuBERERERkaygcCPyuIhM0Gz0srDG7mjATUFfaIuNRwk0GYnzIxM029pKbXuhz6DA2MRXX8jqd/q+/qDVWLB3G/0WERGRbPL0XndA5PEUot84w7D1Xf1YmJbiPe3QA1voM6jlEoutRYAD58VLLBtn6D8RpiU3cVw04KbiXB6j088TBRzW9g1fc7CXgmtATjUD4WqigV5mj1XBB8/jdDrMwHR2xjp4kAK/rd3cCZrLl3CH2yjc6RcuIiIi+5bCjciuM4MNY2EWiwGiBPomiBZX44g8xJvynGoGwjvTVDTgxpc/z6LTYdtaREvYukAksdXh9LHo3KjFEP3GJJUZX3eUQNNxOmcBBgHoPFdG1/Rr1JdW0nCx2gxMkQmaRw5ZgamagTGzomOGLxEREXkcKNyI7LbIbZZLvXTHqxYOnK3Ve9mjBxRi6Fwe7rAVbCITNJd7mMtwZKyaktDIaLgt3o69egUwbAwmjhtLPq+rBzhWBR8Aly+Ym2c9VBiexGGuS4l/F7vo8rUTiPhw5jzI6xMREZFHlebciOy2nEPkzXoYCqZsD/ZSUO5hjkFqjZT5K5nmmlhzaAIBt217iH773JSmCaIkH7+Q9H3i2IpzM2xKcJLlHleiwpJTzUA4zGI4zPWeMqCR0WkvJQCU0TVt7jO/7JUZs9Jjbr9EPY2MZjxuLfbzra+kKo2D0tNw5YPomi2IiIhIdlG4Edl1RbSMNTJ81qDAHjaK21ic9lISu8lvLQJC9Jcv4baFAM66CcSHfQ1yhfMshsO0FNuGu1nHjx72UJFxsn2I/nIPefFj5+kq3VzvF64NknfQNhwt2BsPSB2cN4NJziHySr1cD5+HDvtCAPa+W/0wDAqMMwzHQl3GRQ+WuUIVzhxYPnfGHKK2kmGhAXuYAxwH8zb3okRERCQraFiayF4obmMx3GZOtjcMcF3KPDckOMkwg7bhWqb6FSAXoBF3bN5LcJLhUi/XbZP0C+u8lJRPstBalFwJSTvWQenpMlja+mtJErnN8uFDOHDgvBgmdcpNUngp9XI9Nm+GKIGmtLFsAJw6Zr4/LeF58praIddcaMC83gTN5VOc6q7GkXLe3NLHkLZVREREspHCjcgeMifbh+g3LhCo86WFACDl5t8mkungPRDspeDsYMZd68+5saTOm6GR0bSWZugsN+iMf19G/YibAn/yULq5coMrPfMM2BY6KMl/fjOvQkRERLKAwo3Ibgv2UnCtanOreBVXUT97hqFgtbUKWJRA3zSlrRnCTtqxsDDiYc51iYHUY3PzKZn12I4NMXRuBlyvbdil3Pwylu9EodjqQVrlxlzd7AplcPp8UtCISVRuzHkzLRte1QxFhfH226HOx2Kr2ff+ptuJVdPsPbmznDyETkRERLKawo3Ibitu4/odNwVGoupQPxa2VvQq51Sph1pjMD5UrWXaS3O5QQFgTtD3rTHIKvVY1h7ullPNwNgSBWcNa7WyRrp6NjcszXGsEjqmiTpTw0Riyeb6sTADxdbDO40ZSlKqKQDD8Wuvw1Vl/WPQfE/iyujasKdRZi9DXveGB4qIiEiWeOL+/fv3t9NA5JNPdqovIo+MnGef5dN79/a6G3smGnAzdNBnVn1sw9LWejCn+SDPmfgxldcMpk5s5iGeVSy2Pk+gyU/+xZTKTbeP/BGDWj8Zw9MDVchERETkkfDMU0+tu1/hRmQLHvdwEx96djpDqNgPHubDUEVERGTPKNyIPAQKNyIiIiK7b6Nwo+fciIiIiIhIVlC4ERERERGRrKBwIyIiIiIiWUHhRkREREREssK2ws29L7/kySee2Km+iIiIiIiIbNm2ws1TTz7JVzdYsUBERERERGQ3bHtY2n/66lf5igKOiIiIiIjssae328A/PG028bfPP+fze/f4cnuPzREREREREdmSbT/E0+7+/fs8oTk4IiIiIiKyB7ZduQH49Isv+PTvf+eLe/f44ssvd6JJkX0t59ln+fTevb3uhsgjY6MnStt9Zv1O+fSLL9jBv7+J7Fv6nSKyeRv9Ptl2uPn8iy/4j08/VagREZFt++yLL/h///Y3DXEWEZEt2daCAveB/+/vf1ewERGRHfHp3/+uYCMiIlu2vdXS7t/n07//fYe6IiIij7vPvvhir7sgIiKPsG2FGy0eICIiO0lVGxER2Y5tP+dGRERERERkP1C4ERERERGRrKBwIyIiIiIiWUHhRkREREREsoLCjYiIiIiIZAWFGxERERERyQoKN/KIuMlIjZ+PMu67y9V2D1dXgRt+Gmpq0r/aJ1m94afh7ZvW8Wu1tQtuTfK1dyf5MGljhF9NjtJ/a+3TPpxbe/9f/vAOdX+IpGy9SX/adezXe4dfrT5Av0VEdsHqex5Gbti33OVqew3e9+6uc5bt9wAANxlpnyT1P3EfvV2T0nbimg1r/o6J9ekmI5l+v9RkbnN3mL870v77f2uSr03O85e1Tludp27N/ev97hDZ/57e6w6IbM6L1Hl+R8PbNxl69cW1DzvqYmj8u4zU/I7vjLs4csNPw4ffNc+54d+97q7ncBV/PXyT/nff4c73XuHHBwBy+HFVEf3vvsOvvhbbFnOT/ndDeAH+fRTvR+A5UkvL4Y0u9CItR1b42txN/lqyznsmIrJv3OTyfAmnzye2rL73C0ZeqOLk4C+4+h0vJ2P/fVydxPtTP7ftp/+0hhHbt1drYv/d/yZ1b3k5+WoHv6/x89G4iyPx9j20rpxh6K0VvDV+XrHtA+CG39z/8oswPk6dbdfqex5a50s4fXRHXvwW5PDjqlpK//AOX5v758R/6w9X8d//xzv8c4b//v/lD+/wzx//DYDfvPtv8A//xH+vOs7Xd7vrIg+Jwo3sa6vveWgd/KNtyyQN75v/Otno4s48uM9/a0/6tj0v0vLDF82/rv025W+Lvx3lX6x//uD5U4x8m6RfPn/5wzuM/I956t79N36TdOIVvrb6T/y3A3/hP1u/uEyrfO3dEACe5/+JhVXorzr0sF6YiMiWrb53CX7ihfc8ePkZntzf0Dr4Am3jLo78yAwz34iFjwNVeMargJt8dOM5/vzLX8DPY+HnJiPtK5w+X0XS34qsP5R537uL5+W7jNR0c6fxTYZefQ54Ec9bk3hrajjoGafuKOZogF8+T9/59D8Qmb+fXqBtPPUau+/r336Fv1pVnH/5zL4nFP/vPxzg/R9WcRD7H8hu0j/5V2bnRvmXf09p9N3RTf4hTWR/UbiRfe3Ay17aVvzwauIvaR+9XcPvXxqn7h8n8c7bj77L1fbXGbGGbl2tmbS2m4Ho5Perdq/j6/hwbpT/+r+eYuTbOVYVJ7bH/CVTl/YXtCh89m/887v/Ft/iOXKckR8ej3//lz+8Qwv/2WwTeP9/TkJJFS/ZrjmbU0vL1+ap01A0EdmXbnJ55Qx1L99k5MMzeF76DQ1ezGADZphJDR/AR29300sHQ+e95obVSbw//ZhXxl2ZQ8dRF55/nMRbM8f3Gqu4Ovg6DYOJ3YcaO/jGL2to+LCOk396nr7zVRy44ce78gM8Lz9nXbOG3veB759JrvLsttV56n77P/kvP6ziJauK82Nr11/+8A4j//sraeHkL4D3I3MUAGD+8ayklr/Gj7hJ/7srlP4w8TtE5FGicCP73F0cP/oul2tq6D3sou34HO/kvonnKKQNpuY5Tp4f5+TqJN43wG39QrIPS7u6DwYRv1RSS3/qEIKNpFZuiPCryf8G304dwgYQ4aCRy8i7o3z/H/6J9w/8xQxTh8nwnomI7A+r713i6vt/5Or7VbSN/4Cr7VDX+Cd6a2qSDzz8TfB6uPqWl5P/j593ct9k6GW42l7Dn3/yJt/4pTlUrTf+By7g+x0MvfQ7GryTQBVt4y6r6gMnX3ax+p4HHz+LhxdeHudk/OSbjHjhlfHnzEqOd5JDjW8yNP6cNVcHc8jbXpRvDhxn5Iepw5w3llq54dYkX4vkagizZAWFG9nnnuPAgeeoe8vFnZ/66b0F8Bs+etm15l/LPvq1H46/mf4Xu6Muho4CrDcpdXeYQwgeQFrlJocff/vr1P1hntKq4ykH5/D1Azm0fO+vLPz23/j+xwALfPjtHP0VTkT2rQMvexnKneTqP1ZxBDhy3gXAyZfXOuMuV9+Y5PatSRoG4aRnnNMrHlpf6GDIPozshh/vynPWnMwfcLX9N6RW+k32Ck6VVTG6y9X2bvB08PuaGnq/38HQuCu5zy9bixn8fI8CTmyY8wNIrdzUHa7i/cgo/bde1DA0eeQp3Mi+Fi/9H3bRNz5uBZabjNR4+LOnJP2EG35zeELsr29JbjJS081VrPYeYr83FPsrmfFX6n6bPHfGGw8x5vjolyBD5QY4cJz+A+8wcoukCa4fzo3y/X+3zvlhrTW51vrL3hFNGRWRfWp1Eq/Xz238jPBN6t76GbyRGkAgvjjAAbNa/43YUOWjd/mInzGU+xsaan6XGM6WkVXpj106tXID2APQSV60/sjWHZ/3meT7HQzt2cSbRCX/YNj6739cIsSYczjNoctplRvgpZIiZifn+cvhr+1m50V2nMKN7GtHXh1n6FVzYihg/vJ7A9zjXg6sTvLb1BPi1ZnE930rHkZueKk7+iJ1KSvd7JUPI6t4cqrgALa5M5nm3ET41WQI72f20AMe6zf217/9Ci3AX/6QaPulklr+avuFxeo8dX+A/h++wtdX53n34b40EZGtiS8QEHOXq/EKim1b+y9s/7bCz/s1XLVCz5EDLobemoyvfOZY+dMaFzTP//NPxjmd8n3dUWD1X/nz8Tdpe+F1fp/aP/uQ5722ept3+Tr9B+DrBxJzZzLOubk1aa2UllK5AeBFWqoAbu5a10UeBoUb2f9WV7jzAIfHqz1JasyKTcxhlzlJdNud24qbzP77AUozFJ7S2SeIRvjV5AIc+I+N34/Vv7IA+yLIicj/3979xrR15vui/2aS7qadOT3tlWmsIXMzx0DHlUJh16NuNRsbSKCkL9rRdZkcJECA3IkVZp+jeQFCIhYIZJAQvNjau5PITC1AgMQw1Fe786JxSQMYTqrdW8+xS6S4JXaH23CuUyxN1fmXOW127ou1lr3W8lr+AyQkzvcjIcHy+vOs5QU8P/9+z7Mod6mApbSjDy9nXFeZfVEoaoBrXvhWc6jhth/un6/iZZcDm+4z6AZwynUcp4bmcf3tM2j/qA+Tbzag9VXg+tu7O6N77dYXt4Cif8xtKmf5JDYbfrT+8buo4FhMKjAMbuiBpzuGpqgBriFAPYZGyPakft5+z4VLxe7kzDr7bvsrhJ8pRlc+22z48fT1P+FXL78B2xfvKJ7joOWjyO+Borr0f3ZFVZhuAAD1Az+JiPbZJ160uz9H6y/nxRKvL/HBml85MQAA4DnZBzfKsTOlHW+pSsuAxNZnOPbSs8p1/9mB0Xk3igCcmlfOpPn8m/OY3ONTu5c2/wy8bjbmsUUcv/Ffxs+erMRXVqSy/EQFgsENPdC233PlPoamSGuAqESVuZG22Yfsza0vbqHCWAXFwzll5OVnePyHmHvy92hCJb56HRh7dwY/whP41ctQbV+E918X/rnd+t07eAWV+OpFrX92sm0e/yE+3e+HMxARSV5wYHJevTBTWRpw/W2hjGxS9eGVMoPfgJ43AWz/T3woTjZw/e0z6D6T6cHOz6lmQNP6/+JXjL85JZue+v65hsBfjqC1SPlwzhRZ+RkA1//5Q4T/31t4/eUWfPrFO3j63b8Cz1SK5c2p7V87WpffB3BED5ADd+/evbubHcS//nqv2kL00DA+9RRu37mz380gemgcPngwp/X4P4UeRfyfQpS7bP9PvnOf2kFERERERHRPMbghIiIiIqKCwOCGiIiIiIgKAoMbIiIiIiIqCAxuiIiIiIioIOwquNnlRGtEREQK3zlwYL+bQERED7HdZW4OHMDhxx7bo6YQEdGj7vFDfPwaERHt3K6CmwMAnnzsMRz6DqvbiIho9w4/9hizN0REtGO7jkr+7tAhfO/wYRxmkENERLv0+KFD+M9PPIEnGOQQEdEOHLjLgTNERERERFQAmGohIiIiIqKCwOCGiIiIiIgKAoMbIiIiIiIqCAxuiIiIiIioIDC4ISIiIiKigsDghoiIiIiICgKDGyIiIiIiKggMboiIiIiIqCDsaXDD54ESEREREdF+ObQXO7n97be4/c03+PbOHXz7H/+xF7skeqAZn3oKt+/c2e9mEBERET1SDh88mPH1XQc3//vbb/Gn27cZ1BARERER0b7aVVnaXQB/+eYbBjZERERERLTvdjfm5u5d3P7mmz1qChERERER0c7tKrg5cODAXrWDiIiIiIhoVzgVNBERERERFQQGN0REREREVBAY3BARERERUUFgcENERERERAWBwQ0RERERERUEBjdERERERFQQDu13A+hR9yU+OP8vwC/cOFWUZdVPvGh3+wEAp1zzaH1Bvo/f4vtDDjwPALiG6TOD+EB3R8+h9Zc5HI+IiIiIHioMbmh/bf9PfAgrnDqBxvZ7LnRPfCb8UObA6Pw8imSvXSp2y4IcmTIHRocakL5bMZjaRx+tzuAVVOIr6/Hkslu/ewc/uvk9vP96A16SFm6vofXDP+O/JZfF8Rv/Zfzsb6l9uZ5vQVdZtiNew9i7IbjFn147WofpF43K9vxB+7Xk63/5IT5tqMIR9fI/aLdDd5/ba2j98Pf4bXLNJ/Crl9/AT5NvlPIc1e3RvE6q4+Hx9LbqbUdERESFhcEN3WfaWZXuM17Vkgb0zDvw/KtuTL4qbnd+K/fDbHg19il5Dq2572nPvWQsAmJf4RaQ7IBv/vmvAP6KwAbwkhgk3PriFn77zI8wDSSDAhytw1fJzv41jL07g9Y/pgckch+tfopjL7fgqyJpm8sY+09CMHLrd+8IgcvrVTii8dqPbv4VrmfSQ8Rbv3sHAWMLvrIC2PDj6et+2MqEwCHTPvHVn/FbjeBDIAQ2m6YWfKUO2Db8ePr6Nl57pgivabQldTxhH12/KxWuSYbtiIiIqPAwuKH77Dha5+eF4GLbD/fPb+KNeamcbA89wJkbPP1dvPa3WwhsQ8xYXEPgD0VwPbON8B/jAIRAZfPPf8Vr3zUAAD6KCIGNMog5jq6Xv0Lrh/8Dv/mBPPuh9JL1DVm24jhsz4Twr3+MAwAC23+FyyQFGsfRevRT/Ch+DV1lx3HkxTfw1YsANvxwx5T7PPLiG+iSfigrhuv6p9jcBl4qimfcJwDgyac1AhsAG2H87MnK9MAGAMoahOViNkvttaJScZ9G2IqewM/+nABgzLodERERFRYGN3RfXX/7DEbeVy4bOePXXrnsDP4vzOP/3kgt+kDMxpR2vAWn7lGOo3XouM5rz+LUkFvntfukqBSvP/57bH4FoAjA9lcIP/5djBkBd+wGbsGII7iGwB+ewOtmI6D4Psu+srqGwB+ACqOw382/FcEmCyaO/KfvAdvKrFJWG1twP34EnxYBQCLjPvHHPwF/COHpd0MAlOVsH8W34frud9H67oxYtlaUUxnZkRd/hIp3w/joRSNeQhyBbeBXL+q9/0RERFTIGNzQffX8m/OYfBNC1uafAadmdkWuET+BOPZmzarIxmy/p173S3xw/p8wvaFerkcsfcvnBPaEkF2Qshm3vrgFFP0jjpQl4Lq+hU0AR7a/QvjxI2jNGrAYcexJ4F1ZxkdfHL/xh+B+RsyObH+FMADbjs5BNjZGXmaWZZ/JbBAgZlPewW+efgM/LYpj8y+A+y/Ap6+3YBriOJrVa4qxSfq28cq7M+L3RXifk0UQERE9khjc0L7Y/ngVNzY+0x0XU9rxFlyvPiv88IkX3Vv/BafEcTSK1xSexamheZwSt3Fvvaaz3v478oMjeO13X+GWmGl4/UUjACNSz4SEcTf4M377ZLEw3iYjISiQMjHyiQMUg/y1xuwUPY0K7LRUy4ifNrTgp9K+330Hr7/8Bn6azz6LqvDfnpnBv34RT5bUpcrZgJfMP8RrH27hIxzPmL35aFUM2MQg6Nbv3sGP/Gs643qIiIiokDG4oX1RlJwoQEnK0DhlgU27G+iZ/wd8/PlRjA41IPH2Gbjfy1SW9iU++LUfNzb8aJ/QXkM5lfQ+KHoaFX/7FIHtp7GJVIbm2HefQPiPcXz05224jA3iyuI4mS/i+GmRKjuzfQPv/u0JvP60sF7X68dTY2EkG348fR14//UWjSDhT+JYGeGnW3/8E/BkcX5BQVqQspN9ChmozXyOC0Aq2fvVy6nszpEfHMFrN/8sZMDy3h8RERE9zPgQT9ofn3jRfuYM3O99mVx0/e0z6N5qwqSs9Oz6R5+j9ZfK0rHn35zPkpERMjiT89pfPa/cixPK13HYnvkrNiNbcMsG2B/5wRFgO4zAX5TjVl4y/xC4eRmtv4vL9nENYx/+Hjj6j7qTCQBx/Ca2DdfzWmNXjqP1KPCzyLXk/qZvAr8yZysDi+M3fj8+kn7cXsO//uEJvP4DY9Z93tqWtX/Dj1eS2wmzyLmvp/b7UeT3+O0zxVnG3AjXMXU8cZa5x7+LY1nOgoiIiAoPMze0P15wYHLege33XGg/IzzHprTjLUyqgpbn33TrjokpetW9gymdr+Hj95/D93+S94Z77iVjEV65LgQeSUWleB2X8TP8EJ/KVy6qwvTrT2Ps3ct4+mZqsev5FkxnfM5NApt/A9zXZ+C+LlsslnEdefEf8Sv/ZcUAf/1ASWLET1+8IRv4r9wu4z6/+B94+sO/ij+onnFT1oBP//gOfiSNnXn8h/i0Ift4m5esdYrjaT3nhoiIiB4NB+7evXt3NzuIf/31XrWFHmniZADQm8JZeM7NacVrsmfm6E39/IkX7W7lbGz6Y3ZyZ3zqKdy+c2dX+yAiIiKi/Bw+eDDj6wxuiHaAwQ0RERHR/ZctuOGYGyIiIiIiKggMboiIiIiIqCAwuCEiIiIiooLA4IaIiIiIiAoCgxsiIiIiIioIuwpudjnRGhEREYOPNE4AACAASURBVBER0Z7ZXebmwAEcfuyxPWoKERERERHRzu0quDkA4MnHHsOh77C6jYiIiIiI9teuo5K/O3QI3zt8GIcZ5BARERER0T46cJcDZ4iIiIiIqADsaaqFcRIREREREe2XQ3uxk9vffovb33yDb+/cwbf/8R97sUuiB5rxqadw+86d/W4GERER0SPl8MGDGV/fdXDzv7/9Fn+6fZtBDRERERER7avdPecGwF+++YaBDRERERER7bvdjbm5exe3v/lmj5pCRERERES0c7t7zs2BA3vVDiIiIiIiol3hg2mIiIiIiKggMLghIiIiIqKCwOCGiIiIiIgKAoMbIiIiIiIqCAxuiIiIiIioIDC4ISIiIiKigsDghoiIHmEJ+M6aUT4aSi2KL6Dz7AIS8tWCI+j0JdQbAwDCo2aUm7N8KfYXwph5BGHFXrSWpY6taB+AhM+ZtkxXcER1/MzCo0744tnXS/icimuS63ZERPcSgxuifaLunKR1kDJ1XOIL6FR3hIIjKDdrdS5CGDObUa7RcQqPmjEWlLbV6pSJ+5N1jsKjOm1LriN0FseC8nYp95t8Le2ctF4LYUzzvOTnlmG/ubRBPHbqda2OZx7vj067NK9dcER2PK3txM631vszGsrcNvG8M3fKU+eq2WFWXxud8w6Pah0n/b1T3OeyfSV8To17T3Uv5SrDNU3/Og8MRrDeXZlq47QLJmcjDPJ9Whpg6q3SbUvbbATrEfFrtgPW4bXUz5E5tCna50ds2IGKbMsyMNiHMLDRpN0e9f3ePAEEXKjVuE/Sr7sZLd4V9Ndo3VPKe7G2dwWrvVW62wn3ww7fQyKiHTq03w0gIgBIILohdJC6LNnX9fUtom7Zo+gIha9MwGqrRv90CHZZR01QDattAi2jDYpOXJKlB+uRHmE/o2Z4StZwwS7r2m2lvq042QE0+xHurkw//uk1ZYdQYnNjaVzsLAZHUN48gvpIj2L7xNVFwFaNKc8C2scbtfejEMKYuQmYjWDdIl6X0QUkLDrbytsgP67PidpeYGA5ggtGcaEYKA4se2CXlqFa9rNw7LGTWu+XfrsqWt2w1lyErzW13/CVCViH11CRYTv7eAR2QAg0aqJwKq5dSNU29XlXA71ehO3K6434Ajwb1bDqXl/ta5PwOTEW9ORwn6YLj5rRgjmsRyrFfY3AF69Mtdsxl35/js8JGQ3V/aIrvoBOTwmWItJ7XYmuSARdwhHhO1uF/jKN48i292y4Mdgtnf+K8vVmM6bEb3P7fVVK7XMC5b0A0IGZSA9wZQKrXmlZarnynMX2B2SLAlJ7qjGwPAT0nQdOm7SvpSYP1u3KJeFRJ6Kt2veTdC+GgyEUb15EH4aSfyv0trPn+x4SEe0CgxuiB0Y1TMU5rBb0or/sHNYVHYgQFr0dcC6XADXpgQcA1A3OwVSj1yHPg6UBbWjCYrAHFcn9hLDorUbdsgHIVvxiaUAbLiIaByqS55BA4BJQN3gOppqLCMQbtTvqcvEbiNncGEy2wQB7d2OeJxPCZC/SAwNLD5aGnajtW4BNM9CqRL0D8GwmAIvq1UztMjbC6XDBczUBu90gdKS9HXBGDEB8eQ/OR0s96hwueHwORcCauLoInK6HKRDV3iy+gD6Na2Owe8RAIV8JRDeqMTCY6nAb7D2wZ9hCUIn24Yvo8yWUAbcOIesSyRjEyn93wqNmtGykAt/w9CLqBj0wBEdQfqkeSxHxe0+JZnAsmZIFPQJ5oALA5ka7+G0qKAphzOwX7gNZ0CcEMV4og5kJlG+4sTQewXqG80+cBiajAODHmLlJ1SYloR0aARMAeM3oT/6gCp6DI2hpBmYiHlxItrcKMWcEXZq/t/m9h0REu8GyNKIHwk3EArKSjgz18YnNGKwlR5XLfBcx5WhAhbEGdbYJeDTLkCrRNduBqWaduv6cCR37qSuy8qSgH1O2etiyBSRSW9XrBr3oRz1sxkrUO1bQP53DWAJjKUwBFyZ3U+6Sod2GE/WwBqLypFVKfAEebzXqTmh01LK0q6LVLWRSIHTEIZUi7cX56LCd7MDqpWXFmI/JXhOc9lLdbRJXF7HqOJc9yMyZASVlOb636i2PmbAavZnDmiEsbrjRrgrew6NmMVuSXm7lKVnDuhS0xBfgkUqrmmMYGGwUApsrDal1NMa/AHmWpaksTi+irlUry2KAfVzYHxxzYhvSy+zkJV+GYybENmIAGtAVkbUpsoYBWwdmZMuEAEs8hmz5jKNaCAKTy+QBbghjnhIsRXpQLJYxJnzn0R8QAjy90k7DiXpAcQ8SEd0bDG6IHgiVio7ITJkLtTpjG7aiKzAdk3eqEwhcWkHbyUoABthOV6s6sjIWBwZsE2jJdSCyjopWN6xef7LzEr4ygTb1GAU5Wb1/H4ZSHUXZ9tbTNTBALHuT7VufFKxpjyfK1AbtsUkqxlKYEEM0uZ6sY9wHDEZ0ysCytUsMQBeDYrYt+Ul2nuejoDXWQcbiwABSgVMyGM7rGLtX0T2HNm+T/vgo8bW0znFxCawbN7J3jIN+TJWVpt2HFd3qTj7E4GMNg/IA1diIC5EIZhxA26wHdiygs3lC2S7xZ+U1zjHrKkoFAUJmpb57COjLck96m1LXxObGkng+S8PVyvUsPRg8DVhLjqrG8VWhPzCBFsX11R6PpDnmRvydSfguYkr8XaqNnsN66w309ZoUQdN6ZA5tthIoLomxFKbcLxER0Y4xuCF6AKmDhxShtEfRkYov43IgtUzIOCwioNlRMsA+6IbVqzMQOVfJDjqSpVX1mUrdpM7YbAdWe8+rOnEhLHqRCtgsDWiDuO9sLD1iBy8mdNoyBW2yDuG6bmAiE7+BGEwoUYy5ETtuARf6dAbpZ2+XAXZnB6aam9IHkOdzPgrKT9rTS3+EoHfKs4CEVIqnmSm418QgftmNmFYQ55iTdZBl4zOMpTDpZdFylZwYQZhAQLpGgb70iQ08JWtCVkMMdpaGq4VgaNkNq3gfOaPyyQVUwUDzhGKgfbmqPCyV5ZEyOgbYx7UCHDH4aJ4Qr00OY1aCI4pxQsljydouBXjS+7E0XK1cD/IMzxzabG4sib8zBrsnlUnqrkRiqxSDkQYsZprQQ7Lb95CIKAcMboj2kbq8LDuhtCcm6yGEp11YlXeuasSf9cp/jI0YHK7GVPMIFnfccrGzfCUkli/lmAWw9GBGVXaW8F3EFNI/zRY64jm2xu4ROmHei/lNRWtpQJtOIJi4uohV9afPAKQMy6pYWrajdlka0AadsrZM2+2CwX5OOFdfbiWEhhP1OgG2tuKS6hxLxyDLkOiVUKrEbyCm+V7kQpzhq8aFVQDKQEQca5LMighZ0GRgIgt6lNlSIRvUJU78EN1QlXHlWZYmMMA+fg6xPvl9LwaDsx3Ka5HpXK+UYGm2I6294WkXTGVR1CoCSiF4qu1dSf3+1biwCnmGpymZqRkLirPaybJZfZtHYUAluiJrMHnEAEevjTt+D4mIcsfghmhfCJ2oZAcknpB1aBLw9bkyBgyxTWltIeuh7EiJnaEMHVODfQgDtglMeXd+BkLn9yL6kiVxuZFKk6RpjgOXVlSf2IufHutmn0Q6Yx/yU4n2YaC/RvWJeXBEGHw+qFNqZ+nBjEOnvG+n7dqT88lEPNfeLCWEEmMjnI4JtKiyK8JsaemrC/eDMiMYHm3CVHLcTobnuGSzFRUDkyw0y9fSx5QkMw+KUioHiuOydWc7gI0bSIiTXaSVnSWfe3MTMeQ23iy7SnSNN8KAm4ipB/hLtqJY1Si9E57NswxbdyO2rsQU7U34nGjZcKO9uwfrs0DL6HLqeOqxOOrMzbIbVvFadVmkwFsrSyhcO93JSuI3ENNqNxHRHuNsaUT3lWxmIsecOOUvAONNTJqrUqUrGaZxrTjZgdUrNwEYhDEG6MCMugzJ4sCArUqcIUtrL0JpVH9gYuenIs781eLtgHM8nw0r0T5cjdrmEdQvl+ByQDmDlmLf0yHYuwHp0/bk7E02N5bGe7C06US5WVmCk+8AeIPdg/VjIyiX7x8dmIl4MmajhGmdNWafs+ywXTvdDoD29UkPYAwn6mGFKXMJoUxFdwRLJU7Ums3JZdbhNVzQ2t7YiAuzUZTLZw2zubE0Lr23lehavoFOszkVqDjmsC6/d71NKJcF3NKsYonNGKynHTkEZDWow3mN2faEaban1L9X8QV01riwKi43GCFOVS6WgY1XIjxqxuXTa8JU2LIAOLEp5CYSvouYKjuX1wxyypnVOlCvXkE3UxXCWHMMA8s6HyaUlcIQX0DfRj0GjeIM7ldGUItzWJfeB0sP1i0J+M7KZ8mbQItZ+bdgVfVzuWxGOcUU2Vr32lYUq2UNimWJq4tASY12u4mI9tCBu3fv3t3NDuJff71XbSF6aBifegq379zZp6Mn4Dt7HhjMYdwI0UNPmC5Z/VwkXfEFdE6X4oIYxIRHzWjxCs+MKZZ1yq3Dsmc5iQFN27+6EfsNMJiclUx47lAqeJVPmyx7roz6dzE4gs5NBy4c8wqBEpAao+JzYvKYRzEVdH2kBxVSoCXuQmgfksdrm12DySNOt2xRHks6RttsBPVXUs+aCY+asSgPvmXr6gXA6ecJ5Yct0uxx6g9f5PuG+hlAeb6HREQZHD54MOPrDG6IdmB/gxvoPMyRqNDInp+Sx7OZEj4nai/VZ3wuDd0vO3sPiYj0MLghugf2PbghIiIiegRlC244oQARERERERUEBjdERERERFQQGNwQEREREVFBYHBDREREREQFgcENEREREREVBAY3RERERERUEBjcEBERERFRQWBwQ0REREREBYHBDRERERERFQQGN0REREREVBAY3BARERERUUFgcENERERERAWBwQ0RERERERUEBjdERPRgii+gczSUYYUEfGed8MUBIIQxsxnlml/iOnr7y3CchM+JTl9iD04GQHAk1RZReNSMsaD6nEYQ3psjEhE9chjcEN13CfjOmtM6OUAOHan4AjrNyo5PeFSjEyfuS7ODl9Px9TuKnb6E2ElTLld20OTt1XothDGN46eRjpPW8QxhTHYdsp+r7OvsAoQrLLymdb0TPqfymOrzTe5DZ33Z/uXnrminah/p55d+bcOjGtciOILy5LXQ2k7jGkhfo6G0bRTXWzxvvXtSuPfEYwdHspyTFv33YEdsbixFIlhP+/LAbgRgbMRgyUXte1VTCJO9JjjtBuj+TsjOOf0+VH1daUi1BQDiC/BsuNFukR/TANvpGFq0ruWOrjER0aPl0H43gOhRZbUB/X0LsI03wpDTFgn4+hZRt+xBBQChs9WEKccc1iOV4johjJ1dQGK8UfjRMYf17krNvWU+fiW6IhF0AUKHylOCJfl6QQgdSWlZcATlzSOoj/SIbRNbfHURsFVjyrOA9pzPU8VWDau3CWMnI+iyZFgvw7m2zUrbJuA7W4U+Xw0u2A2wna5G/6VlJOzytiUQuLSCNqcHgNCBb/F2YCYSSZ5bwudErTmKGdX5ZpLwOVF7qR5LEU/ymo0FoXFOwvuK2QjWpTaPLiBhaURFqxvWmovwtaY6yOErE7AOr6Eiw3b28QjsgBBs1kThVLQ7BKAaA8uyTrecrRro9SJsV51rfAGejWpYpZ8tPVg67Uxe21yER6sQc0ZwwSL9bEaLN329ctWyttkI2jedqO1dERbUmNHv6EAbShAYNSN2Uvl+x5yq9WEGZueA5iZMaR1HvJcSvovArPT7JvudgHzfqXvHYPdg3S7+EBxBeXNM/7oCCE+7YHJGYJB+lxWvrqDW7BK+lX7XdnCNiYgeNczcEO0Tk3MIA3ChL9dPrYNe9JedS3VqR8XARtGhr0RXjkFE3sfPxNKANsQQVWRiEghcAuoGz6EtsIhAtiyNrnoMznZgqnkvSnWEgGY1elP46UQ9rOq2xZdxOdCBeguEDry3Iy2IMdg9mHFMoCVjyZTSVnQFbbKOMCw92sFa/AZiNvmn+QbYu8XtjI1wOlZw+ar4nontc9oNmbfblXrUOSbgUd0niauLwOl6mGTLDPZzMPV6c3ufNLMW1RhYlmVclt2wOuYUWZil4WrxWB6sR+bQJm3T3QAAsHXPAc1i5i7oRX/ZHLos0voRcRvx/ZUyPfLjzHYk29cXPYcui1ZmLoQxsxA0aQen2lkaRRYzvgAP5tBlScB3VgxKI2sYsAnBmyLzNC4PoPK4xkREjyAGN0T7xgD7oBvoPZ+9PAtAYjMGa8lR8acQFr3VGGjVzlTci+NnbJvvIqZs9bDJP6EOetGPetiMlah3rKB/OvdAII2lJ+9gQlsIk70raDspXjdjDepssmABQqd91dGACtX3ahUnO4CNGzmXCBWXCBmsrOsbS2EKuDCpUzpV0eoWMikQPvnHsENoX5btdsN2sgOrl5ZlbZfKtUpVax6FyaYOcrUlri7C5Nxl8BX0Ywor6K+RlzhWomu5Hpf7nOhsBmZU2byE7yJi0jXL0r5VbxPKzWYh49ZdiVSJnx+m4WpMNavKBOML6JQyMOK2ya+aKJyRVDAUnnaJ+68SA7AEfGfPA4PyrJNW6WYl6h0TWLwH7zMRUSFgcEO0n8RP4vv7snd6t6IrMB3Lsyuo6GBpZD7yOH6agAu14r77MKT4dBkQy6VO18AAMRDw+nf1aXNFq1soT9Pr1GU416lmabkf9RH5p+0G2J3yjruQbcopaCwugTUQxVaO7TfYhUxZbYYxLIJKdM12iG3Wes9qUGebwGIwhEUpa5PLdhmtoL9GNa5KzuLAAFKBU8J3EVOaQZ8BJWUriGW9KMJ1NhXn1cg04SsxWG3VGJitx+Vpf+oFYyOcZSupwE8SX0Bf70rq/Zbu4RpXMpApb54QziSZGerAzHgNAmfNKDcLwcd6pAd2KRN00p+63sZGXJBnXGY7AAgljUvLyrZUdIsZI5sbS92VCI9WoT8gfx+kn9Pfy+KS6t1dOCKiAsbghmifVXTPoS2QrTwsgehGdf6dQUVJj/b4kNyOr0Eq6ZntwGpa9ieERS9SwZilAW3Y5afNxkYMDlfrl6dlONe2ZMmPRvbH0pAqm0tmm3Joz1YUq7YS5P6WGGAfF8qiTL1VmhM6pNrUI5ZgxdCSNqGCEJBNNTelZyAybpeJshwsfTyHUM4nZJ5CmOzVDwCLS6oR29xpqaMyyFIEHeJXctxMfAEe1KMOAIobcUEsSwMABEfQslGtykqGMFbjwiqqMXA6KgRqmcrSEMKY+SJMyz2oSL53GuNnLD1p91tyko8rDcnXDFte1XsewlhNFE7xQ4GK7lTJ3EwkghmHeN8ul8CjMYnAzq8xEVFhY3BDtO+ET9xXe89jMqq3jvoTcaHUS15OdW+Pn4GlBzOqsrOE7yKmIM+YCKU6OZVlZWCwD4kBij/7yulbwz7ohtV7URVUpK6lPNsEiGNydDJO4SsTQFkpDAAMx0x5lKgJA9OXhpG1VC+ZPVC32dKANlSj7oR2Jk93u10w2MWxUz5/egmizI4yjEm5j7nBFlDXWpO+i/iCUI427sGF5XpcljIfQT8wK4xpwQkHTJuZ7yHhHpaCLSd8cb0ZBGUBizi7XHJSBHlg1jwBKXgTZhz0YwoTQhAq34c6YDY24oLGOLqdX2MiosLG4IboQSAGCFPelYyryT+tFcZeVKlKiMTZ0u7R8fVUdM+hLVkyJsw2BlWndH3ZnT54P29SgDKhmlkqR8ZGDA4jrQyv4mQHVi+dh8erChiMjXA6JtCiKvNK+JzCDGrSeA5LQ1r2K+E7j35IA+b1xk9oCI7kkXHZg+1yVon2YaC/d0I5MYJCAtGNXPalXb5W0a0/s1hyS7tHKCu0NGqsG8Vk3yLqlsVMirERg8MxYTIExQQOBtjtDTmUpcmnkhaCUim7Yx1eU04zDSQzZ6mvNQzYVAFbJILBE/J11zBgE69F0I8pMWCWX1P1c2+2orsv6SMiKlQMbogeEBWt7tS0ulqvn+xIzvIFQKzvl0qcZGNK5J/yqkp6Mj3fI9vxM6tEu1QyFl/G5YDGZAfS+J5ktkJVgpRrUGZshNOhsTzHcxUyEKoyPIsDA1jBqkZGoqJbVuYllUZdqseSohSpEl3LQrCZKp8yYSb5XhhgHz+HWI1qH1pTV1t6sFRyUXYuTcBs9k7/jrcDkOt7YThRD6s005imm4gFMr2eUnGyA1NX9joYK0H7uPKcDXaPzrTJsmBFnSFKvi+pZwTl+iwe4Vk36YGsUKomLDcYDbJ9i5MIFC9oToAgXFP5zyEsek0oyel9JSJ69By4e/fu3d3sIP7113vVFqKHhvGpp3D7zp37fFRpNqVcO6xE91fC50QfhvJ4zo0T0dYM93N8AZ3Tpbig8/wi5e+E1rNiJNJzfHR+hzSOk/A5UdsL2XZV6A+k7xmAMHZnEOircQHDa7hgvylri3wqcXE/cOOtMhf+H/F5PMlnICmeJTWSzCLJn+GU7zUmIio0hw8ezPg6gxuiHdif4AY6D2EkegBoPew1q9SDRzM+oJUEO7rGRESFhcEN0T2wb8ENERER0SMsW3Bz6D61g/bR9nsudG81YfLN4/vdFJVrmD7z7/jxvAPPf+JF+0f/oN3GT7xod3+O1l+6caoIuP62C//rJ8L3wj7m8P1fSj9Lywbxge5xn0vui4iIiIgKB4Obh8j2ey50T3wmW7IXnfQv8cH5f8L0RgN65h14Pu2gfrh/7gU63oLr1WehGTi80pcelIjbHXPNo/UFveMOAq554ZgvvIbWX/8Tpj/RWP8FB0Y7XOj+Zz9eGJI9y0Jsy2ZHH06rd1/mwOhQA9IvzZf44Py/aF8KIiIiInqoMbh52GgFEnugtOxzvPPel2IAk3L937xA2XOqteVBlRBgTL+kDEq2P14Fyp7DB7/24/QL6iBDCKg+rHoLruQ2z+LUUB+mz7jwgUbAVvSqG5OvCt+n5iw6jtb5ee0T2vCi+4xX+zU8h1adV4iIiIjo4cXghgAAx6qs2Jz4La6/Ks/eXMPH7zfg5Y7P8aHulsfx41eAd7a+BF6QAqMv8cka8PIvmnDs53P4ZLshFaykZYKU+2qdb8L0mTNwi69ff/sMRt7XOOz7ZzCtWlQq3yczN0RERESPHAY3BUEcd+Ky4kO3FzcAAOllZvJA4ZS6XKz47/FymRcff+LA8+Ly7ffmsNnx33Ea/6If3Gz78c77z+HlX8oClU9+i2lYMVp0HN9/5TOM/Ns1nBKzTdf/bRUv/3I+QymdkI25/vYZtJ93YHRoHpNvSuc4iM2Ot/DG1j8J56GbxTqO1iG97NazODXk1js4ERERET3EGNw8bN4fRHsykyEPYD7D9K+tGJ2fRxHE8Tnn/RiVxqi8P4iPXUKgsP2eC91p5WLP4tR/bUB7cvk1XJqAELR8rG7EZ5j+uZg5KXNgdN6tyJBc/8iP0qq3UASg6KUGwP3vuP7mcTwP4Pk33cLkAT/3655iacdbcL05j0l8iQ/On8H0hnSu82gFsP3eczjlcqMVXrSfGUxt+Mp/R+vn/yKunwudcUZERERE9FBicPOw0c1WPIfWX6SClaJXm3Bq4t+RAITnIbzSl8zUFP3YitKJm0gAyrKtF/4Bp9yDuPRJA05vzeGDV5owWQRsax3rl26cKhKyKZ73/l5WYnYNH78PHHM9m9onBhUZIbzgwOS8QyhR+2fAKSsf237PBU/yOM/i1NA8TqmOntgCvv9jAEXifhSqhPU/8cK99ZpG6RsRERERFSoGN4VqewubAH6c10bHcbrjOXR/5Mf3P/8Mp/5rtokLjqPV1YB2d2qszvZ7c8JMau4zyhnVtCYW+P9uAlWvaYyLkUgzuWm8lHHMzZf44Nd+3Njwo31Ce89pZXlERERE9NBjcFMwPsO0YmyLFzde6RMCjjz2UvRqE06dGcR0mQOjuXT+X3Cg55UzGHn7HzD55rP4ZO2z9OzSth/un68qJxbAl/jg15/j5V8oMyuJrc9w7CVpmUbm5hMv2n/9OUo3/gve0C0p0874SK6/fSa90o6IiIiIHnoMbh42ijE38gzEc2gt/vfUGJQyB0Z1B9VnIsx+tln89xkyKkrP/8SB0p8PYvo5BzY3nkPrL1THLWrAG694ZRMLpCYHcCkO8iX+1+cAXtI4yCdetLv94nk5UIRrmD5zBiN5j5u5ho/ffw7f/0nOGxARERHRQ+LA3bt37+5mB/Gvv96rttCOibOl7fqBnvfBJ160uz+XPSdHVXqmmMJZ9pru1M6yh4pqrSMFRTKlmtNQ58f41FO4fefOrvZBRERERPk5fPBgxtcZ3BSEhyi4KRAMboiIiIjuv2zBzXfuUzuIiIiIiIjuKQY3BeE4WueZtSEqKPEFdJ5dQEK+LDiCcvWyDBI+Jzp9ua4dwph5BOFsqwVHUD4aUhxjLJjjIYiIiO4xBjdE910CvrNmlJud8MVVr6g7o/EFdJrNKDebs3dq4wvoVHdOgyOaxxE6smaUa3Rmw6NmobMaHBGOm/Yl7i+HjnbC59TeNnn81FfqvIXrk+ww6x4nfR9Spzv9uNJ5amwjP77msVTbqF4Pj6YfPzxqziOoEMUX0Kn5XslYejBT5kKf1r7l94r4Vdu7gtXeKuW5JtuvvhZNmMIEWtKuzQgW5OfYPAF4mxTHmGreo2tARES0S5wtjWifWG1Af98CbOONwoNW04Qw1gcMRiIwIAHf2Sr0+Wpwwa61dgK+vkXULXtQIVsavjIBq60a/dMh2LsrVdtUw2qbQMtoA9bTXgNg6cF6pEfYz6gZnpI15bG3cjxRx5z2/lGNgWUP7EbxXM1VGDsWQZclx/2m7UP/uAmfE7VnF7A03oiuSARdgBDIeEqwJL/+6gxEcATlzRNom41g3ZJa1ulL4ILdgPCoGS2Yw3pEOs4IfPFK2LvXUHf2PHwndNqWJoSxmiicEeX7JwmPmtHilS+pQnmv8F3bbAT1V0aA1pLUOQdH0Lnp0LlXrKJ/aQAAFYtJREFUZGxuLA0CfX3AoO59CAA9aOwGEsEQAD9qrzQoru3kMU/a+1aR9zUgIiLaPQY3RPvE5BxCNSdTwFKJrnEpKDDAdroa/dGbgFYXNOhFf9k5rCs6kSEsejvgXC4BavwId1emdZzrBudgqmnC2Ml8g4q9Von24Wr0bSaAe9AOg/0c2nr92ILm1dMRwpgY2CiujaUHFywAkEB0oxoDg6nAzWDvgV34DnanCeWaQWW6hO8iYsNDyfdHHszUmqOYiUSw3p15H53TUQBRjJmbMAUAmEB5L9Dm6MCUV/Y0W8ccZnAR0dZzws/GRlwYFErg6spc6FcEUbLgMb6AvmYhgJbakgx6Nd+z/K4BERHRXmBZGtG+McA+6AZ6z2cuRQIAJBC4tIK2k9qdxMRmDNaSo8plvouYcjSgwliDOtsEPJolQpXomu3AVHMOYy3usa3oyr3befwGYvluE/RjyuZGu26wZUBJ2Qr6p0PaLxeXwLpxI4fxMQkELpnglAW4Fd0RrC+7YbW5sRTpQUWylFGrjA9CwNVaAqABXZEI1mc7YB1ew3okgq7uHmFfjjmsRyJY765ERWs9Lk+LU6QHR9B5tQYXxhth755Dm82NpUgE65E1DNhSbfT1CZkl+5ZYuhccQYsXqrI3VVmdpQFtXv++31tERPToYHBDtJ+MjXA6VtDfpzN2JTnupQoxp352ZSu6AtMxeU5CHgwJWZ/VS8vax7A4MGCbQMuoTid9t2TjM7TG+AAA4gvweKtRdyL3vIpgBf01Oh1+mfC0C6uOBs2Sr92o6J5Dm3h+aYPqjaUwBaLZq/fiy7iMEhRrvRZwoTYZMHQIGRwxeFHuYwGdNS6s4oYQBDVPCEHH2QWEfU6U17iwKm+nsREXuhsUuxDGKTVhKuBCrdmMTt/N1ItBL/oD4ngcTwmWxksx2RzDwLLYnmQwZEKJInt4FCYbiIiI7hsGN0T7rKJ7Dm0BnUHilp5k57H+ilkxS1WKUB5lkveO48u4HEgtM5yohzWwiIBmhkjIIFm9TbuY9Uo5OF2xHyljEIlgPdIjCzBkgUmNUO6U/9iMakUHW1HeJwuqWqA37me3KoVMybIbsWZ18HYUJlsM0axZOTUxS1PjwqrNjaVI9usSno7CmQx4pCBoDm0AAFPqGiXXCcnK1wQGuwdLw9XCOJxIBBfsskygpSeVSRpvhCEI1EeGgL5cJg3YyTUgIiLaGQY3RPtOKA1b7T2Pyaj+WhWtblg1S3yE8qiYLEUQnnZhVRE8iD/rlVAZGzE4XI2p5hEs7vQcIqkgI7fxO/LA5B4MOpcHVTsJbCwNaNMNCFWMjbgQiWDGIS//u4lYQJ3JyIUB9nGxLC257CZiAf0tKrp7ULwZg7WkVGeNBHyjqexgeNSP+mU3rGWlsskURlDbuyJki7SmoK5xYVXM6pRfASrEdjqjVWKAo9fGnVwDIiKinWFwQ/QgsPRgxrGCKa9s3Ik4K5ckW2lVbFNaN4RFL5JjLtblpUwZxj8Y7EMYsE1gyquzwiOnEu3DQH+NahxJ8n3J8lyYXMf55FK+Fr+BmE2rdC3Vhq3oCky4gctS+ZhYYua5BAA3EdtIbVXR3YPiq4uANE4r6kWnpwRLEXHMjTOK2tHl1AayDKI6WKzojmSYle0mYnold0RERPcAgxuiB0RFq/yTegCWHjijqcHaLRtuLOlkICpOdmA1Ko6RCPoxhQ7FAHVhf8LYGu2JBQBhdqsOndd2QTHmRmNsSi6kjEHa2BrlmJt8HnCZC4Pdg/VZk/IYVxrEznwlupZL4JG1qwVzqY7+VjTHcT6VqHdMYFH3uiTg63PB5NSZqtlWguL4AjzeDtTbG3FhtkOYEc0hTBN9YbwHtqsXMRVwYRI9YlYthMlepMY4lThwQT4VtKUH6901yuMonnukEdRpBWBBP6bk2SEiIqJ77MDdu3fv7mYH8a+/3qu2ED00jE89hdt37ux3M2QS8J09DwzymSIPhnzfjxDGzt5AuxhgSFNBW4fX4IxWpT9jKDmBgLDOhWNe4bk2x7woTz6DRng2Un8AyeffJJ/Lc9Kfeg6OxjNxklNRS2Ns4gvo1HoWjqwdkNqS3A/vSSIi2nuHDx7M+DqDG6IdePCCG4gdzSicikH7tB80H3qaTXAE5c3ATIG8fzu6BkRERFkwuCG6Bx7I4IaIiIiowGULbjjmhoiIiIiICgKDGyIiIiIiKggMboiIiIiIqCAwuCEiIiIiooLA4IaIiIiIiAoCgxsiIiIiIioIDG6IiIiIiKggMLghIiIiIqKCwOCGiIiIiIgKAoMbIiIiIiIqCAxuiIiIiIioIDC4ISIiIiKigsDghoiIiIiICgKDGyIiIro3giMoHw0pFiV8zrRl8tc6fYnUgvgCOs1m5bJs2wAIj5pRbk59jQX1tg5hzOyEL57hHMQ2lJtHEM6wmva+89kmh7aI1OccHs1tO6JHAYMbovsuAd9ZM8o1/olp/ZNO+Jypf9JnF6B6VdiXTkdBLTyq7iToby8dN61TEV9A59kFJJLnofE1GkJO/6iDI2nbpndiQhjT3L/q2qR1PvS30zt2qgOk3FbZMcr0Wuo6p79XsmOmXe9UJyj9nNTnlv34CmLHLH29XO9DjeuodW4a56nXIRU6nupOX/r9pHluyY6m1nu+w/ZC+/cs+3shnavWfZ7eDvn5KDv4er8r6cv1/h6kt1XaTuP3VH09FNdUuV3W+0stOJI1CDDYhzCw0ZRl3+L1q1lE3fIa6i5Vqc4tdV61vStY7a1SnF8U1RhYjmA9soYBWzVMxVrnaka5uQlTWEF/TfrfimSAVLOIuuUI1iM9qNC6v3T/zlWifTiGFr2/z2l/g3TaYh5BWPU+qs+5xavcTvjd2+F7SPSQO7TfDSB6VFltQH/fAmzjjTDorJPwOVEbPYf1iEd7hfgyLqMaVu9F+Fo9sBszHDA4ghbMYd0uO1q27W3VQO95+E5o7dsA+3gEdkDoMNRE4Yz0oCL5em4BF2xuLMmugRAYKJcB1RhY1jk/xxzWuysBiNfr7IJsW/l2IYyZmzB2MoIui/axpXaPmZuA2QjWLQCQgG90AQlLIwwZX0ttv+ithtXmwmSwMXWs5PlWw+pVtUPGYPdg3S7u+2wVYk75erkcXylxdRGwVWPKs4B2jXstl/sw7fqLHXrd90Q8T/R6EbbL7wkA8QV4NqphVS3rrHEBw2tYH5daIXQiO4fXcEG8ZxM+J2p7gYHlCC5kbEt+7U34nKi9VI+liEe4BsERjAWBrozvhSB8ZQJWWzX6p0Owi/eh5nWLL6CzxglfpmuWhW47pTbJfhfU2maltgvn0uerEa5rfAGdYuf9gvR7MhoCuithH58Tgu6I6j3UE19Ap6cESxGte0k4bn9AtihgxhQA4ToNAX3S61Uoj3agDR2YifSgAgn4ktcyAd/Z80j+/YkvoHO6FBdU5x0eXUQUEP7GlZ3DBWMIY+aLMM3WZ7xOShGsdwtZkah8seLvhtQeCPdZ84TGflZQ7pX/LJ0XcmhLAr6zXsj/3oaDIRRvXkQfhpK/G+FRJ6Iaf8Pzfg+JCgAzN0T7xOQcwgBc6NMttwhhsteEmQz/+BJXF4HTQ3A6VnD5aqbPphPweWIYaFXuK+v2ZecwOCx0frN98r1XKrojmCnLdF30Gezn0BaIYkvz1UrUO4DYZpb9xm8gZnOjPdmJNcDeLXZkMr0mCfox5TiHwdPVmLqiFeDVY3C2A1PN+Za45Hh8hQQCl4C6wXNoCywioPHpcvb7UIOlB+uzpiz3RT3qHBPwqDORVxeB0/UwyZaFp4XA5oI88EYlupbdQnAdB4TfB6QHKJYeLGW7R7O0dyu6gjan7DpaejQDz3QhLHo74Bysh9Xrz/x+GksV57wTO2+nnAG209VYjd6UdopVxznZNa1EV/JvjpB5UL+HesLTLpic8k6/Wejse5tQfnYZtvEI1iNaXx7YjULnfWm4GtbhNax3N+RwxAR8fS6sept0syjh6Sic3ZXCec2a0O9ZFJaPqrMjuWRisrMOr6XOa3kNS2nnuoYBm7iypSeHIMsA+7gsMAmOoKXZjy27R/x9Ea7z4km9oDm/95CoEDC4Ido3BtgH5Z03laAfU44SRGWlCOryqMleoO6EARUnO7Da683QubqJWMCEEsU/v9y2N9h30PndpYqTHVi9tJx/QBW/gZjuawvweKtRd0I/FAAgdEIDLkxqlXJkeg2AEEROoO1kJQwn6oWMmNZ7a+nBjGNCv1xlJ23TEvSiH/WwGStR71hB/7TW8bLch3osDboBk8SW9j4KAbvTXipbS8h0ab4vxhrU2VYQ24Lw+2Crh02jA2c4UQ+rblCbvb3FJUJmK9/7LeG7iClHAyqMNaizpQdyChnan6udtlMphMneFbSdrJR2qn+fAjAcM6UCoSz7XdxQBd7jEazPdgjZiXEp85nrWJjsEr7z6A8IWam0wEFqkzeGqHRulh6sD9YDED5ESQUcc2izuWWBiAd2Y6qt8pKvjO219MgC9BDGaqo0/m6mgpXMAZbWdQphzFOCpUgPisWyRukaTDXrl2oaTtQDO/l7SvSQYnBDtJ+MjXA6VjQ/UU5sxgDvIjAo/sNVf9ov7yxZGtCGCSzq/eON30DMVoJi+bKctzfA7uzAar6d390oLlF1VrXqydOFp11YdTTIyi9k2/UBgxHVp5sBF2rTPq2tRNdsh9hZUGdXMr0GoQQm0IF6C5Idc72MWkWrWyhPy6tzl+X4KuErE7CeroEBQsAIvexChvtQ31GYpMBDj8WBAaSCsWQwkPMxDCgpyyHbZiyFCbJObJ7tlQL42gz3VroEApekIEHMhqR1IGX3X/OEMuuyA1nbqchgKO+PVOfXj/qIrLzO2ChkZ2t0xiYVl8C6cSP7fRH0Y6qsVPv8vE2p9siCiKXhas1drfZWoXzUn+WAIUxeqsfMcLXs3FRlb6hEV2QI6BN/t8Xyx9Vs55LcNoL1ZTesyfE72qWkUnuUgVsTpqRz0QpYRkOqACv1d16R/YmkjpvwXcSU+DerNnoO66030NdrwkxEHaip/tbvQdaQ6GHC4IZon1V0z6EtoJMZkZeLWBwYsKUCkPCVCSDZmRBKrrTLoCCUnqg6Hnltb+nBTN6dX6XMEyNotFfxDzrVuViPRJTlS7IOXQvU9evSdjrXOO3T2tT5Cp2vGFrEjoj8Wui9lri6KGu3XodXZGzE4HB1/uVpmdqmEMKiFzAdE69VlgA4432o6SZiAdlAbU3CNRCyDWJZWWsuYx0kCUQ3ZOegJ34DMagzk/m0V8wyROZg6q3KrSwpvozLsv0J2SN1Zkh+367B5MkneNpBOx1zsk6ucoyFkN1Yw4AtPWNosHuwHhHKQdMCJ2MpTNmyYprEzn7zhNiubGM+hPVre1dyLEurRNd4I4qRKXMDCB/OmHD56mfwTQODsx3i8gR8Z2W/e/IPOpJ/nxLw9UVhcghBauYPIsRgKCLLVqWVo8nuB9nfqVxnOjPYPal9d1cisVWKwUgDFnPJgO3oPSR6ODG4Idp3wqfxq73nMSkbtWo4luGztvgCPF4oO/ZeAHrlJepPX/PdHrLO73RUe4UspA7UeiQilqjok2ccspJ3InTr16VrnKl0T6/Nc2jTuC7prwnlPvJOUq34s14ZmcE+JHY2s31KnV/bAPFTXsg/sRc+SdYva9K+D3XlWGYljINaRMCnt75QMqeZ4ZIHEBnKypRB5W7aK3RQl4ahU8KXEp52YVWemakRf9bdTjXWZVdyb6e6DfZBt24ZWkW3kKmA/PdEK+ubRxvXk8EEMpeNJs9Jnc0JYeysN8N2yJC5kfs/YO9uBDZjsJYcTX9Z/kGH+Pcp4TuPmLMH9ajGwPIaTJ5cgt4FdDZPpGVJE77zuHx6SGNcTAiLXmVgnpbtkc8OKY1hMpvRt3kUBlSiSwycx4LQv8Y7eg+JHk4MbogeBGJmZMq7IlvWgDZ52VLQi36x5ClxdRGr6FCVI6xhIEMZlPyTux1tL3V+vRM5lnXsTHjUjJYNNwbtuyng0ZDrOBeN53Lk9pofU6oM03okgplMGbFkZ3NCnDUqi0zHVxBKptI+PV52a2QXZLTuQ712NMcwMJhLmVUl2oeB/l79sqyKVjfQW6XKaoQwVuMChqUOobifGlUHMzgizKCWqS0Z25uA72y+A8iFrFha+dBshtI/8T3R7FjnZCft1CCVofWlprvOmE3aiub2+55L+ZpGBhmAbHp5tQm0mP2oH3fABCA27RQCGCiDVL3MjbC+GeXNgFMcfB+4tJI9EwgI60brVWOIcpjpztiIC5EI1sWMihSgyGc2UxzFdxFTqpLKtPtK/NBG8QGRIoMtZPR0S+biNxDTKxkkKkAMbogeEBWtbuX0uOJsUTHpU8nmGAaWhWlRA5dWYB12qMo8pLExGtkJYw3qbNI/0B1sL7E4NMo+dkkx7sUMT8maRmZH9eyHHJ5boiVtnIvq2J2+hDD7VslFRe08ZsVOTYbXwlcmlGWEimPqZ8SE8S45nkCmtsmJGY+0EjBpbE2GT/vT70Mg7fp7SrCkHr+UgeFEPawQxyJpMTbiQrLUSn5uyhJEoSzHpGxLMzCT1pZ82muAffwcYrL1ay/VYynTLFZBP6bQIXaYZcTS0dTEAvJ2VOHyafWMcBnanHaP59BOxZgb/VIlIZsmlCAa7B44o7LrXrOIuuVUCVliM5ZbFtVYgzpkmmAihLHm9Bkbk9Sd7/gNxFTlbKZWT06ZX0lyfWkf8jFxWWWYiVDxdyNTtihFyMaoSlDjC8KYmeV6XM5a9ibIWt6rEUAmri4COw6qiR4+B+7evXt3NzuIf/31XrWF6KFhfOop3L5zZ7+bkZ/gCMqvNOT4fAciohDGzH7U5/Ocm+QzZ1LPtWmbXYPJo/GcINlzYaR1pNnPlFkI8Vkyg+kBasLnxOQxD7og7kt8Bs2WxnNfEj6nkEE55tV5Hk2KVTY1ufIZMiGMnb0he2aUrG1b8ufcyJ5lo7ieTZhyzGG9+6jqnDSeA6RuzzGv9t9w1fN1lNcvz/eQ6CFw+ODBjK8zuCHagYcyuIFQ8uUpyfTpMRERkOnBpRm3kh40mmN2he6lnb2HRA86BjdE98DDGtwQERERPcyyBTccc0NERERERAWBwQ0RERERERUEBjdERERERFQQGNwQEREREVFB2FVws8u5CIiIiIiIiPbM7jI3Bw7g8GOP7VFTiIiIiIiIdm5Xwc0BAE8+9hgOfYfVbUREREREtL92HZX83aFD+N7hwzjMIIeIiIiIiPbRrh/iSURERERE9CBgqoWIiIiIiAoCgxsiIiIiIioIDG6IiIiIiKggMLghIiIiIqKCwOCGiIiIiIgKwv8PhCfeWvvXC90AAAAASUVORK5CYII=">
截图来源:药融云全球药物研发数据库
但布瑞诺龙远非完美,其给药方式是连续静脉输注60小时以上。在布瑞诺龙输注的两天半时间里,必须有医护人员在现场持续监测患者。此外,每一个疗程,单是药物的费用便达3.4万美元。如果病人没有医疗保险,这个药物费用对于很多家庭来说是难以承担的。
Sage Therapeutics以布瑞诺龙为起点,开发了另一种口服四氢孕酮类似物SAGE-217(zuranolone,译名舒拉诺龙)。从口服生物利用度极低的布瑞诺龙转化为口服的舒拉诺龙的过程,为我们在药物设计上提供了宝贵的经验。在临床试验中,舒拉诺龙对男女抑郁症患者都有效。渤健于2020年11月以高达15.25亿美元的价格购买了舒拉诺龙的权利。

Zulresso®的成功获批主要基于两项双盲、随机、安慰剂对照III期临床试验,研究1针对重度产后抑郁症(PPD)患者(NCT02942004),研究2针对中度PPD患者(NCT02942017)。在这两项研究中,患者接受60小时Zulresso®或者安慰剂持续静脉注射后者,然后进行4周随访。两项研究中分别设立90mcg/kg剂量组和安慰剂组,而在研究1中增设60mcg/kg剂量组。以60小时汉密尔顿抑郁量表(HAMD)评分相对基线的变化作为主要治疗终点,结果显示,两项研究中90mcg/kg剂量组效果均优于安慰剂组,研究1中60mcg/kg剂量组效果也优于安慰剂组。与安慰剂相比,Zulresso®起效快,能够有效缓解中度和重度PPD患者症状。
Zulresso®带有黑框警告:过度镇静和意识丧失,患者只能在医护人员密切监测下参与Zulresso®治疗。最常见的不良反应为口干、嗜睡、面红。
据Sage Therapeutics官网介绍,每瓶Zulresso®零售价格7450美元,每个疗程(2.5天)相当于34000美元,折合人民币23万多。其作用机制:γ-氨基丁酸A受体正变构调节剂。
然而市场反应并不如预期,2020年Zulresso®销售额只有670万美金,2021年下滑至630万美金。这一数字,只达到分析师预期数的24%。
财务表现

01.2021年财报
2022年2月24日,Sage Therapeutics发布2021年财报,公告显示公司2021财年营业收入为630.80万美元,同比下跌99.43%。归属于母公司普通股股东净利润为-4.58亿美元,同比下降175.55%;

02.2022财年季度报&中报
2022年5月3日Sage Therapeutics公布2022年一季报,报告显示一季度营业收入为150.1万美元;归属于母公司普通股股东净利润为-1.26亿美元。
2022年8月2日Sage Therapeutics公布2022财年中报,公告显示公司营业收入为308.20万美元,同比下跌4.46%;归属于母公司普通股股东净利润为-2.48亿美元,同比下降22.32%;

03.财务预计
Sage Therapeutics预计:到2022年底,公司现金、现金等价物和有价证券合计约为13亿美元;2022年公司不会收到来自协作的任何里程碑式付款;随着对SAGE-718和SAGE-324的计划和正在进行的研究的推进,以及为可能会推出的zuranolone做准备,研发和SG&A支出将会增加。
产品管线

▲Sage Therapeutics的在研产品线(截至2022年6月30日)
参考来源:
NMPA/CDE;
药融云数据,
FDA/EMA/PMDA;
https://www.sagerx.com
Sage Therapeutics公开披露;
https://www.sec.gov/Archives/edgar/data/1597553/000156459022027331/sage-10q_20220630.htm
https://www.sec.gov/Archives/edgar/data/1597553/000156459022006495/sage-10k_20211231.htm
Walton, N.; Maguire, J. Allopregnanolone-based treatments forpostpartum depression: Why/how do they work? Neurobiology of Stress2019, 11, 100198.
SamanthaMeltzer-Brody, etc. Brexanolone injection in post-partum depression:two multicentre, double-blind, randomised, placebo-controlled, phase3 trials [J]. Lancet, 2018,http://dx.doi.org/10.1016/S0140-6736(18)31551-4.
想要解锁更多药企信息吗?查询药融云数据库(vip.pharnexcloud.com/?zmt-mhwz)掌握药企公司基本信息;投融资情况;最新动态;产品管线布局、药物基本信息、研进展、临床试验信息、市场规模与前景等数据!注册立享15天免费试用!

<END>







川公网安备51019002008863号
本网站未发布麻醉药品、精神药品、医疗用毒性药品、放射性药品、戒毒药品和医疗机构制剂的产品信息
收藏
登录后参与评论
暂无评论