
8月4日,勃林格殷格翰通过官方微信号发布声明,称收到国家知识产权局的行政裁决,认定广东东阳光药业有限公司及其关联方宜昌东阳光长江药业股份有限公司侵犯其降糖药利格列汀片的专利。
利格列汀各国上市时间轴(部分)
截图来源:药融云全球药物研发数据库
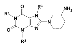
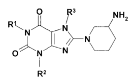
利格列汀是一种二肽基肽酶-4(DPP-4)抑制剂,由勃林格殷格翰研发,于2011年6月在美国上市,2013年时获批在中国上市。据药融云统计,利格列汀片自上市来院内销售额一路增长,2021年达到7.64亿元,同比增长103.62%,成为目前国内最畅销的降糖药之一。现2022年第一季度已有2.39亿元的销售额,预计全年有望突破十亿元大关。
利格列汀片院内销售情况

截图来源:药融云全国医院销售数据库
2020年7月,东阳光药业拿下利格列汀片的首仿,随后扬子江、石药欧意、科伦药业、华海药业先后获批,原研厂家面临巨大的市场压力。
利格列汀片一致性评价过评情况
截图来源:药融云一致性评价数据库
依照国家知识产权局的判定,东阳光药业侵犯了勃林格殷格翰保护利格列汀化合物的一项专利。目前,东阳光已被责令停止生产和销售利格列汀仿制药。
在明确侵权的情况下,东阳光药业的仿制药可能面临退市风险。不过,按照相关法律规定,东阳光药业也可在一定期限内对本次裁决提起行政诉讼,但诉讼期间仍需照常执行裁决。
那么造成东阳光药业可能侵权的专利是怎样的呢,让我们一起来梳理一下原研勃林格殷格翰利格列汀片在国内的专利布局。

从上述图可以看出,原研勃林格殷格翰公司分别按照时间及技术维度对利格列汀片专利进行了精心布局。
- 化合物专利
原研公司最早于2002.02.21申请了CN101293888B专利,采用马库什权利要求保护了较大范围的通式化合物,具体保护的化合物通式见图1。在研发的早期,候选化合物还未最终确定,通过对系列化合物的保护既可以迷惑竞争对手,还可以充分保护潜在目标化合物。随着研发的深入,2003.08.18原研公司进一步申请了CN100522962C专利,将保护的通式化合物做了进一步限定,缩小了保护范围,具体保护的化合物通式见图2。这种递进式专利布局体现了原研厂家充分运用专利审查的规则,即上位概念的公开不破坏下位概念的新颖性。这种专利布局策略既充分保护了核心技术,又将专利保护期限得以充分延长。

图1:化合物通式

图2:化合物通式
- 用途专利
化合物的活性和用途往往是专利创造性的体现,因此化合物用途专利通常是和化合物专利同时申请保护。可以看到利格列汀用途专利和化合物专利基本是相伴一起进行布局。
- 制剂组合专利
制剂专利是核心专利的进一步延伸。在研发的早期制剂专利的创造性一般是由化合物的创造性体现,所以制剂组合物专利和化合物专利会同时申请保护。随着研发的深入,需要解决化合物成药问题,会进一步申请制剂专利,这时的创造性是由制剂技术来体现。利格列汀既是如此。原研公司最早于2002.02.21申请的 CN101293888B专利中即保护了制剂组合物专利。2003.08.18申请的CN102964347B专利进一步保护了制剂的剂型专利。这些专利的创造性主要由有利格列汀化合物创造性带来。随着研究的深入,发现具有伯胺基结构的利格列汀与还原糖及其他具有反应性羰基及羧酸官能基的辅料反应,例如微晶纤维素、羟基乙酸淀粉钠、交联羧甲基纤维素钠、酒石酸、柠檬酸、葡萄糖、果糖、蔗糖、乳糖、麦芽糊精的许多常用赋形剂不相容。为了克服成药过程降解问题,通过制剂技术实现药物的稳定储存。于2007.04.30又申请了CN101437493B专利,进一步延长了产品的保护期限。

图3.利格列汀化合物结构
- 联合用药、制备方法等外围专利
除了上述保护主题外,原研还同时申请保护了联合用药、制备方法等外围专利。通过这些外围专利形成立体、交叉的保护布局,在对仿制药造成层层阻击的同时,还充分延长了原研产品专利的保护期限。
通过上述对原研专利布局的分析可以看出,仿制药厂家最容易突破也最值得突破的是原研CN101437493B专利,其专利到期日为2027.04.30,主要保护了制剂处方和制备方法。因已批准的几家仿制药企业申报时间较早,当时申报时尚未施行专利链接制度,所以无从得知几家仿制药的研发策略。
参考来源:
中国上市药品专利信息登记平台
国家药品监督管理局药品审评中心化学药品目录集
国家知识产权局专利数据库
《凝血因子Ⅹa 抑制剂阿哌沙班的专利布局及专利技术特点和启示》
《东阳光“明星降糖药”被判侵权
药融云数据库
想要解锁更多药物信息吗?查询药融云数据库(https://www.pharnexcloud.com/?zmt-mhwz)掌握药物基本信息、申报情况、审批情况、最新进展、市场竞争格局、销售情况、市场规模与前景,可否投入仿制与研发!注册立享15天免费试用和虎年首份医药数据大礼包!

<END>







川公网安备51019002008863号
本网站未发布麻醉药品、精神药品、医疗用毒性药品、放射性药品、戒毒药品和医疗机构制剂的产品信息
收藏
登录后参与评论
暂无评论