
多肽类药物分子大小介于小分子化药和大分子蛋白质之间,因而具有小分子化药及大分子蛋白质无法比拟的优点,比如比小分子化药拥有更高的活性和选择性,比大分子蛋白质拥有更低的免疫原性及生产可及性。凭借这些独特的药理作用优势,加之日趋成熟的多肽合成技术,多肽类药物已成为药物研发的热点,具有广阔的开发前景。
与化药小分子一样,多肽类药物中的杂质(有关物质)也是影响药物安全性的重要因素,如何对这些杂质进行表征和控制是多肽类药物开发的重要工作之一。在众多杂质表征工具中,LC-MS是公认的分子量解析的最有效手段,在多肽类药物的杂质研究中有着明显的优势。
然而,基于多肽类药物的特殊性质,为获得理想的分离效果,在多肽有关物质检测中使用的添加剂大多与MS不兼容,其中使用最多的添加剂是三氟乙酸,因为它是一种强疏水性酸同时也是一种非常有效的离子配对剂,可以最大限度地减少色谱的二次相互作用,获得出色的峰型及分离,而三氟乙酸有明显的离子抑制作用,与质谱不兼容,这就为多肽的杂质研究增加了难度,那么多肽类药物的杂质研究药怎样进行呢,有哪些解决困难的手段呢?
1. 直接替换法
最直接的最简单的方法是以质谱兼容的酸或盐替代三氟乙酸,可替换的酸(盐)包括甲酸(甲酸铵)、乙酸(乙酸铵)、二氟乙酸、三氟丙酸等。
(1)甲酸、乙酸及其可挥发性缓冲盐
最常见的是以甲酸替代三氟乙酸。
例如在某重组GLP-1类似物的杂质谱研究中,因三氟乙酸对仪器有损伤故而选择甲酸替代三氟乙酸,结果获得了较好的质谱响应(见图1),结合MALDI高分辨质谱以及氨基酸全序列测序的结果,对杂质进行了解析,确证了可能的氨基酸序列(图2)。

图1 主要杂质质谱图(图片来源于文献1)

图2 主要杂质氨基酸序列(图片来源于文献1)
除了酸也可以采用相应的可挥发性盐。
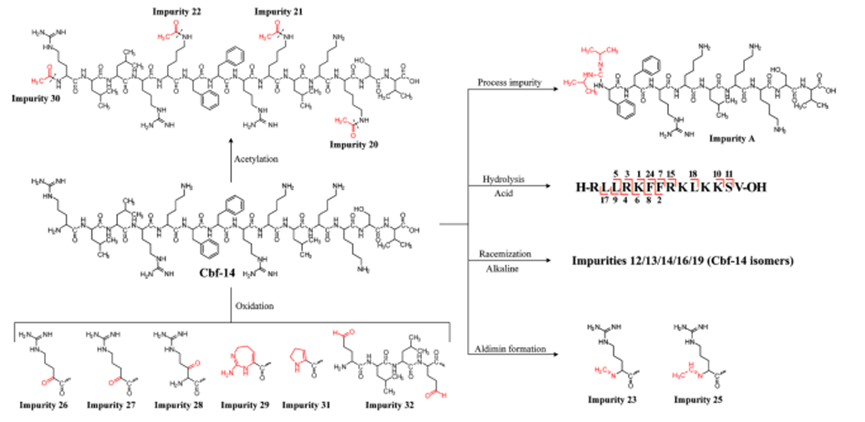
例如:在抗菌肽(cbf-14)的降解机理研究中,以甲酸铵缓冲液(pH3.0)为流动相,测定了降解杂质的分子量信息,根据分子量初步推测出其结构(见图3),并阐明了这些杂质的来源和形成机制,为后续Cbf-14和其他多肽产品质量研究提供参考。

图3 Cbf-14杂质结构式推测(图片来源于文献2)
(2)二氟乙酸
以甲酸、乙酸及其相应的可挥发性盐替换三氟乙酸是最常见的行之有效的作法,但是在实际应用过程中会发现很多多肽在甲酸或甲酸铵等流动相中峰型较差,分离度严重受损,并且那些对pH较为敏感的组分保留时间及出峰顺序可能会发生难以预测的变化,影响杂质指认。这时可以考虑以二氟乙酸替换三氟乙酸(见图4)。

二氟乙酸的酸强度较甲酸强,可以最大限度的确保出峰顺序不发生变化,同时又可以获得较好的色谱峰型和分离度,此外由于其疏水性较低,有利于影响电喷雾液滴的表面张力对质谱信号没有明显的抑制作用,可以在尽量确保峰容量的情况下获得较强的质谱响应。有学者采用8种不同的多肽组分,分别以0.1%甲酸、0.1%二氟乙酸及0.1%三氟乙酸为流动相,对比其质谱响应,证实了二氟乙酸的质谱响应较三氟乙酸有明显提升(见图5)。

图5 甲酸、二氟乙酸、三氟乙酸质谱响应对比图(图片来源于文献4)
遗憾的是,目前这种试剂普遍还没有色谱级或质谱级规格产品,购买的产品中通常有较高浓度的钠和钾,可能会破坏质谱的可解释性,使用时需仔细评估其纯度,必要时可蒸馏处理后使用。
2. 二维色谱
除了上述直接替换的方法,还可以尝试二维色谱法。二维色谱既可以原汁原味的保留多肽类药物的有关物质液相条件,同时又避免了质谱兼容性差的问题。
二维色谱最初是用于解决多组分样品在一维色谱难分离的问题的,近些年也逐渐被用于解决质谱难兼容的杂质研究问题,多肽类药物的杂质研究就是其中之一。通常第一维色谱采用有关物质色谱条件,然后选择待研究杂质组分将其切入二维色谱中,二维色谱是与质谱兼容的色谱条件,二维色谱通常采用简单的通用大梯度或者等度,通过二维色谱将待测组分送入质谱检测器,测定其分子量。
例如某多肽类原研制剂CBTC,依据其进口注册标准,有关物质方法的流动相为磷酸盐缓冲液,由于磷酸盐是难挥发性盐,因此与质谱难兼容,在其杂质研究中研发人员运用二维液相色谱技术进实现一级分离组分的快速脱盐处理,然后进行质谱分析,最终对标准中提到的杂质进行了定性分析,并推测出其结构,结果见下表(见表1)。
表1 CBTC 杂质列表

3. 半制备
如果既无法找到适宜的替代添加剂也不具备二维色谱,还可以尝试一种稍复杂的方法,就是从液相中接出待测组分,然后将其富集,再通过LC-MS测定其分子量。这种方式适合测定含量相对较高且与相邻杂质基线分离的杂质。在某项目中,我们需要测定某多肽酸降解杂质的分子量,有关物质方法中使用的添加剂是三氟乙酸,当时采用甲酸替换三氟乙酸导致分辨率极度下降且杂质出峰顺序似乎发生了变化,无法辨别哪个杂质是酸降解杂质,当时也没有二维色谱,于是先采用分析液相高浓度进样,然后接收酸降解杂质的馏分,大体积注入质谱仪中,最终获得了该杂质的分子量。
小结
多肽类药物的杂质研究是其质量控制的重要组成,当所开发的有关物质检测方法与质谱难兼容时我们不妨试试上述几种方法,不管是哪一种多肽,相信总有一种办法适合你。
参考文献:
[1] 梁涛,GLP-1类似物杂质研究(研究论文)
[2] Yitong Huo,Characterization of structurally related peptide impurities using HPLC‑QTOF‑MS/MS: application to Cbf‑14, a novel antimicrobial peptide,Analytical and Bioanalytical Chemistry (2022) 414:6485–6495.
[3] Jennifer M. Nguyen,High sensitivity LC-MS profiling of antibody-drug conjugates with difluoroacetic acid ion pairing,Taylor &Francis ,2019, VOL. 11, NO. 8, 1358–1366.
[4] Jennifer Nguyen,Improving LC-MS Separations of Peptide with Difluoroacetic Acid Ion Pairing, Waters Corporation ,Milford MA USA.
[5] 王书珊,⼆维液相⾊谱-质谱联⽤技术在多肽类药物有关物质研究中的应⽤(研究论文)
相关扩展阅读:多肽类药物:药物研发热点之一!从多肽百年发展史看其未来发展
<END>
想要解锁更多药物研发信息吗?查询药融云数据库(vip.pharnexcloud.com/?zmt-mhwz)掌握药物基本信息、市场竞争格局、销售情况与各维度分析、药企研发进展、临床试验情况、申报审批情况、各国上市情况、最新市场动态、市场规模与前景等,以及帮助企业抉择可否投入时提供数据参考!注册立享15天免费试用!








川公网安备51019002008863号
本网站未发布麻醉药品、精神药品、医疗用毒性药品、放射性药品、戒毒药品和医疗机构制剂的产品信息
收藏
登录后参与评论
暂无评论