
紫外分光光度法可用于药品鉴别,杂质检查和含量测定。近年来,紫外分光光度法在药品标准中应用呈下降趋势,但因其趋于成熟,仍占有相当重要的地位。
一、物质的紫外光谱是如何产生的
分子由原子组成,原子中的电子分布在不同的能级上,如2s,2p等。按照分子轨道理论,当原子结合成分子时,原电子能级会发生变化,形成新的分子轨道。如s轨道为球形,沿球心方向取得最大重叠,形成σ2s和σ2s*两个轨道,其中σ2s为成键轨道,能量较低,σ2s*为反键轨道,能量较高。p轨道有三个,为哑铃型,在空间中分布于x,y,z轴,在x轴方向px取得最大重叠,形成σ2p和σ2p*轨道,py和pz不能取得最大重叠,在波函数符号相同的部分形成两个π2p轨道,波函数符号不同的部分形成两个π2p*轨道,π2p轨道为成键轨道,π2p*轨道为反键轨道。电子优先排布在成键轨道。
当分子受到紫外线的照射时,电子从成键轨道跃迁到反键轨道,并吸收能量,从而产生吸收光谱。在吸收光谱中,通常使用的是分子的π电子跃迁。π电子受到紫外线的照射时,它可以吸收光子能量并跃迁到反键轨道π*中,形成紫外吸收。

电子跃迁时,会引起分子振动能级和转动能级的改变,因此一类电子的跃迁常常包含多个吸收谱线,过于精细的吸收谱线无法被观察到,表现为连续的谱带。分子中可以发生π-π*跃迁电子能级不同,因此一种化合物常常有几个吸收谱带,这些吸收谱带合并在一起,就形成了分子的紫外吸收光谱。
二、影响紫外-可见吸收光谱的因素
2.1溶剂会对紫外-可见吸收光谱产生影响。
一些溶剂的吸收带就在紫外-可见光范围内,这会干扰样品的吸收光谱。同时,溶剂的极性对于分子的电子结构和化学键的极性有着重要的影响。溶剂中的分子可以与分析物发生相互作用,这些相互作用可以影响分子的电子结构和化学键的极性,从而影响分子的吸收特性。
在较低的溶剂极性下,分子的吸收峰通常比较窄且对应的波长比较长。而在较高的溶剂极性下,分子的吸收峰通常比较宽且对应的波长比较短。
2.2溶剂的pH
如果分子带有酸性和碱性基团,溶剂的pH会对分子的紫外吸收产生影响。
2.3取代基的影响
取代基的引入会对分子的紫外吸收产生影响。首先,取代基的大小和结构会影响分子的共振结构,从而影响分子的电子能级分布和跃迁能级。其次,取代基的电性和取代位置也会影响分子的极性和电子密度分布,进而影响分子的紫外吸收强度和波长。
2.4共轭效应
共轭效应是因分子中含有共轭结构而影响其光学性质。共轭结构是指分子中相邻的双键和单键交替存在的结构。这种结构可以导致π电子在分子中形成共轭体系,从而影响分子的电子分布和能级结构。共轭效应可以增强分子的稳定性,改变其化学性质,并且对其光学性质产生重要影响。
在紫外光谱中,共轭效应可以显著影响分子的吸收特性和波长。具有共轭结构的分子通常会显示较长的最大吸收波长,这是因为共轭结构可以扩展分子的π电子体系,使分子的紫外吸收产生红移,吸收波长变长。另外,共轭结构还可以导致分子的能级结构发生变化,从而影响分子的电子跃迁行为,进而影响其在紫外光谱中的吸收特性。
2.5超共轭效应
超共轭效应是指涉及σ电子的电子离域效应,如双键C连接的H原子被甲基取代后,甲基中C-H σ键和π键产生共轭作用。这种作用可以导致分子的吸收峰位发生变化,使得分子在紫外光谱中表现出特定的吸收特性。
2.6立体效应
立体效应是指分子中不同空间构型(如空间位阻,环张力)对其性质产生的影响。立体效应可以改变分子的电子结构和分布,从而影响其紫外光谱的吸收特性。
三、物质吸光的定量关系
3.1朗伯-比尔(Lambert-Beer)定律
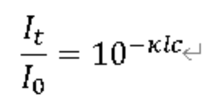
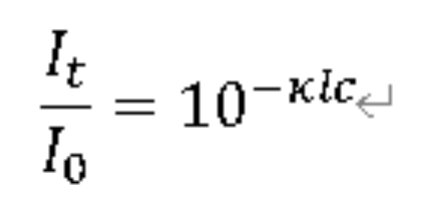
透明介质中的吸收光强度与光线通过介质的距离成指数关系。或者说,当光线通过透明介质时,光线的强度会随着透过介质的距离的增加而指数级地减少。这个定律可以用下面的公式表示:

其中,It是透过介质的光线强度,I0是初始光线强度,l是光线通过介质的距离,κ是介质的吸收系数,c为溶液浓度。这个公式表明,介质的吸收系数越大,光线通过介质的距离越长,透过介质的光线强度就会越小。
It/I0称为透光率,为了方便计算,定义透光率的负对数为吸光度A,这样朗伯-比尔定律可表示为:

对于一种物质,其吸收系数不变,固定光程,则其吸光度与浓度呈线性关系,对吸光度进行测定后,即可通过朗伯-比尔定律计算物质浓度。
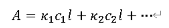
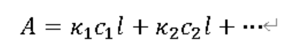
如果多组分体系中,各物质没有光学相互作用,则各物质吸光度具有加和性:
根据上述公式,可进行多组分溶液含量的测定。

3.2影响朗伯-比尔定律的因素
3.2.1光学因素
朗伯-比尔定律首先假设光源产生单色光。如果光源不是单色光,其光谱包含多个波长,物质对不同波长光的吸收系数κ会有差异,这就会导致吸光度不再随浓度线性变化。要准确描述非单色光通过物质时光强变化的朗伯-比尔定律,需要为每个波长成分设定对应的吸收系数κ。
实际上,无法获取纯单色光,常常得到的是波长分布范围较窄的谱带,为减少光源带来的影响,常常选取物质的最大吸收峰处的波长作为实验波长,此时波长变动带来的吸光度变化较小,如果选择峰肩位置的波长进行实验,此时吸收强度随波长变化剧烈,会造成偏离。
3.2.2化学因素
溶液浓度对吸光度的影响并不总是线性的。当溶质浓度较高时,溶质分子之间的相互作用会导致朗伯-比尔定律失效。这是因为在高浓度下,溶质分子之间会发生相互作用,导致其吸光性质发生变化。这种相互作用可能包括分子之间的聚集、络合、解离等,从而影响溶液的吸光度。
因此,在应用朗伯-比尔定律进行浓度测定时,必须考虑溶质的特性以及溶液的浓度范围,以避免由于非线性效应而导致测定结果的误差。
四、由化学结构推测物质的紫外吸收波长
Woodward-Fieser规则可以预测共轭二烯和环戊二烯化合物在紫外光谱中吸收最大波长。这一规则在20世纪50年代提出。Woodward-Fieser规则的基本原理是取代基的位置和种类会影响化合物的吸收波长,因此可以通过简单的计算来预测化合物在紫外光谱中的吸收情况。
如以共轭烯烃1,3-丁二烯为母核,其最大吸收波长λmax=217 nm。增加一个烷基,吸收波长增加5 nm,增加一个同环二烯,吸收波长增加36 nm,增加一个环外双键,吸收波长增加5 nm。
以下图中化合物为例,共轭二烯成环,增加36 nm,1,3-丁二烯母核有三个位置被烷基取代,共增加15 nm,没有环外双键,因此其最大吸收波长应为λmax=217+36+15=268 nm。
实际上该物质为α-水芹烯,λmax=263 nm。

虽然紫外光谱法逐渐失去主导地位,但仍发挥着重要作用。紫外光谱法与液相色谱法联用,是分析复杂药物成分的有效手段。
参考文献:
中华人民共和国药典(2020版)
中国药典分析检测技术指南
<END>
要解锁更多企业药品研发信息吗?查询药融云数据库(vip.pharnexcloud.com/?zmt-mhwz)掌握药品各国上市情况、药品批文信息、销售情况与各维度分析、市场竞争格局、一致性评价情况、集采中标情况、药企申报审批信息、最新动态与前景等,以及帮助企业抉择可否投入时提供数据参考!注册立享15天免费试用!








川公网安备51019002008863号
本网站未发布麻醉药品、精神药品、医疗用毒性药品、放射性药品、戒毒药品和医疗机构制剂的产品信息
收藏
登录后参与评论
暂无评论