
科伦药业:百亿「舒更葡糖钠」原料药第二家转A
根据CDE最新数据显示,四川科伦药业股份有限公司的舒更葡糖钠原料药状态转A,其规格为:4kg/件,科伦药业成为国内第二家百亿「舒更葡糖钠」原料药状态转A的企业。根据CDE数据,科伦药业也有布局舒更葡糖钠注射液,根据NMPA最新药品注册进度查询情况,科伦药业于2018年提交的受理号为CYHS1800436国的上市注册申请已于2022年4月21日开始,状态变为在审批 ,不久或将获批!




截图来源:CDE\NMPA官网
此前,于2022年4月12日,CDE官网数据显示扬子江药业集团江苏海慈生物药业有限公司的舒更葡糖钠原料药状态转A,其规格为:1kg/桶,3kg/桶,5kg/桶,10kg/桶或根据客户需求提供。扬子江药业的舒更葡糖钠原料药为国内首个转A,且其舒更葡糖钠注射液斩获国内仿制药首家过评。《扬子江药业:舒更葡糖钠原料药首个转A!默沙东百亿肌肉松弛剂》

截图来源:CDE官网
默沙东原研,百亿大品种

图1.舒更葡糖钠结构式
舒更葡糖钠是一种改良的 γ 环糊精。舒更葡糖钠注射液是全球首个、以及目前唯一批准在中国上市的特异性、结合性氨基甾类肌松药拮抗剂。原研默沙东的舒更葡糖钠注射液最早于2008年7月首次在欧洲上市,商品名为布瑞亭(Bridion)。其后分别于2010年、2015年在日本和美国上市,2017年4月获准在中国上市销售。根据默沙东的年报,舒更葡糖钠注射液2021全年营收达到了15.32亿美元(约合96.7亿人民币,以3月2日汇率计算),增长27%。舒更葡糖钠注射液正一步步,成长为重磅炸弹药物。
据药融云数据统计,舒更葡糖钠注射液在我国院内的销售额自上市后呈爆发式增长,2020年首次突破亿元大关,同比增长115.9%。2021年销售额达到近2.5亿,市场增长强劲!目前舒更葡糖钠注射液市场还处于上升期,市场表现良好,潜力巨大!
舒更葡糖钠注射液院内销售情况

图片来源:药融云全国医院销售数据库
舒更葡糖钠注射液国内竞争格局
据药融云数据库显示,目前仅有扬子江药业集团旗下子公司江苏海岸药业有限公司(仿制药首家过评)和Merck Sharp & Dohme B.V.旗下两款舒更葡糖钠注射液在国内获批上市。
舒更葡糖钠注射液批文信息


截图来源:药融云中国药品批文\一致性评价数据库
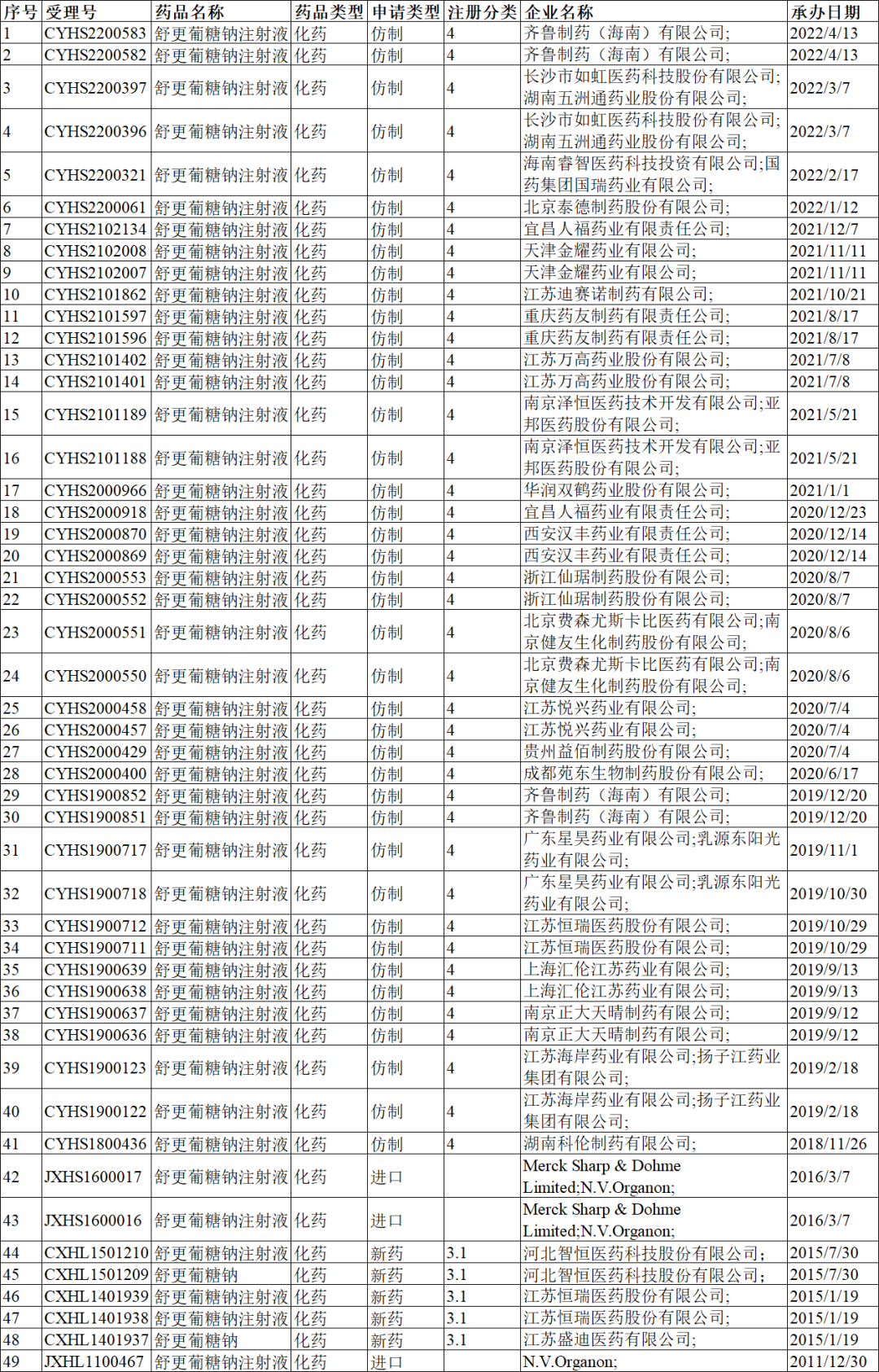
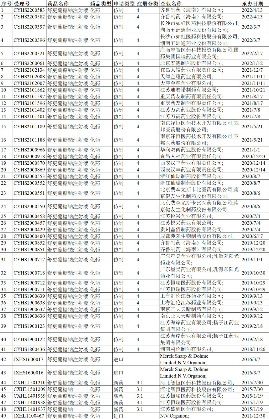
舒更葡糖钠注射液为百亿重磅品种,国内药企纷纷布局,扎堆报上市。根据CDE信息公开栏数据,此前国内已经有20+药企递交了舒更葡糖钠注射液仿制药的上市申请,受理号高达41个,市场竞争相对激烈。其中,包括此次舒更葡糖钠原料药转A的科伦药业、齐鲁制药、南京正大天晴、上海汇伦、恒瑞医药等。
舒更葡糖钠注射液国内申报情况

舒更葡糖钠注射液仿制药参比制剂
关于舒更葡糖钠注射液的参比制剂可以参见仿制药参比制剂目录(第二十二批)、(第二十三批)、(第三十批)、(第三十六批)。









想要解锁更多药企原料药最新信息吗?查询药融云数据库(https://www.pharnexcloud.com/?zmt-mhwz)掌握药企药物申报情况、最新进展、审评情况、原料药、竞争格局、销售情况、市场规模与前景,可否投入仿制!注册立享15天免费试用和虎年首份医药数据大礼包!

<END>







川公网安备51019002008863号
本网站未发布麻醉药品、精神药品、医疗用毒性药品、放射性药品、戒毒药品和医疗机构制剂的产品信息
收藏
登录后参与评论
暂无评论