
来自浙江的 杭州邦顺制药,最早成立于2020年,目前为一家接近商业化阶段的生物科技公司,专注于肿瘤及自身免疫性疾病领域,战略性地聚焦于打造高度差异化的口服小分子候选药物,以满足血液系统恶性肿瘤及自身免疫性疾病领域中大量未满足的临床需求。
泽昔替尼 有望成为中国用于治疗骨髓纤维化(MF)的首批三款获批的国产JAK抑制剂之一。其他开发的适应症有:真性红细胞增多症(PV)、原发性血小板增多症(ET)等。

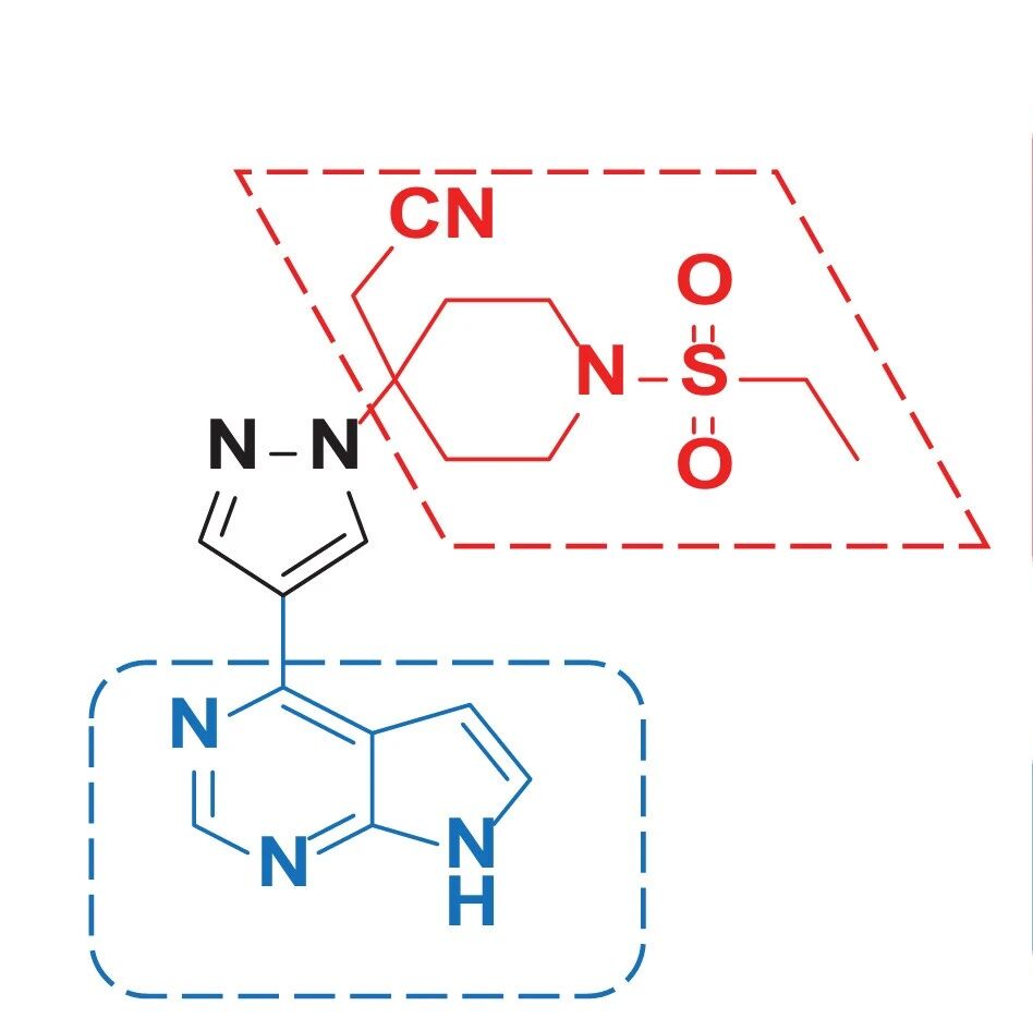
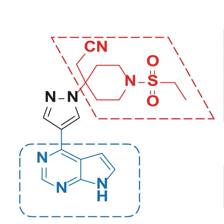
CX1440 正在开发治疗免疫性血小板减少症(ITP)、慢性荨麻疹(CU)及自身免疫性溶血性贫血(AIHA),本品为BTK抑制剂。

其他候选药物:小分子、口服给药型PIM1激酶抑制剂,用于克服JAK抑制剂耐药性并应用于治疗MF的联合疗法、CX12(一款口服小分子METTL3抑制剂,拟用于实体瘤治疗)、CX13(一款强效PPARG反向激动剂,拟用于治疗以异常PPARG激活为特征的晚期尿路上皮癌)、CX15(一款靶向KEAP1的共价变构分子胶降解剂,拟用于治疗具有NRF2组成型激活的实体瘤);CX16(一款强效且高选择性的VAV1分子胶降解剂,目前正处于临床前开发阶段,拟用于治疗自身免疫性疾病及炎症性疾病)。
2024财年,100%收入来自单一客户的来源,公司做了临床前项目技术转让。
公司创始人有李邦良先生(董事长)、吕裕斌博士(总经理);李阅东等等。
2025年底,最后一轮投前23亿,上轮投后23.87亿元,融资8700万人民币。累计融资逾7.99亿元人民币。
估值历程

邦顺制药IPO招股书,点击链接可下载:https://www1.hkexnews.hk/app/sehk/2026/108121/documents/sehk26012200663_c.pdf
参考来源:
[1] 摩熵医药(原药融云)数据库
[2] https://biosunpharma.com/channels/35.html
[3] https://www1.hkexnews.hk/app/sehk/2026/108121/documents/sehk26012200663_c.pdf
扩展阅读:摩熵·投融资 https://www.pharnexcloud.com/trz
查数据,找摩熵!想要解锁更多药企信息吗?查询摩熵医药(原药融云)数据库(vip.pharnexcloud.com/?zmt-mhwz)掌握药企公司基本信息、投融资情况、产品管线分布、药物销售情况与各维度分析、药物研发情况、年度报告、最新进展动态、临床试验信息、市场规模与前景等,以及帮助企业抉择可否投入时提供数据参考!注册立享15天免费试用!








川公网安备51019002008863号
本网站未发布麻醉药品、精神药品、医疗用毒性药品、放射性药品、戒毒药品和医疗机构制剂的产品信息
收藏
登录后参与评论
暂无评论