
在新药研发的漫长征途中,如果说靶点发现是“从0到1”的破冰,那么工艺开发就是“从1到100”的攀岩。现代制药行业正面临着前所未有的压力:我们需要用更低的成本,合成结构越来越复杂的分子,并且还要以更快的速度推向临床。
沿用了几十年的传统玻璃烧瓶和反应釜,在面对当下的成本控制和绿色合规要求时,往往显得力不从心。破解这一困局的利器,隐藏在三大前沿工艺技术中:合成生物化学、化学催化以及连续化学(流动化学)。它们不仅是实验室里的奇思妙想,更是已经实实在在帮助药企降低研发失败率、缩减临床供给成本的核心驱动力。
一、 合成生物化学
在过去,让化学家使用生物酶来做催化,多少有点碰运气的成分。传统的发酵法或早期生物催化,往往受限于自然界现有的酶库。这些酶要么底物普适性极窄,要么一言不合就失活,且批次间差异大、成本高昂。更麻烦的是,为了规避可传染性海绵状脑病(TSE)的风险,药企还得尽量避开哺乳动物来源的酶。
然而,时代的齿轮在生物信息学和高通量测序的推动下飞速转动。
1. 酶工程:开启「进化」的加速器
如今,我们不再需要迎合那些并不完美的天然酶。通过基因组在线测序和宏基因组学技术,海量的酶库被瞬间解锁。更震撼的是定向进化技术的成熟。如果找不到合适的酶,科学家可以在几周甚至几个月内,对蛋白特定残基进行多轮突变,硬生生“逼”出一个完美的变体。

定向进化技术开创者-弗朗西斯·阿诺德
一个堪称教科书级别的案例,是默克(Merck)与Codexis公司合作合成降糖药西格列汀(Sitagliptin)。最初,他们根本没有对该底物表现出活性的天然酶。经过整整11轮的定向进化,他们开发出了一种高度工程化的ω-转氨酶。这种酶不仅能在高浓度有机相中存活,还能以极高的活性和对映选择性完成不对称合成,彻底颠覆了原有的化学工艺。
2. 突破边界的新型单步生物转化
除了传统的酯化或水解,现代生物催化正在攻克有机合成中最硬的骨头:
亚胺还原与还原胺化:仲胺和叔胺在药物分子中随处可见,但传统化学法常常伴随选择性或安全隐患。如今,新型亚胺还原酶(IRED)能够在温和的水相体系中,高选择性地实现酮的还原胺化,轻松得到(R)-或(S)-型产物。
惰性C-H键的精准氧化:细胞色素P450酶(CYP)虽然诱人,但一直存在活性低、需要复杂电子源等问题。帝斯曼(DSM)公司巧妙地利用冻融全细胞系统包裹P450BM3变体,并通入纯氧,成功在100升规模下实现了α-异佛尔酮的高效体外羟基化,ee值大于99%。
非自然反应的实现:谁说酶只能做大自然规定的事?通过改造野生型P450BM3酶,科学家甚至让它在水相中催化了自然界不存在的卡宾转移反应,高效合成了具有极高非对映和对映选择性的环丙烷衍生物。
3. 级联生物转化
追求极致效率的工艺化学家们并不满足于单步的辉煌。传统的多步化学合成需要在每一步反应后进行繁琐的淬灭、萃取、洗涤和纯化。这不仅导致了严重的物料损耗,更消耗了极其庞大的溶剂和人工成本(往往占据总生产成本的半壁江山)。多酶级联反应应运而生,它通过在“一锅法”中协同多个酶的催化活性,将复杂的合成网络浓缩于微观的反应体系之中,实现了令人惊叹的过程强化。
级联反应的精妙之处不仅在于省去了中间体的分离,更在于它可以巧妙地打破热力学平衡,原位消耗有毒或极不稳定的中间体。以醛类化合物为例,其在活细胞体系中极易被内源性酶过度还原,且本身具有强烈的细胞毒性。France等设计了一套堪称艺术的CAR/ATA/IRED三酶级联路线,用于合成高附加值的手性2-芳基哌啶:首先,被激活的羧酸还原酶(CAR)将稳定的酮酸还原为高活性的醛酮中间体;紧接着,转氨酶(ATA)利用丙氨酸将醛基迅速且专一地转化为氨基;随后分子内自发脱水环化形成亚胺;最后,亚胺还原酶(IRED)接力完成立体选择性还原 。整个过程犹如一条严丝合缝的微观流水线,配合GDH循环体系处理副产物,最终以极高的原子经济性实现了单步难以企及的双官能团化复杂杂环构建。
另一个震撼业界的案例是抗新冠药物莫诺拉韦(Molnupiravir)的合成。研究人员利用丙酮酸氧化酶和乙酸激酶构建了一个绝妙的磷酸盐循环再生系统,结合MTR激酶和尿苷磷酸化酶,首次在没有化学计量有机磷酸盐来源的情况下,实现了100公斤级的体外生物催化糖基化级联反应 。这种颠覆性的辅因子原位循环网络,证明了体外多酶级联在超大规模量产中的极度可靠性。

磷酸盐循环法在莫努匹拉韦生物催化糖基化制备中的应用
二、 化学催化
如果说生物催化是借力自然,那么化学催化则是人类利用过渡金属和配体打磨出的微观手术刀。催化剂能有效降低反应能垒、提升选择性、减少“三废”,是符合“绿色化学”理念的绝对主力。
但在工业化放大的视角下,学术界发个好文章和药企在工厂里跑通几百公斤的反应,完全是两个维度的考验。工艺化学家在挑选催化路线时,心里有一把极其严苛的尺子——SELECT准则:
S (Safety - 安全性):必须规避极端危险操作。
E (Environmental - 环保):尽量淘汰二氯甲烷等受限溶剂。
L (Legal - 法律):要考虑配体和催化剂的知识产权壁垒,昂贵的专利费往往会“劝退”一条好路线。
E (Economy - 经济):路线要短,原料要便宜。
C (Control - 控制):这是合规的核心!药监局要求极为严苛。API中的任何杂质(包括残留配体)通常必须低于0.15% w/w 。如果是钯、铂、铱等贵金属,残留量上限更是被死死卡在10 ppm(十万分之一)以内。这倒逼工艺团队必须把催化剂用量压到极限。
T (Throughput - 产能):反应不能太耗时。
1. C-H键活化的产业实践
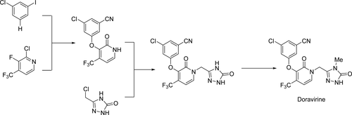
近年来,无需预先官能团化的C-H键活化技术(直接把碳氢键断开连上新的基团)火遍全网,它能极大精简合成步骤 。但它真的能用于百公斤级的量产吗?默克公司给出了肯定的答案。
在抗HIV新药多拉维林(Doravirine)的合成中,原路线氰化反应会产生难以去除的双氰化杂质。研究团队大刀阔斧地修改原料,并采用了铱催化的C-H键硼化和氧化反应,成功实现了每批次85公斤卤代酚前体的大规模稳定生产,彻底打通了量产瓶颈。

2. 可见光催化的崛起
传统化学氧化经常需要用到高锰酸钾等重金属氧化剂,不仅产生大量含金属固废,还可能导致手性产物发生外消旋化。
在丙肝新药艾尔巴韦(Elbasvir)的合成中,默克团队引入了可见光催化。他们使用含铱的光催化剂,在特定波长的光照下,以过氧苯甲酸叔丁酯为氧化剂,精准完成了二氢吲哚啉的脱氢氧化。

通过高通量实验鉴定出一种光氧化还原介导的脱氢反应。反应规模为 2.5 μmol,使用 465 nm LED 光源。表格中的数字表示基于高效液相色谱 (HPLC) 分析并使用内标物测定的产率。
更绝的是,为了解决光照穿透深度的问题,他们直接将反应搬到了流动化学反应器中。更大的比表面积让光子充分轰击反应液,在实验室规模下5小时内就拿下了100克产品,分离收率85%,ee值高达99.8%。
3. 廉价金属与配体的双向奔赴
尽管铂族贵金属在当前的催化版图中仍占据统治地位,但出于对高昂成本、极低毒性残留限度以及地球稀缺资源枯竭的深远担忧,开发基于铁、钴、镍、铜等第一过渡系廉价金属的催化体系正成为炙手可热的前沿。
这些廉价金属并非简单的平替,它们通常具有不同的自旋态和单电子反应通道,能够催化贵金属难以实现的奇特转化。例如,中试规模的铁催化格氏试剂偶联反应已经在合成特定含氟中间体中证明了其极高的效率和可靠性。此外,配合具有氧化还原活性的配体,这些金属络合物展现出了惊人的电子储存与传递能力。只要进一步克服对微量空气和水分过度敏感的工程放大弱点,廉价金属催化必将在未来大规模API合成的前端和中端发挥无可替代的作用。
三、 连续化学(流动化学)
长久以来,精细化工和石化行业早就把连续生产玩得炉火纯青,而制药行业却紧紧抱着“间歇式反应釜”不放。但当反应条件越发苛刻时,传统的放大策略(俗称“换个更大的锅”)就会遇到致命的传质传热问题。
连续化学通过微通道或细管线,让反应物以稳定的流速持续混合反应。它体积虽小,但只要机器不停,产能极其惊人,且带来了颠覆性的工艺优势。

1. 驯服“暴躁”的单步反应
有些反应在间歇釜里简直是灾难,但在流动管线里却温顺如羊:
极速淬灭不稳定中间体:某些芳基锂中间体的寿命短到只有零点几秒,在传统反应釜里还没等混匀就分解成副产物了。吉田(Yoshida)课题组利用定制的微反应器,让反应物在小于0.003秒内完成混合和淬灭,以81%的收率硬核拿下了目标产物。
高温高压的降维打击:流动反应器极强的耐压能力,让原本危险的高温反应变得日常。比如丙烯腈参与的狄尔斯-阿尔德(D-A)反应,可以在250°C、60 bar的高压管线中安全跑完,且由于全密闭,挥发性成分无法逃逸,收率和选择性远超传统方法。
化解爆炸危机:叠氮化钠反应如果在间歇釜中累积,极易生成剧毒且易爆的叠氮酸。但在管式连续反应器中,由于管路被反应液完全充满(没有气相空间),根本没有危险气体凝结的可能,安全系数呈指数级提升。
2. 气液固三栖的终极挑战
涉及到气体的两相反应(如通氧气的氧化、通一氧化碳的氢甲酰化),传统的搅拌桨很难把气体打得足够碎,导致溶氧量不够。礼来(Eli Lilly)公司在合成(S)-萘普生时,就是利用精心设计的流动反应器打破了二氧化碳溶入液相的传质限制,实现了完美放大。
此外,电化学和光化学这类高度依赖电极表面积和光照透射深度的反应,简直是为流动化学量身定制的。无论是利用分隔的流动电极装置避免环丙烷开环 ,还是用连续光反应器产生单线态氧合成抗疟神药青蒿素 ,连续流都交出了满分答卷。
3. 端到端制造:多步连续化的终极形态
只改造单步反应还不够,制药工程的圣杯是“端到端(End-to-End)”的连续化生产。
想象一下:起始原料从管道一头进去,历经多步化学反应、膜分离纯化、在线结晶、过滤,最后直接和辅料混合,进入热熔挤出机,从另一头出来的直接是压好的药片。麻省理工学院(MIT)与诺华公司合作,在降压药阿利吉仑半富马酸盐(Aliskiren hemifumarate)上真刀真枪地实现了这一设想。原本在传统工厂里需要300多个小时的超长生产周期,被他们压缩到了区区48小时。这不仅节约了巨大的厂房占地和能耗,配合在线分析技术,还实现了对产品质量的实时不间断监控。

中间体1到半富马酸阿利吉仑( 6 )的合成步骤
四、 面向2026与未来的激荡:AI、自动化与生态重塑
当我们站在2026年这个时间节点上回望,上述三大技术的演进不仅深刻改变了分子的缔造方式,更在与其他前沿科技的碰撞中,勾勒出了一幅令人心潮澎湃的未来制药全景图。
1. 人工智能与“黑灯实验室”的全面接管
过去几年中,人工智能在制药行业的应用已经从炒作期正式迈入了务实的构建期。生成式AI模型和庞大的化学/生物学基础模型正在以前所未有的深度重塑工艺开发流程。

未来的合成路线设计将不再过度依赖化学家个人的经验直觉。预测性算法可以在数分钟内遍历几千万种逆合成路径,自动规避专利壁垒,并综合评估原料成本、毒性限制与PMI指数,给出最优解。而在执行层面,集成了视觉识别与自主决策算法的机器人主导的“黑灯实验室”将实现7×24小时无休的运作。AI将根据实时在线分析(如核磁共振 NMR、液质联用 LC-MS)的数据反馈,自主调整连续流反应器的温度、压力和试剂配比,利用强化学习在多维参数空间中迅速锁定产率与纯度的全局最优点。这使得工艺优化的周期从数月压缩至几天。
2. 生态与供应链的彻底重塑
在地缘政治不确定性加剧与逆全球化抬头的背景下,大型跨国药企正在加速重构其供应链韧性。连续流技术由于其模块化、易于标准化复制的特性,使得“分布式制造”成为可能。未来,制药工厂将不再是占地数百亩的庞然大物,而是可以打包进几个集装箱内的微型智能制造单元。这些单元可以被灵活部署在靠近患者终端需求的地方,甚至是医院内部,随时根据需求切换不同药品的生产指令。
同时,绿色化学将不再被视为一种增加短期成本的环保妥协,而是被企业界广泛认知为提升运营效率、降低隐形成本(如废物处理、安全合规成本)并建立长期竞争护城河的绝对经济驱动力。
五、结语
这场席卷全球制药工艺界的创新浪潮,本质上是一条从粗放向精密、从高能耗向可持续、从人工试错向数字智能演进的必然轨迹。合成生物化学通过重塑大自然的催化智慧,正在征服传统化学难以涉足的立体化学盲区;化学催化则在精准C-H活化、可见光与电化学的驾驭下,将原子经济性推向了艺术的极致;而连续流化学以其卓越的流体力学控制,彻底打通了从微观反应机制向宏观商业化量产的“最后一公里”。
这三大技术并非各自为战的孤岛,它们正在发生着深度的交叉与聚变。我们已经看到了流体管路中装填着工程化酶的“连续生物催化”,也见证了AI预测模型指导下对光催化反应条件的纳升级别极速筛选。无论是搞深度市场情报,还是做管线梳理,透彻理解这些底层工艺的革新,才能更准地摸清一款First-in-Class药物从图纸走向商业化的真实壁垒。
扩展阅读:
1. 从药物发现到早期开发:小分子NCE原料药 (API) 成本控制全逻辑与供应链战略
2. 新药开发提速!BMS经典战略解码FS-to-FIM加速逻辑
3. 深度解析原料药(API)的早期工艺开发:从“科学发现”到“临床验证”的破局之路
查数据,找摩熵!想要解锁更多药物研发信息吗?查询摩熵医药(原药融云)数据库(vip.pharnexcloud.com/?zmt-mhwz)掌握药物基本信息、市场竞争格局、销售情况与各维度分析、药企研发进展、临床试验情况、申报审批情况、各国上市情况、最新市场动态、市场规模与前景等,以及帮助企业抉择可否投入时提供数据参考!注册立享15天免费试用!








川公网安备51019002008863号
本网站未发布麻醉药品、精神药品、医疗用毒性药品、放射性药品、戒毒药品和医疗机构制剂的产品信息
收藏
登录后参与评论
暂无评论