
接上文《多肽口服药物领域:研发管线进展与前沿技术》,已经介绍了Oramed Pharmaceuticals Inc. 开发的蛋白质口服递送(POD™)和爱尔兰Merrion Pharmaceuticals Plc.开发的GIPET技术(胃肠渗透增强技术)平台。

图1:多肽口服递送策略的示意图
大家熟知司美格鲁肽(商品名:Rybelsus),可知Eligen?

表1:司美格鲁肽(Rybelsus)产品信息
Emisphere的研究团队对通过筛选获得的候选药物(不包括目前领先的化合物SNAC)进行促渗剂作用机制的研究,开发了SNAC(8-(2-羟基苯甲酰胺基)辛酸钠)(Eligen平台)。
基于Eligen平台的口服司美格鲁肽的出现,证明了SNAC应用于多肽产品开发的可行性(Emisphere的Eligen平台技术转让给诺和诺德)。
SNAC功能:包括其周围形成较为碱性的环境,抑制胃液中的酸性蛋白酶,以及增强膜的通透性。事实上,关于作用机制,已经提出了许多假设,但尚不确定SNAC渗透的改善是由于膜扰动、溶解度调节或紧密连接开放,还是改善了跨细胞渗透。
诺和诺德公司排除了膜扰动的假说:SNAC在胃中与索马鲁肽形成复合物,保护药物免受胃蛋白酶的侵害,并增加肽通过胃粘膜的浓度依赖性通量,因此SNAC非为一般促渗剂的机制所涵。

图2:Rybelsus 片剂的配方设计及SNAC索马鲁肽吸收增强机理示意图。Rybelsus 片剂(A)从胃粘膜表面(B,C)完全侵蚀,SNAC增加局部pH值以防止胃蛋白酶(C)降解semaglutide。此外,它间接削弱了肽的自缔合,有助于维持单体状态(D),并通过增加膜流动性(E,F)增加跨细胞吸收。
目前,SNAC已经广泛用于口服制剂的临床研究,大致分为三类:1)司美格鲁肽/SNAC的疗效、安全性、药代动力学分析和剂量设置;2)对伴随药物相互PK的影响;3)配方研究。
表2:口服制剂的 SNAC 临床应用研究

SNAC成功应用的第一个案例为2014年FDA批准上市的口服维生素Eligen B1,Eligen技术利用SNAC来同B12通过胃粘膜直接进入血液,而不依赖于内在因子(胃中产生的一种蛋白质,通常有助于B12的吸收)。
除了最先进火热的SNAC,其他化合物如5-CNAC(8-(N-2-羟基-5-氯苯甲酰基)-氨基辛酸酯)和4-CNAB(N-(4-氯水杨酰基)-4-氨基丁酸酯)也随之发展出来。

图3:(a) SNAC、(b) 5-CNAC 和(c) 4-CNAB 的结构
Unigene和Enteris Biopharma基于肠溶片开发的Peptelligence®技术能够增强肠道中的细胞旁运输。
Peptelligence技术其核心包括冻干肽、麦芽糊精包被的柠檬酸和酰基肉碱。其中配方材料中的柠檬酸为酶抑制剂(通过降低肠道酸碱度来抑制酶的降解作用),酰基肉碱为渗透促进剂(通过暂时性地打开上皮细胞之间的紧密连接来促进细胞旁转运,从而增强肽类药物的吸收)。

图4:Peptelligence®技术介绍页(Enteris Biopharma官网)
Enteris Biopharma目前有3个在研管线,其中Ovarest(口服亮丙瑞林)是进展最快的产品。

图5:Enteris Biopharma管线
2020 年以色列Chiasma Inc.的口服奥曲肽Mycapssa基于C8的TPE平台而来。

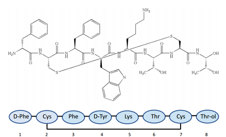
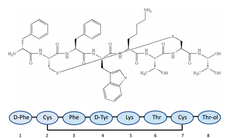
图6:奥曲肽的结构。上部:化学结构。下:氨基酸序列。生长抑素受体结合所必需的氨基酸残基编号为3-6
表3:奥曲肽信息

TPE制剂是一种油性悬浮液,由醋酸奥曲肽、C8和聚乙烯吡罗烷酮(PVP)组成的可溶性亲水性微粒分散在由单癸酸甘油和三丙烯酸甘油组成的油混合物中。它与肠液混合时溶解,成为典型的药物悬浮液。

图7:奥曲肽掺入TPE形成含油性悬浮液的肠溶胶囊的方法
Mycapssa胶囊中C8 即辛酸钠作为主要的渗透增强剂,根据Chiasma的说法,C8表现出暂时和可逆的渗透增强作用,并诱导ZO-1和Claudin等紧密连接(TJ)蛋白的重组,这被认为是通过TJ调节的细胞旁机制。
C8含量从未公开过,但根据专利信息,假设奥曲肽(20mg)和C8分别占组合物重量的3%和15%(估计含有100mg的C8)。
C8以及其他赋形剂(PVP、甘油单辛酸酯和聚山梨醇酯 80 作为两亲性物质可增强渗透效应)可通过打开肠上皮紧密连接瞬时改变上皮屏障的完整性来增强药物的渗透。20mg Mycapssa口服与皮下注射0.1mg奥曲肽的生物利用度相当,但肽制剂 Mycapssa口服生物利用度仍然较低(约0.25%)。

图8:TPE平台(Chiasma Inc.)
自乳化给药系统(SEDDS)是由脂质、表面活性剂和助溶剂的混合物组成的系统。当分散在胃肠道液中时,它们会形成乳液或微乳液。
环孢菌素A(Sandimmune/Neoral®)和Voclosporin(wupkynis®)是目前用SEDDS配制的上市的多肽,作为口服肽鼻祖的Neoral采用了SEDDS技术和环肽修饰技术。
表4:SEDDS技术上市的部分药物信息

化学结构优化也是增加口服多肽产品的良方。肽和蛋白质的化学修饰增强了其酶介导的稳定性,增强了其对上皮细胞的渗透能力,去氨加压素(天然激素加压素的类似物,商品名:DDAVP)为其代表。
表5:产品信息表

除上述技术(平台)外,药械结合也是目前增加药物利用度的常见研究策略。
微针的递送策略的表明即使分子量较大,也非常适合各种多肽药物的递送。Prausnitz等人利用微针技术进行口服药物递送,口服胶囊包含从肠内胶囊射出的腔内展开微针注射器(LUMI)。LUMI的手臂按压插入肠上皮的微针贴片,在那里它们溶解并释放包裹的生物药物。胶囊破裂,LUMI在被排出体外之前迅速生物降解。

图9:使用微针贴片通过肠道给药的口服胶囊
Abramson等人开发了一种可摄取的自定向毫米级施药器(SOMA),SOMA装置已被证明具有口服胰岛素的良好功效。SOMA平台受限于配方、体积和稳定性,但是还是代表了口服多肽的绝佳平台。

图10:口服给药后可摄入的自定向毫米级施药器(该装置可以自主地将自己定位到肠粘膜上)
综上,目前最成功的技术平台转化而来的产品无疑是基于Eligen平台的口服司美格鲁肽(Rybelsus)。

图11:不同形式与规格的司美格鲁肽
司美格鲁肽(口服片剂Rybelsus、糖尿病注射液Ozempic和体重管理的注射液Wegovy三款)去年营收200多亿美元,增长势头迅猛。其中,口服片剂Rybelsus增长66%,速度快于注射液Ozempic(其中,Wegovy:407%),司美格鲁肽一路高歌猛进,让众药望尘莫及。
多肽口服途径已经显示出巨大的临床潜力与经济效益,尽管有上述前沿技术的出现,口服生物利用度仍有巨大的提升空间。In other words,它仍是摆在一线研发人员面前的实际问题。
20mg Mycapssa口服与皮下注射0.1mg奥曲肽的生物利用度相当、司美格鲁肽注射(2.4mg/week/time)与口服剂量(14mg/day/time)相差数倍,口服剂量相当于注射的40倍巨大差异(NCT01923181)……
多肽生物利用度尽管低于注射剂,口服途径中节约的无菌技术成本、增加的患者依从性等系列优势吸引着众多药企的眼球,使得多肽领域(与XDC等研究)成为寒冬下的宠儿。尽管诸多其他平台技术也在“磨剑霍霍”,但目前来看,司美格鲁肽的断层优势使得其在市场中的地位在短时间内难以被撼动。
GLP-1 受体激动剂与基于Eligen平台的吸收促进剂(SNAC)共制剂已经让“肽肽”团中的司美格鲁肽引爆了市场,红边半边天。那么,国产的“司美格鲁肽”还有多久现身?
参考文献:
1.Kim JC, Park EJ, Na DH. Gastrointestinal Permeation Enhancers for the Development of Oral Peptide Pharmaceuticals. Pharmaceuticals (Basel). 2022
2.https://enterisbiopharma.com/
3.Brayden DJ, Maher S. Transient Permeation Enhancer® (TPE®) technology for oral delivery of octreotide: a technological evaluation. Expert Opin Drug Deliv. 2021
4.https://xtalks.com/rybelsus-semaglutide-new-label-update-allows-for-early-use-in-type-2-diabetes-treatment-3341/
5.各公司官网
<END>
要解锁更多企业药品研发信息吗?查询药融云数据库(vip.pharnexcloud.com/?zmt-mhwz)掌握药品各国上市情况、药品批文信息、销售情况与各维度分析、市场竞争格局、一致性评价情况、集采中标情况、药企申报审批信息、最新动态与前景等,以及帮助企业抉择可否投入时提供数据参考!注册立享15天免费试用!








川公网安备51019002008863号
本网站未发布麻醉药品、精神药品、医疗用毒性药品、放射性药品、戒毒药品和医疗机构制剂的产品信息
收藏
登录后参与评论
暂无评论