
1月19日,恒瑞医药自主研发的抗肿瘤药物人源化抗PD-L1单克隆抗体阿得贝利单抗注射液的上市申请已获CDE受理,有望在第二季度成为国内第5款获批上市的PD-L1单抗。而就研发领域而言,抗肿瘤药物则一直是研发热度最高的一类药物,为药企必争之地。《恒瑞医药PD-L1单抗报上市!拿下尼莫地平心血管口服液首仿!》
根据药融云药品销售数据最新显示,2021年前三季度抗肿瘤领域化学药或生物药在全国各省市二级及以上医院(≧100床位)的销售额已达850亿,同比增长56%,预估抗肿瘤药物市场全年销售额将超千亿。
2014-2021抗肿瘤药物市场年度销售额

截图来源:药融云全国医院销售数据库
2021年抗肿瘤药物市场前三季度销售额

截图来源:药融云全国医院销售数据库
药融云数据显示, 2021年Q1-Q3全国各省市二级及以上医院抗肿瘤药物市场化学药或生物药销售TOP10为:
2021年抗肿瘤药物市场前三季度药品销售TOP 10

截图来源:药融云全国医院销售数据库

可以看到,在top 10产品中,包含4款生物药和6款化学药。值得一提的是,这四款单抗产品销售额占比在top 10产品中高达45.97%,较2020年top 10占有率同比增长11.77%。主要涉及靶点有VEGF、EGFRF、HER2、PTK等,且根据药融云中国Ⅰ类新药靶点白皮书(公众号后台回复“白皮书”,可获取全文)显示,靶点EGFRF、VEGF和HER2均位列肿瘤领域靶点热度top 5。
就具体药品来看,帕妥珠单抗注射液和贝伐珠单抗注射液2021年前三季度院内销售额同比增长均超100%,前者直达237%,可谓潜力巨大。
就生产企业而言,罗氏、阿斯利康、齐鲁制药等手握多款畅销产品,而国内企业也表现亮眼,除甲磺酸奥希替尼片外,其他产品均有涉及。另外,贝伐珠单抗、紫杉醇、曲妥珠单抗位列2021年Q1-Q3抗肿瘤药领域活性成分前三位。
01 贝伐珠单抗注射液
药品销量TOP10中,贝伐珠单抗注射液位居榜首,销量高达58.85亿元,占比16.35%。该产品目前在国内已经获批包含大肠癌、子宫内膜癌、输卵管癌等多个适应症,是抗肿瘤血管生成的代表药物。
贝伐珠单抗注射液-2021年Q1-Q3销售数据企业排名

截图来源:药融云全国医院销售数据库
其在华共9家企业生产,多家企业在研,但目前罗氏和齐鲁制药仍几乎瓜分该药全部市场。罗氏为该药原研企业,适应症覆盖范围最广,但随着国内药企的先后入场,其市场份额有所下滑。而齐鲁制药为该产品的国产首家企业,因价格等优势在2021年销售额已远超罗氏,前三季度销售额占比高达60.94%。
贝伐珠单抗注射液-药品批文信息

截图来源:药融云企业版中国药品批文,https://db.pharnexcloud.com/
目前,贝伐珠单抗注射液已经进入国家医保目录,根据弗若斯特沙利文报告,其市场规模在2023年或将增至64亿元,市场前景极为广阔。
02 注射用曲妥珠单抗
注射用曲妥珠单抗作为抗肿瘤药物市场销售亚军,销售额高达51.84亿元,占比6.05%。该药是由罗氏原研的一款靶向HER2的人源化单克隆抗体,适用于HER2阳性乳腺癌和胃癌。
注射用曲妥珠单抗-2021年Q1-Q3销售数据企业排名

截图来源:药融云全国医院销售数据库
目前,国内市场仅三家企业入局,罗氏在该药的市场占有率仍高居榜首,达88.35%。而着眼国内企业,上海复宏汉霖的汉曲优和三生国健的赛普汀市场占有率分别为11.19%和0.46%。海正生物和安徽安科生物已进入上市申请状态,预计今年有望获批,值得关注。
注射用曲妥珠单抗-药品批文信息

数据来源:药融云企业版中国药品批文
虽然这两款生物药都进入医保目录,但由于“进入医保,不一定意味着进入医院”,在今年这两款产品的竞争仍局势未明。谁能克服医保谈判降价、进院难等困难,则谁将夺得两者的巨额市场。另外,可以预见的是生物药入局集采为大势所趋,哪家企业能抢占先机,让我们拭目以待。
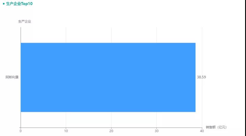
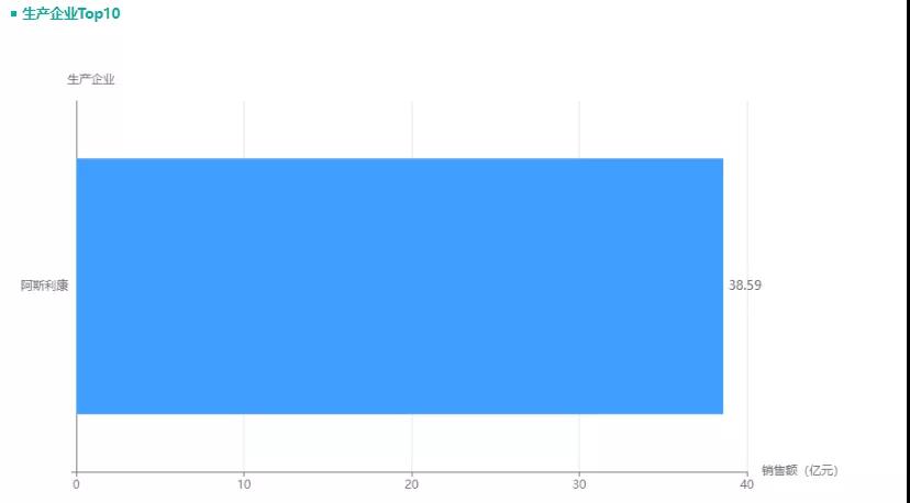
03 甲磺酸奥希替尼片
甲磺酸奥希替尼片前三季度销售额达38.59亿,以31.04%的市场占比,稳坐抗肿瘤药物-蛋白激酶抑制剂的销售TOP1。该药是阿斯利康原研的中国首个第三代口服、不可逆的选择性EGFR突变肺癌靶向药,适用于EGFR T790M突变阳性的局部晚期或转移性非小细胞肺癌。
甲磺酸奥希替尼片-2021年Q1-Q3销售数据企业排名
截图来源:药融云全国医院销售数据库
值得一提的是,目前该药尚无仿制药上市,仅江苏万邦生化的上市申请进入新报任务环节,若今年能顺利获批,或将成为该公司新的销售增长点。
甲磺酸奥希替尼片-药品批文信息


数据来源:药融云企业版中国药品批文
04 注射用培美曲塞二钠
培美曲塞二钠销售额达36.79亿,同比增长4.19%。该药销售市场被仿制药企业挤占,占比高达78.49%。但受带量采购影响,仅原研药及通过仿制药一致性评价的产品能进入集采环节,因此四川汇宇制药和礼来比其他企业更有竞争力,占比分别为42.55%和21.51%。
培美曲塞二钠-2021年Q1-Q3销售数据企业排名
截图来源:药融云全国医院销售数据库
05 注射用紫杉醇(白蛋白结合型)
注射用紫杉醇(白蛋白结合型)是与2020年top 10药品中位列上升最多的产品,销量达34.42亿,同比增长13.94%。该药2021年3月1日被纳入医保目录,但仅适用于限联合化疗失败的转移性乳腺癌或辅助化疗后 6 个月内复发的乳腺癌。
注射用紫杉醇(白蛋白结合型)-2021年Q1-Q3销售数据企业排名

截图来源:药融云全国医院销售数据库
总的来说,尽管受到疫情冲击和集采影响,但2021年前三季度top 10准入门槛仍同比增长了4.3%,在2021年全部药品销售额中占比达9.88% 。而产品销量top 10与2020年全年相比,盐酸多柔比星脂质体注射液、多西他赛注射液、帕妥珠单抗注射液晋身前十;贝伐珠单抗注射液、注射用紫杉醇(白蛋白结合型)和利妥昔单抗注射液排名均有上升;贝伐珠单抗注射液和注射用曲妥珠单抗销售额突破50亿大关,前三季度分别同比增长125%和72%.........相信在新的一年,抗肿瘤药物领域也将再创佳绩,让我们拭目以待!
—END—







川公网安备51019002008863号
本网站未发布麻醉药品、精神药品、医疗用毒性药品、放射性药品、戒毒药品和医疗机构制剂的产品信息
收藏
登录后参与评论
暂无评论