
氟是一个很特殊的元素,氟元素在元素周期表中处于很特殊的位置,它具有一些极端的性质,是化学性质最活泼、氧化性最强的物质,能同所有其他元素化合,自然界中不存在游离状态的氟,它仅以离子的形式广泛存在于萤石(CaF2)和冰晶石(Na3[AlF6])中。

1774年瑞典化学家舍勒在研究硫酸与萤石的反应时制得了氢氟酸,但由于氢氟酸对人体的极大毒性以及由氢氟酸制得氟单质较为困难,直至1886年法国

图3 卡尔·威尔海姆·舍勒
化学家莫瓦桑才成功分离出单质氟,经历了一百多年的时间,有机氟化学的发展和含氟有机化合物的实际应用才真正开始。[1-2]
医学诊断中的氟
氟有机化学对于许多不同但是有内在联系的研究领域的发展起着至关重要的作用,如有广泛应用的新材料领域的发展,代表性的是光伏太阳能电池,或者是医疗领域的诊断工具,如利用18F原子核标记的放射性示踪剂的正电子发射断层成像(PET)技术。[3]

图4 PET扫描对比患抑郁症时的大脑活动(左侧)和正常的大脑活动(右侧)
此外,19F原子核在核磁共振(NMR)实验中的高灵敏度使其成为生物学研究的理想选择,但是这要求预先制备含氟氨基酸,并将其进一步引入蛋白质中。一种与氟密切相关的诊断技术是19F核磁共振成像(MRI)技术[4],这个技术通常依赖于多氟分子或含氟分子的设计与合成。此外,含氟试剂、催化剂和载体能够使合成方法的应用更加有效,从而可以回收和循环利用有价值的材料。
然而,氟在生物化学科学领域最大的影响毫无疑问是和农用化学品的发展有关[5],最重要的是和药物化学有关,因此,生物活性分子的选择性氟化是设计新药以提高药效、生物半衰期和生物吸收的成熟策略。这一点随着已经批准上市的含氟药物或者进入临床试验的候选药物的数量越来越多而变的十分明显。因此,目前医药市场上一些表现最好、最畅销的药物结构中含有氟原子。

在有机化合物中引入氟原子或氟烷基的好处是改变了它们的物理化学特性,比如,可以通过用氟来合理的取代氢原子或官能团来实现对酸性和亲脂性的调节,这样最终可能会使生物学或者药理学性质的改善。另一种改善药物性质有用的方法是阻断化合物中潜在的氧化位点,目的是防止不希望的代谢途径的出现,比如用三氟甲基取代芳甲基。即使在设计生物活性氟有机化合物时存在一定的可预测性,药物化学家仍然需要通过试错过程合成大量的衍生物,直到最终达到所需的分子,并且由于合成过程的原因获得目标含氟分子的过程也是不简单的。[6]
药物中的氟
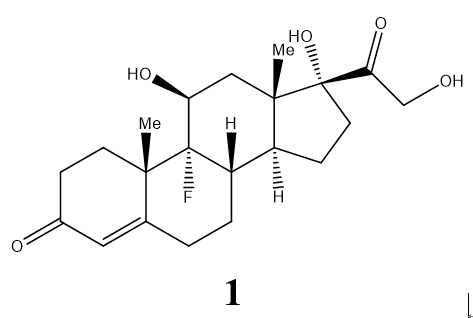
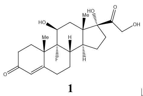
自从FDA在1955年批准上市了第一个含氟药物——氟氢可的松(1)越来越多的含氟分子成功进入市场。据计算,在2010年大约有20%的用药含有氟原子或者氟烷基,然而,近几年在所有新批准的药物(不包括生物药物产品)中含氟药物的占比正从20%增长到30%。这些氟化药物涵盖了所有可能的治疗领

图7 氟氢可的松的结构式
域,具有广泛的结构多样性,尽管与其他杂原子相比,氟原子的连接性有限,但氟化部分的多样性是值得注意的。根据最近的调查,几种含氟药物成为了美国医药市场中处方最多或者利润最大的药物。
他汀类药物是一类用于治疗高脂血症的羟甲基戊二酰辅酶A(HMG-CoA)还原酶抑制剂,该家族中的瑞舒伐他汀(商品名:可定,2)在2013年成为第4畅销(52亿美元)和第13大处方药。事实上, 瑞舒伐他汀超过了他汀类药物另一个重要的成员——阿托伐他汀(商品名:立普妥,3),阿托伐他汀在它2011年专利到期之前一直是最盈利的药物。

另一个成功的含氟药物是丙酸氟替卡松(4),它和沙美特罗联用(商品名:舒利迭)是一种治疗哮喘的口服吸入剂,在处方和销售率(50亿美元)方面均排在第6。丙酸氟替卡松是氟氢可的松的一种三氟化衍生物,丙酸氟替卡松作为一种糖皮质激素受体选择性激动剂,也用于治疗几种其他的炎症疾病。[7]

现如今,三联疗法已经成为了治疗人类免疫缺陷病毒(HIV)感染的标准治疗方案。最成功的一种三联疗法包含了两个氟化药物——恩曲他滨(5)和依法韦仑(6),这两种含氟药物联合替诺福韦组成商品名为Atripla(28亿美元的销售额,在所有药物中排第14位)的抗HIV药物,恩曲他滨和依法韦仑是HIV-1型逆转录酶的核苷和非核苷抑制剂。

西格列汀(7)是一种抗糖尿病药物,属于格列汀类药物或二肽基肽酶4(DPP-4)抑制剂。磷酸西格列汀(商品名:捷诺维)是第一个这类药物被批准用于治疗2型糖尿病,这使得它成为了排名第15畅销的药物(28亿美元)

最后,销售额排名第21的含氟药物(22亿美元)是塞来昔布(商品名:西乐葆,8),它是一种非甾体类抗炎药,用于减轻关节炎和相关疾病等多种适应症的疼痛。塞来昔布的作用机理是通过选择性抑制环氧化酶2(COX-2)来阻断前列腺素的合成。

总之,含氟药物的显著成功与其优越的效价和治疗价值有关,含氟药物创造了制药史上的两大奇迹:史上第一个年销售额超过百亿美金的处方药——辉瑞的立普妥;美国Gilead的索非布韦片,成为了治愈丙型肝炎的突破性药物。
氟化学起步较晚,但发展较快,现已证含氟药物具有较强的稳定性、生理活性、脂溶性和疏水性等参数,所以相对而言很多含氟药物在性能上具有毒性低、药效高、代谢能力强等特点,需求剧增。在药物化学领域,氟的重要性已经被人们所认识。随着含氟药物不断推向市场和氟化制备技术的日益成熟,氟在药物设计与开发中的地位将越来越重要,应用也将更为广泛[8]
我国是氟化学的资源大国,拥有丰富的氟化学原料——萤石资源,经过几十年的发展,从无到有,使得氟化学行业成为我国重点发展产业,在国民经济中具有重要地。但我国还不是氟化学的强国,理应在含氟药物的研究中发挥更加重要作用。国家应积极培养相关领域人才,主动发挥倡导和参与作用,为含氟药物相关产业贡献力量。
参考文献
[1]阎梦醒. 氟的发现与莫瓦桑[J]. 化学教学, 1994(8):2.
[2]莫莫. 发现氟的悲壮历程[J]. 黑龙江教育:中学版, 2005(4):2.
[3]Cai L, Lu S, Pike V W. Chemistry with [18F] fluoride ion[J]. European Journal of Organic Chemistry, 2008, 2008(17): 2853-2873.
[4]王楚南, 申宝忠, 吴丽娜,等. 多核19F磁共振成像研究进展[J]. 现代生物医学进展, 2019, 19(5):4.
[5]黎育生, 周桂东, 沈宜全,等. 氟噻草胺的合成[J]. 现代农药, 2002, 1(2):3.
[6]Zhou Y, Wang J, Gu Z, et al. Next generation of fluorine-containing pharmaceuticals, compounds currently in phase II–III clinical trials of major pharmaceutical companies: new structural trends and therapeutic areas[J]. Chemical reviews, 2016, 116(2): 422-518.
[7]Calverley P M A, Anderson J A, Celli B, et al. Salmeterol and fluticasone propionate and survival in chronic obstructive pulmonary disease[J]. New England Journal of Medicine, 2007, 356(8): 775-789.
[8]韩俭, 杨小荣, 赵素英,等. 含氟药物的研究进展[J]. 中国药房, 2011, 22(1):4.
<END>







川公网安备51019002008863号
本网站未发布麻醉药品、精神药品、医疗用毒性药品、放射性药品、戒毒药品和医疗机构制剂的产品信息
收藏
登录后参与评论
暂无评论