
近日,药监局官网显示,石药集团欧意药业的盐酸伊立替康脂质体注射液获批上市,用于治疗胰腺癌,是国内首个获批上市的盐酸伊立替康脂质体注射液仿制药。药监局批准:盐酸伊立替康脂质体注射液与5-氟尿嘧啶(5-FU)和亚叶酸(LV)联合用于接受吉西他滨治疗后进展的转移性胰腺癌患者。

来源:NMPA官网
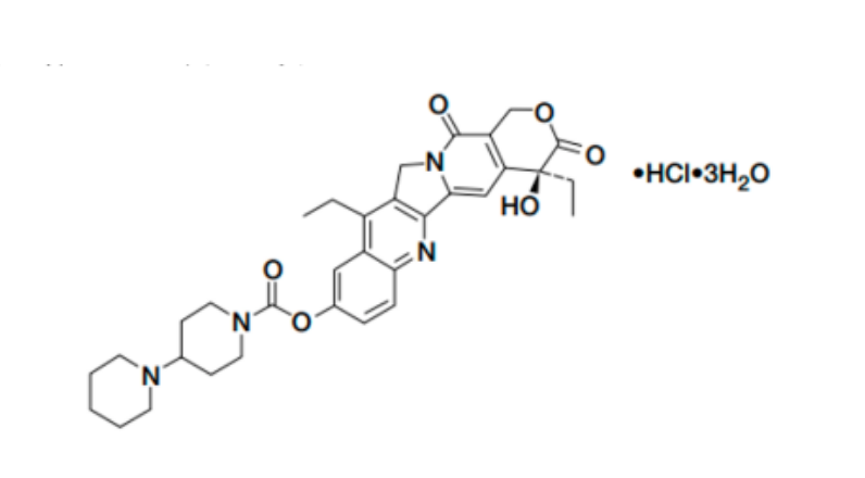
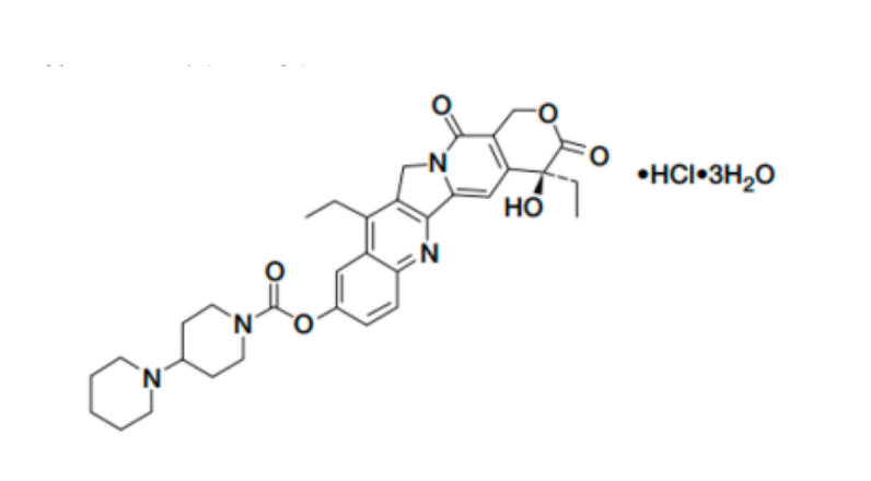
盐酸伊立替康脂质体是一种拓扑异构酶抑制剂,这种脂质体制剂的设计,可保护伊立替康不会被早期转化为活性代谢物SN-38,有助于伊立替康在体循环中保持更长时间,增加药物在肿瘤内的沉积和接触,增强抑制肿瘤生长,相关专利为WO-2005107712。这一作用机制已在临床研究中得到评估和验证。分别发表于The Lancet和Cancer Science的全球多中心、随机对照的Ⅲ期NAPOLI-1研究及其亚洲亚组研究结果显示:对于既往以吉西他滨为基础的化疗方案治疗失败后的转移性胰腺癌患者,伊立替康脂质体联合5-FU/LV可显著改善患者OS,不良反应安全可控,且亚洲人群生存获益更明显。

图片: 盐酸伊立替康脂质体化学结构式
目前国内已有10家企业获批生产伊立替康相关制剂(包含原研企业)。另外,盐酸伊立替康注射液已被纳入第七批国家集采,四家企业中选。

来源:药融云中国药品批文数据库
根据药融云全国医院销售数据库,2021年伊立替康制剂院内销售额接近16亿元。

来源:药融云全国医院销售数据库
2023年8月30日,施维雅胰腺癌治疗药物易安达(盐酸伊立替康脂质体注射液)在北京、天津、上海、江苏、浙江、广州,福州,南宁等省市开出了全国首批处方,是国内市场胰腺癌治疗领域的重大突破。在国内,布局伊立替康脂质体的企业还有恒瑞医药、南京绿叶、科伦药业、齐鲁制药、奥赛康等。其中,恒瑞医药伊立替康脂质体已于2022年4月提交上市申请,大概率能够成功获批。

来源:药融云中国药品审评数据库
<END>
要解锁更多企业药品研发信息吗?查询药融云数据库(vip.pharnexcloud.com/?zmt-mhwz)掌握药品各国上市情况、药品批文信息、销售情况与各维度分析、市场竞争格局、一致性评价情况、集采中标情况、药企申报审批信息、最新动态与前景等,以及帮助企业抉择可否投入时提供数据参考!注册立享15天免费试用!








川公网安备51019002008863号
本网站未发布麻醉药品、精神药品、医疗用毒性药品、放射性药品、戒毒药品和医疗机构制剂的产品信息
收藏
登录后参与评论
暂无评论