
八月份,FDA批准了强生公司研发的LAZCLUZE,与amivantamab联合使用,一线治疗EGFR外显子19缺失和外显子21 L858R突变的非小细胞肺癌(NSCLC)。LAZCLUZE的通用名为LAZERTINIB,是一种片剂,每日只需口服一次。
LAZERTINIB是一种针对EGFR外显子19缺失和外显子21 L858R碱基置换突变的三代激酶抑制剂,在很低的浓度下就可发挥抗肿瘤活性。Amivantamab也是一种EGFR抑制剂,在2021年5月被美国FDA批准用于EGFR外显子20插入突变的NSCLC治疗。与Amivantamab联合使用,可以大幅增强LAZERTINIB对EGFR L858R突变的作用效果。
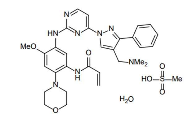
LAZERTINIB的分子结构

FDA批准本品上市是基于一项名为“MARIPOSA”的临床试验(NCT04487080)。该试验是一项活性对照试验,429名患者接受了LAZERTINIB+Amivantamab治疗,另外的429名患者接受当前的最佳疗法奥希替尼治疗作为活性对照。入组患者中,58%是亚洲人,38%是白种人。美国东部肿瘤协作组(ECOG)体能状态为0分的患者为34%,1分的患者为66%,41%的患者已经发生脑转移,89%的患者到Ⅳ期才初次被确诊。
经过LAZERTINIB+Amivantamab的治疗,78%的患者达缓解,其中5%的患者完全缓解,73%的患者部分缓解,中位无进展生存期(mPFS)达23.7个月,中位持续缓解时间(mDoR)为25.8个月。而活性对照组(奥希替尼一线治疗)有73%的患者达缓解,其中3.5%的患者完全缓解,70%的患者部分缓解,中位无进展生存期为16.6个月,中位持续缓解时间则为16.7个月。详情如下表所示:
MARIPOSA试验结果(FDA说明书)

相比奥希替尼,LAZERTINIB+Amivantamab联合疗法足足将无进展生存期延长了7个月,死亡风险下降了30%,对EGFR阳性的非小细胞肺癌患者而言,绝对是天降福音。另外,对于颅内转移的患者而言,联合疗法的疗效似乎也更胜一筹,详情如下表所示:

由于临床试验的终点尚未达到(总生存期数据尚未出来),该产品最终能延长多少时间的寿命,还需进一步确证。
参考来源:FDA说明书:
https://www.accessdata.fda.gov/drugsatfda_docs/label/2024/219008s000lbledt.pdf
Nakajima A, Seki M, Taniguchi S, Ohta A, Gillberg PG, Mattsson JP, Camilleri M. Safety and efficacy of elobixibat for chronic constipation: results from a randomised, double-blind, placebo-controlled, phase 3 trial and an open-label, single-arm, phase 3 trial. Lancet Gastroenterol Hepatol. 2018 Aug;3(8):537-547.https://www.ncbi.nlm.nih.gov/pmc/articles/PMC8217052/
<END>
想要解锁更多药物研发信息吗?查询药融云数据库(vip.pharnexcloud.com/?zmt-mhwz)掌握药物基本信息、市场竞争格局、销售情况与各维度分析、药企研发进展、临床试验情况、申报审批情况、各国上市情况、最新市场动态、市场规模与前景等,以及帮助企业抉择可否投入时提供数据参考!注册立享15天免费试用!








川公网安备51019002008863号
本网站未发布麻醉药品、精神药品、医疗用毒性药品、放射性药品、戒毒药品和医疗机构制剂的产品信息
收藏
登录后参与评论
暂无评论