
引言

2022年7月19日,药审中心承办了阿斯利康的1类化药,AZD5718片的临床申请,用于冠状动脉疾病。

(图源:CDE官网)
AZD5718片
AZD5718(atuliflapon) 是阿斯利康自主研发的一款5-LOX激活蛋白(FLAP)抑制剂,可减弱5-Lipoxygenase途径的活性并减少促炎性和血管活性白三烯(LT)的产生,体外半数最大抑制浓度 (IC50 ) 为 39nM。
AZD5718药物基本信息

截图来源:药融云全球药物研发数据库
据药融云数据库显示,AZD5718治疗领域涉及心血管系统、泌尿生殖系统以及呼吸系统。目前针对蛋白尿、冠状动脉疾病、终末期肾病、哮喘适应症均处于全球临床II期阶段。
AZD5718适应症研发现状

截图来源:药融云全球药物研发数据库
AZD5718的临床前数据优异,药效学模拟中,每天服用一次AZD5718后(无论配方或与食物一起服用),血浆白三烯B4水平在一天内都被抑制了90%以上。临床1期( NCT02632526)结果也表明,AZD5718具有良好的安全性和耐受性。

其在评估对心肌梗塞患者安全及耐受性的2A期临床研究中发现,在129 名随机患者中(其中128名接受了治疗),AZD5718组的平均 uLTE4水平下降,但安慰剂组没有下降,在第4周和第12周时有统计学意义的下降,未观察到CFVR的显著或有临床意义的变化。

FLAP
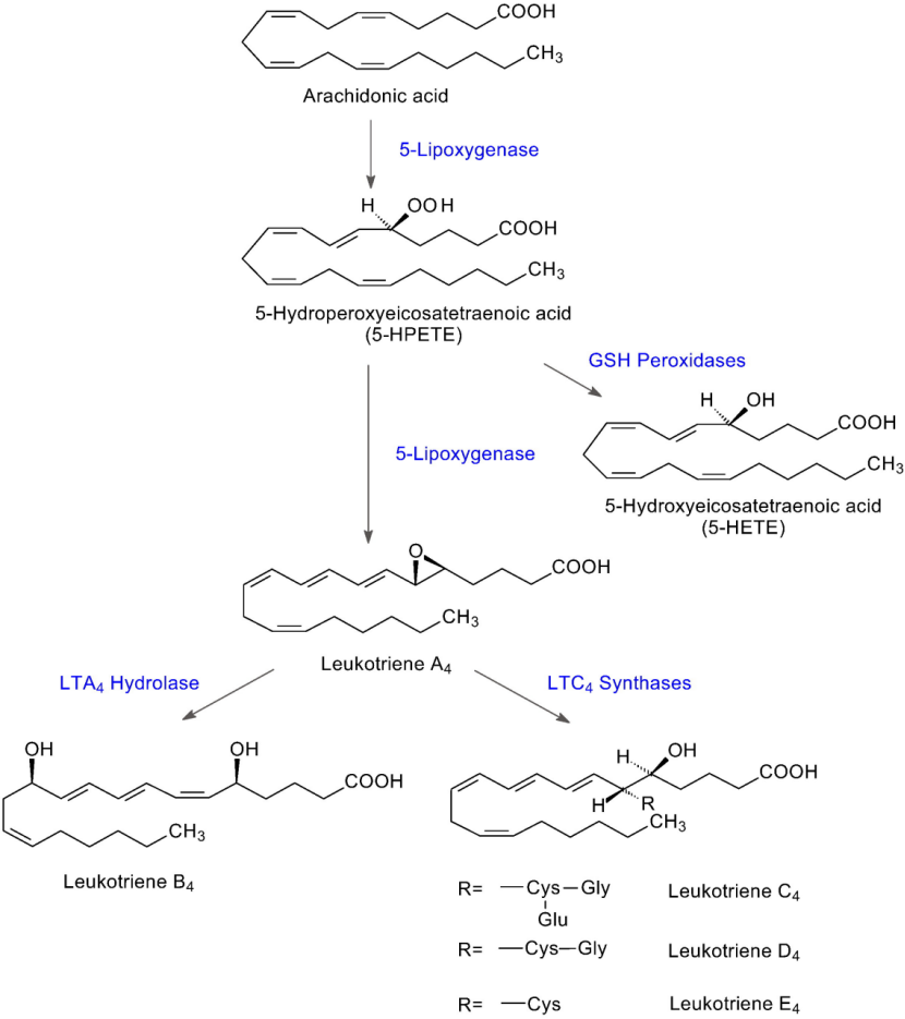
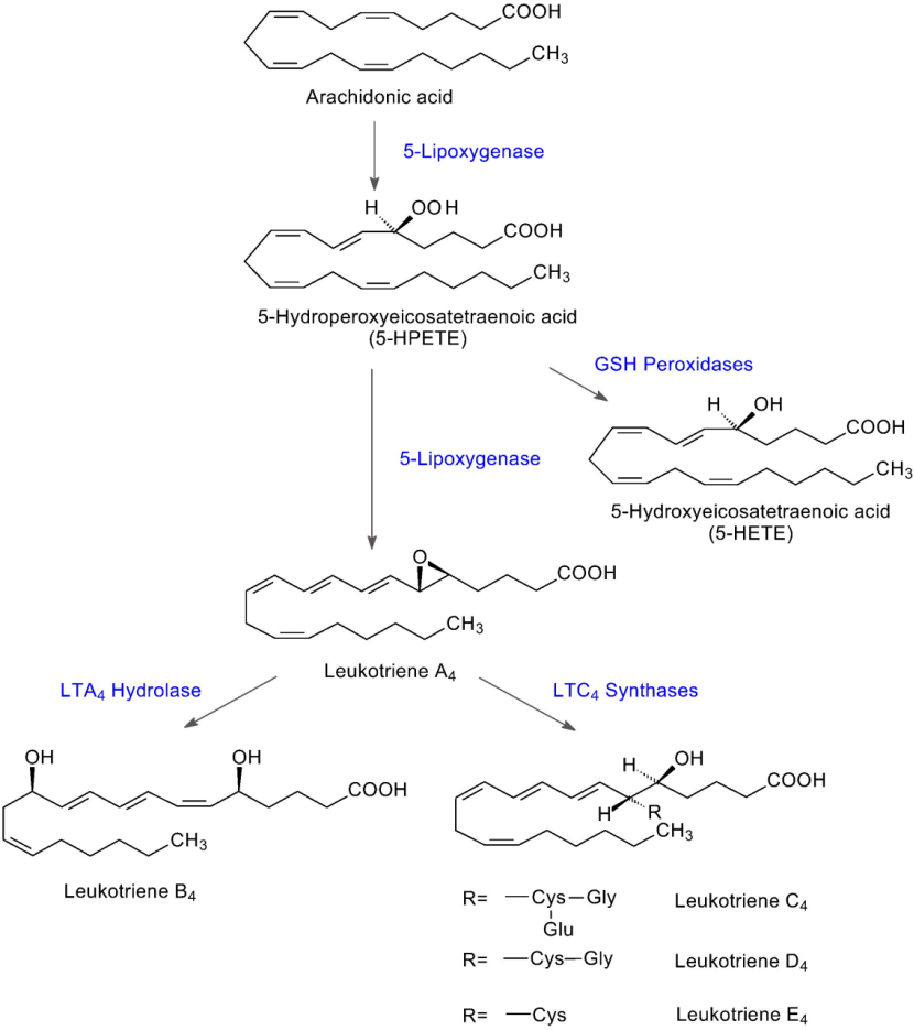
5-LOX 被认为在具有形成中起主要作用,而FLAP是5-LOX 活性的关键调节剂。

细胞 5-LOX 活性的调节
在LT生物合成中,5-LOX酶具有两个催化功能,通过双加氧酶活性插入分子氧,以及通过LTA4合酶活性形成环氧化物。而白三烯生物合成的第一步是通过5-脂氧合酶与 5-脂氧合酶激活蛋白(FLAP)结合形成不稳定的前体LTA4 。

多条证据表明,靶向FLAP或 5-脂氧合酶以抑制冠状动脉循环中白三烯生成的药物,可以降低冠状动脉疾病患者的死亡率并预防急性冠状动脉综合征,因此近年来靶向FLAP也引起了市场的关注。目前在该靶点药物研发上,阿斯利康 AZD5718处于最领先。
参考来源:
[1] CDE官网
[2] 药融云数据库
[3] Initial clinical experience with AZD5718, a novel once daily oral 5-lipoxygenase activating protein (FLAP) inhibitor, intended for patients with coronary artery disease
[4] Phase 1 Pharmacokinetic Study of AZD5718 in Healthy Volunteers: Effects of Coadministration With Rosuvastatin, Formulation and Food on Oral Bioavailability
[5] Discovery and Early Clinical Development of an Inhibitor of 5-Lipoxygenase Activating Protein (AZD5718) for Treatment of Coronary Artery Disease.
想要解锁更多药企创新药信息吗?查询药融云数据库(https://www.pharnexcloud.com/?zmt-mhwz)掌握药企创新药产品布局、基本信息、研发阶段、最新进展、申报获批情况、临床试验信息、市场规模与前景,可否投入研发!注册立享15天免费试用和虎年首份医药数据大礼包!

<END>







川公网安备51019002008863号
本网站未发布麻醉药品、精神药品、医疗用毒性药品、放射性药品、戒毒药品和医疗机构制剂的产品信息
收藏
登录后参与评论
暂无评论